|
|
|
|
|
|
|
|

| Disclaimer Information in this document is provided in connection with Intel products. No license, express or implied, by estoppel or otherwise, to any intellectual property rights is granted by this document. Except as provided in Intel's Terms and Conditions of Sale for such products, Intel assumes no liability whatsoever, and Intel disclaims any express or implied warranty, relating to sale and/or use of Intel products including liability or warranties relating to fitness for a particular purpose, merchantability, or infringement of any patent, copyright or other intellectual property right. Intel products are not intended for use in medical, life saving, or life sustaining applications. Intel may make changes to specifications and product descriptions at any time, without notice. Copyright © Intel Corporation (1996). Third-party brands and names are the property of their respective owners.
|
Calculations on matrices of 16-bit signed integers are common in many programming problems. This application note demonstrates significant speed up of a vector dot product and a Matrix Multiply routine. It also shows, how loop unrolling can be used to optimize the performance of MMX technology based code.
This application note starts with the development of a vector/matrix multiply algorithm for MMX technology. Significant speedup comes from using the MMX technology inherent single instruction, multiple data (SIMD) capabilities, where arithmetic operations are executed on four operands in parallel.
The second part of this application note addresses other issues that impact program performance: redundant cache fills, poor utilization of the Pentium® processor's two execution pipelines, processor stalls waiting for not-yet-available results. These are eliminated by loop unrolling, and subsequent careful instruction scheduling to achieve optimal pairing and latency hiding.
The vector/matrix multiplication routine receives a Y_SIZE input vector and an X_SIZE by Y_SIZE matrix. It stores a X_SIZE resultant vector. A C code version of the routine is shown in Listing 1.
Listing 1. C code for native vector/matrix multiply routine.
int16 vect[Y_SIZE];
int16 matr[Y_SIZE][X_SIZE];
int16 result[X_SIZE];
int32 accum;
for (i=0; i<X_SIZE; i++) {
accum=0;
for (j=0; j<Y_SIZE; j++)
accum += vect[j]*matr[j][i];
result[i]=accum;
}
The native vector/matrix multiply algorithm traverses the matrix in columns. Matrices are typically arranged in row order leaving the column elements scattered in memory. Therefore, the straight forward approach - applying SIMD techniques to the inner loop - is not feasible. Instead, in an algorithm for IA media extensions, the matrix is split into elements of 4x2, and the input vector is split into elements of two (see Figure 1). The overall task can be broken down into multiplications of these fragments, as shown in C-style (augmented with vector operation constructs) in Listing 2:
Figure 1. Subdividing the input vector and the matrix for MMX technology
Listing 2. Pseudo C code for vector matrix multiply routine, modified for MMX technology.
int16 vect[Y_SIZE];
int16 matr[Y_SIZE][X_SIZE];
int16 result[X_SIZE];
int32 accum[4];
for (i=0; i<X_SIZE; i+=4) {
accum = {0,0,0,0};
for (j=0; j<Y_SIZE; j+=2)
accum += MULT4x2(&vect[j], &matr[j][i]);
result[i..i+3] = accum;
}
The revised algorithm works on four columns of the matrix in parallel, and accumulates results in a set of four accumulators. Each iteration of the outer loop yields four results. Overall, the number of iterations through the loops is reduced by a factor of 8, at the cost of more work per iteration (MULT4x2 vs. simple multiply/add).
Listing 3 shows the MMX technology implementation of MULT4x2. The ESI register is used as a pointer to the vector; the 4x2 block is addressed through register EDX. ECX contains the number of elements per matrix line. The code shown is not optimized.
Listing 3. MMX code for MULT4x2.
movd mm7, [esi] ; Load two elements from input vector punpckldq mm7, mm7 ; Duplicate input vector: v0:v1:v0:v1 movq mm0, [edx+0] ; Load first line of matrix (4 elements) movq mm6, [edx+2*ecx] ; Load second line of matrix (4 elements) movq mm1, mm0 ; Transpose matrix to column presentation punpcklwd mm0, mm6 ; mm0 keeps columns 0 and 1 punpckhwd mm1, mm6 ; mm1 keeps columns 2 and 3 pmaddwd mm0, mm7 ; multiply and add the 1st and 2nd column pmaddwd mm1, mm7 ; multiply and add the 3rd and 4th column paddd mm2, mm0 ; accumulate 32 bit results for col. 0/1 paddd mm3, mm1 ; accumulate 32 bit results for col. 2/3
MULT4x2 leaves four 32 Bit results in the high and low dwords of registers mm2 and mm3. At each completion of the inner loop, these must be packed to 16 Bit and stored into the result vector, as shown in Listing 4. The code shown is not optimized.
Listing 4. Packing from 32 to 16 Bit and store into output vector
packssdw mm2, mm2 ; Pack the results for columns 0 and 1 to 16 Bits packssdw mm3, mm3 ; Pack the results for columns 2 and 3 to 16 Bits punpckldq mm2, mm3 ; All four 16 Bit results in one register (mm2) movq [edi], mm2 ; Store four results into output vector
Using the code fragments from Listings 2 and 3, a vector/matrix multiply routine benefits already from the capabilities of MMX technology. For further optimization, the following issues need to be addressed:
Assuming all data is in L1 cache, the code from Listing 3 takes 10 cycles for 11 instructions. The number for Listing 4 is five for four instructions. This is only half of the Pentium Processor's peak throughput, however. Both code pieces are very dense; and dependencies between the operations prevent improvement by code rearrangement.
In addition, the code shows poor cache utilization: Each cache line spans 32 bytes, or four 4x2 blocks, arranged horizontally in the large matrix. As the large matrix is traversed vertically, only 8 bytes of the cache lines are computed per iteration. The 4x2 blocks to the right of the current 4x2 block will not be computed until after completely traversing vertically through the matrix; at this point, the cache line almost certainly has been evicted and needs to be loaded again. Overall, this results in two cache loads per 4x2 block, with a (best case) penalty of 22 cycles, far exceeding the actual computation cost. If the data is not in L2 cache, the compute vs. cache load ratio becomes even worse.
Listing 5. Pseudo C code for vector/matrix multiply routine, four times unrolled
int16 vect[Y_SIZE];
int16 matr[Y_SIZE][X_SIZE];
int16 result[X_SIZE];
int32 accum[16];
for (i=0; i<X_SIZE; i+=16) {
accum = {0,0,0,0,0,0,0,0,0,0,0,0,0,0,0,0};
for (j=0; j<Y_SIZE; j+=2) {
accum[0..3] += MULT4x2(&vect[j], &matr[j][i]);
accum[4..7] += MULT4x2(&vect[j], &matr[j][i+4]);
accum[8..11] += MULT4x2(&vect[j], &matr[j][i+8]);
accum[12..15] += MULT4x2(&vect[j], &matr[j][i+12]);
}
result[i..i+15] = accum;
}
Listing 5 shows a version of the vector/multiply routine where the outer loop is unrolled four times. This algorithm works on 16 columns of the matrix in parallel, and accumulates results in a set of 16 accumulators. Each iteration of the outer loop yields 16 results. Unrolling the routine allows more headroom for optimization:
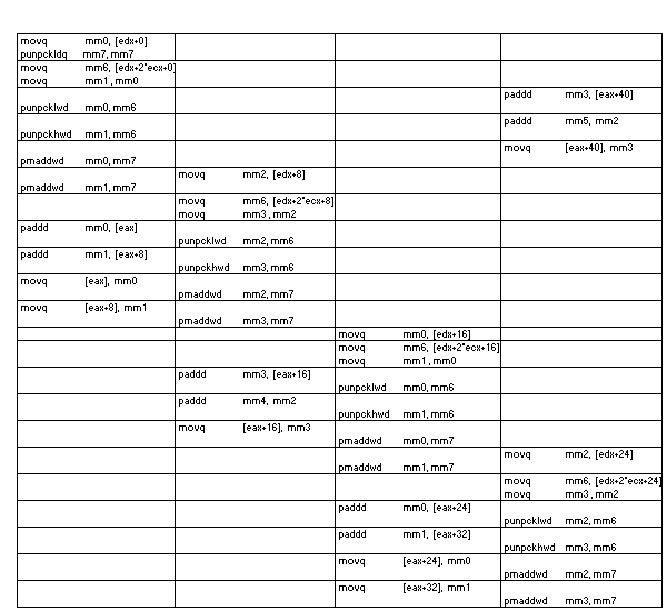
The four instances of MULT4x2 in Listing 6 run in 22 cycles. The following register allocations are used:
| Instance 1 | Instance 2 | Instance 3 | Instance 4 | |
| 4x2 matrix | mm0, mm1 | mm2, mm3 | mm0, mm1 | mm2, mm3 |
| Accumulators | [eax], [eax+8] | mm4, [eax+16] | [eax+24], [eax+32] | mm5, [eax+40] |
Note that the eight available MMX registers cannot hold all accumulators. Therefore, EAX is used to point to a range of temporary variables in memory. These accumulations require two instructions (paddd reg, [eax]; movq [eax], reg) rather than one (paddd reg, reg). This costs one extra cycle (as long as the memory variable is aligned to 8 Byte boundary, and the data is in cache) - a very worthwhile investment in this case.
Mm7 holds the input vector, which is the same for all four instances, and mm6 is used temporarily.
Listing 6. Instruction scheduling for four imstances of MULT4x2

The performance of the three multiply algorithms was measured on NxN matrices, with N ranging from 16 to 1600. All three routines have been programmed in assembly language. The results are displayed in figure 1.
On small matrices, which fit into the L1 cache, the unoptimized MMX technology based version runs more than 10 times faster than a version without MMX instructions (eg. 367 vs. 4263 cycles for 16x16 elements). The loop unrolled version gains some additional perfomance due to improved code scheduling (293 cycles).
For larger matrices, cache effects start impacting the performance of the routine. Due to the increased portion of time spent in cache loads rather than in calcualations, the performance advantage of the unoptimized MMX technology based version decreases to 5-6 (eg. 35.1 million cycles vs. 201 million cycles for 1600x1600 matrices). On the other hand, the optimized version profits from its optimal cache access pattern and runs 3-4 times faster than the unoptimized MMX technology based version (eg. 11.2 million cycles for 1600x1600 matrices). As the algorithm's performance depends heavily on the cache subsystem's performance characteristics, the numbers will vary from system to system.
Figure 1. Cycle counts for various matrix sizes

The code presented here assumes a even number of rows and a multiple of 16 as the number of columns. Extension to the general NxM case is straight-forward.
For optimum performance, the matrix has to be 32 byte aligned. Misaligned matrices will still deliver the correct result, but will significantly reduce performance. A misaligned input vector has minor influence on the overall performance.
For comments on the inner loop, please refer to the text on listing 6.
TITLE vxmmmx
.586
.model FLAT
.data
.const
.code
COMMENT ^
void VxMmmx (
int16 *vect,
int16 matr[Y_SIZE][X_SIZE],
int16 *res_asm,
int , /* X_SIZE */
int /* Y_SIZE */ ) ;
^
VxMmmx PROC NEAR C USES edi esi ebx,
vect:PTR SWORD, matr:PTR SWORD,
res:SDWORD, x_size:PTR SWORD, y_size:PTR SWORD
mov edi,res
mov ebx,y_size
mov ecx,x_size
mov edx,matr
sub esp, 52 ; space for 6 accumulators plus
lea eax, [esp+4] ; 4 Bytes padding (cache alignment).
and eax, 0fffffff8h
pxor mm2, mm2
pxor mm3, mm3
movq [eax], mm4
pxor mm4, mm4 ; clear accumulators and temp vars
movq [eax+8], mm4
movq [eax+16], mm4
do_next_16_columns:
mov esi,vect
movq [eax+24], mm4
movq [eax+32], mm4
movq [eax+40], mm4
pxor mm5, mm5
do_next_block:
movd mm7, [esi] ;load two elements from vector
; ************** four interleaved 4x2 multiplies
movq mm0, [edx+0]
punpckldq mm7, mm7 ;expand vector
movq mm6, [edx+2*ecx+0]
movq mm1, mm0
paddd mm3, [eax+40]
punpcklwd mm0, mm6
paddd mm5, mm2
punpckhwd mm1, mm6
movq [eax+40], mm3
pmaddwd mm0, mm7
movq mm2, [edx+8]
pmaddwd mm1, mm7
movq mm6, [edx+2*ecx+8]
movq mm3, mm2
paddd mm0, [eax]
punpcklwd mm2, mm6
paddd mm1, [eax+8]
punpckhwd mm3, mm6
movq [eax], mm0
pmaddwd mm2, mm7
movq [eax+8], mm1
pmaddwd mm3, mm7
movq mm0, [edx+16]
movq mm6, [edx+2*ecx+16]
movq mm1, mm0
paddd mm3, [eax+16]
punpcklwd mm0, mm6
paddd mm4, mm2
punpckhwd mm1, mm6
movq [eax+16], mm3
pmaddwd mm0, mm7
movq mm2, [edx+24]
pmaddwd mm1, mm7
movq mm6, [edx+2*ecx+24]
movq mm3, mm2
paddd mm0, [eax+24]
punpcklwd mm2, mm6
paddd mm1, [eax+32]
punpckhwd mm3, mm6
movq [eax+24], mm0
pmaddwd mm2, mm7
movq [eax+32], mm1
pmaddwd mm3, mm7
; *********** end of four interleaved 4x2 multiplies
lea edx,[edx+4*ecx] ; go to next matrix line
add esi,4
sub ebx,2
jnz do_next_block
paddd mm3, [eax+40] ; wrapup last iteration
paddd mm5, mm2
; at this point, the accumulated line values can be found in:
; 0/1 [eax] 2/3 [eax+8]
; 4/5 mm4 6/7 [eax+16]
; 8/9 mm0 10/11 mm1
; 12/13 mm5 14/15 mm3
; now, pack and store 16 results. also where the V pipe can not
; be utilized, start reinitializing accumulators,
; and increment edx
movq mm6, [eax]
packssdw mm4, mm4
movq mm2, [eax+16]
packssdw mm6, mm6
movq mm7, [eax+8]
packssdw mm2, mm2
mov edx, matr
packssdw mm7, mm7
add edx, 16*2
punpckldq mm6, mm7
mov matr, edx
punpckldq mm4, mm2
movq [edi], mm6
packssdw mm0, mm0
pxor mm2, mm2
packssdw mm1, mm1
movq [edi+8], mm4
punpckldq mm0, mm1
movq [eax], mm2
packssdw mm5, mm5
movq [edi+16], mm0
packssdw mm3, mm3
movq [eax+8], mm2
punpckldq mm5, mm3
movq [eax+16], mm2
pxor mm3, mm3
movq [edi+24], mm5
pxor mm4, mm4
;---------- pack and store done -----------------------
add edi,16 *2;sizeof(short)
mov ebx,y_size
sub x_size, 16
jnz do_next_16_columns
emms
add esp, 52 ;release accumulator memory on stack
ret
VxMmmx ENDP
END