In This Issue |
In This Issue, Volume 5, Issue 5 Janice Elaine Y. Silverman 452-452
|
| Full: PDF (333 K) |
|
Viewpoint |
Systems Biology Approach to Developing “Systems Therapeutics” Greg Maguire 453-455
|
| Full: PDF (226 K) |
|
Patent Highlights |
Treatment of Immunological or Inflammatory Disorders with ITK Kinase Inhibitors Ahmed F. Abdel-Magid 456-457
|
| Full: PDF (232 K) |
|
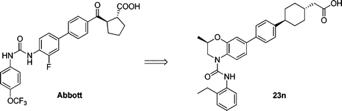
Pyrimidinylpiperdinyloxypyridone Analogues as GPR119 Modulators Benjamin Blass 458-459
|
| Full: PDF (253 K) |
|
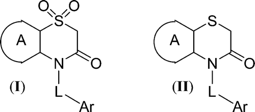
Fused Thiazin-3-ones as KCa3.1 Inhibitors Benjamin Blass 460-461
|
| Full: PDF (231 K) |
|
Letters |
Phenylalanine-Based Inactivator of AKT Kinase: Design, Synthesis, and Biological Evaluation Thuy Nguyen, Robert A. Coover, Jenson Verghese, Richard G. Moran, and Keith C. Ellis 462-467
|
| Full: PDF (1506 K) |
|
Synthesis and Biological Evaluation of New Quinoxaline Derivatives of ICF01012 as Melanoma-Targeting Probes Radhia El Aissi, Jianrong Liu, Sophie Besse, Damien Canitrot, Olivier Chavignon, Jean-Michel Chezal, Elisabeth Miot-Noirault, and Emmanuel Moreau 468-473
|
| Full: PDF (709 K) |
|
Discovery of PF-5190457, a Potent, Selective, and Orally Bioavailable Ghrelin Receptor Inverse Agonist Clinical Candidate Samit K. Bhattacharya, Kim Andrews, Ramsay Beveridge, Kimberly O. Cameron, Chiliu Chen, Matthew Dunn, Dilinie Fernando, Hua Gao, David Hepworth, V. Margaret Jackson, Vishal Khot, Jimmy Kong, Rachel E. Kosa, Kimberly Lapham, Paula M. Loria, Allyn T. Londregan, Kim F. McClure, Suvi T. M. Orr, Jigna Patel, Colin Rose, James Saenz, Ingrid A. Stock, Gregory Storer, Maria VanVolkenburg, Derek Vrieze, Guoqiang Wang, Jun Xiao, and Yingxin Zhang 474-479
|
| Full: PDF (682 K) |
|
Discovery of Antitubulin Agents with Antiangiogenic Activity as Single Entities with Multitarget Chemotherapy Potential Aleem Gangjee, Roheeth Kumar Pavana, Michael A. Ihnat, Jessica E. Thorpe, Bryan C. Disch, Anja Bastian, Lora C. Bailey-Downs, Ernest Hamel, and Rouli Bai 480-484
|
| Full: PDF (1432 K) |
|
Biological Evaluation of Subglutinol A As a Novel Immunosuppressive Agent for Inflammation Intervention Regina Lin, Hyoungsu Kim, Jiyong Hong, and Qi-Jing Li 485-490
|
| Full: PDF (2707 K) |
|
Biarylmethoxy Nicotinamides As Novel and Specific Inhibitors of Mycobacterium tuberculosis Chaitanya Kumar Kedari, Nilanjana Roy Choudhury, Sreevalli Sharma, Parvinder Kaur, Supreeth Guptha, Manoranjan Panda, Kakoli Mukerjee, Vasanthi Ramachandran, Balachandra Bandodkar, Sreekanth Ramachandran, and Subramanyam J. Tantry 491-495
|
| Full: PDF (521 K) |
|
Facile Synthesis and Preliminary Structure–Activity Analysis of New Sulfonamides Against Trypanosoma brucei Adel A. Rashad, Amy J. Jones, Vicky M. Avery, Jonathan Baell, and Paul A. Keller 496-500
|
| Full: PDF (601 K) |
|
Predicting the Reactivity of Nitrile-Carrying Compounds with Cysteine: A Combined Computational and Experimental Study Anna Berteotti, Federica Vacondio, Alessio Lodola, Michele Bassi, Claudia Silva, Marco Mor, and Andrea Cavalli 501-505
|
| Full: PDF (791 K) |
|
Novel Carboline Derivatives as Potent Antifungal Lead Compounds: Design, Synthesis, and Biological Evaluation Shengzheng Wang, Yan Wang, Wei Liu, Na Liu, Yongqiang Zhang, Guoqiang Dong, Yang Liu, Zhengang Li, Xiaomeng He, Zhenyuan Miao, Jianzhong Yao, Jian Li, Wannian Zhang, and Chunquan Sheng 506-511
|
| Full: PDF (2498 K) |
|
2-(2-Arylphenyl)benzoxazole As a Novel Anti-Inflammatory Scaffold: Synthesis and Biological Evaluation Kapileswar Seth, Sanjeev K. Garg, Raj Kumar, Priyank Purohit, Vachan S. Meena, Rohit Goyal, Uttam C. Banerjee, and Asit K. Chakraborti 512-516
|
| Full: PDF (448 K) |
|
Optimization of GPR40 Agonists for Type 2 Diabetes Jiwen (Jim) Liu, Yingcai Wang, Zhihua Ma, Mike Schmitt, Liusheng Zhu, Sean P. Brown, Paul J. Dransfield, Ying Sun, Rajiv Sharma, Qi Guo, Run Zhuang, Jane Zhang, Jian Luo, George R. Tonn, Simon Wong, Gayathri Swaminath, Julio C. Medina, Daniel C.-H. Lin, and Jonathan B. Houze 517-521
|
| Full: PDF (585 K) |
|
Cryptocaryol Structure–Activity Relationship Study of Cancer Cell Cytotoxicity and Ability to Stabilize PDCD4 Michael F. Cuccarese, Yanping Wang, Penny J. Beuning, and George A. O’Doherty 522-526
|
| Full: PDF (703 K) |
|
New Hits as Antagonists of GPR103 Identified by HTS Anneli Nordqvist, Lisbeth Kristensson, Kjell E. Johansson, Krystle Isaksson da Silva, Tomas Fex, Christian Tyrchan, Anette Svensson Henriksson, and Kristina Nilsson 527-532
|
| Full: PDF (2060 K) |
|
Dual RXR Agonists and RAR Antagonists Based on the Stilbene Retinoid Scaffold Claudio Martínez, Michele Lieb, Susana Álvarez, Fátima Rodríguez-Barrios, Rosana Álvarez, Harshal Khanwalkar, Hinrich Gronemeyer, and Angel R. de Lera 533-537
|
| Full: PDF (1555 K) |
|
Discovery of the Fibrinolysis Inhibitor AZD6564, Acting via Interference of a Protein–Protein Interaction Leifeng Cheng, Daniel Pettersen, Bengt Ohlsson, Peter Schell, Michael Karle, Emma Evertsson, Sara Pahlén, Maria Jonforsen, Alleyn T. Plowright, Jonas Boström, Tomas Fex, Anders Thelin, Constanze Hilgendorf, Yafeng Xue, Göran Wahlund, Walter Lindberg, Lars-Olof Larsson, and David Gustafsson 538-543
|
| Full: PDF (1657 K) |
|
Development of Novel Benzomorpholine Class of Diacylglycerol Acyltransferase I Inhibitors Gang Zhou, Nicolas Zorn, Pauline Ting, Robert Aslanian, Mingxiang Lin, John Cook, Jean Lachowicz, Albert Lin, Michelle Smith, Joyce Hwa, Margaret van Heek, and Scott Walker 544-549
|
| Full: PDF (1386 K) |
|
Design, Synthesis, and Optimization of Balanced Dual NK1/NK3 Receptor Antagonists Stephen Hanessian, Thomas Jennequin, Nicolas Boyer, Vincent Babonneau, Udaykumar Soma, Clotilde Mannoury la Cour, Mark J. Millan, and Guillaume De Nanteuil 550-555
|
| Full: PDF (552 K) |
|
Expansion of Antibacterial Spectrum of Muraymycins toward Pseudomonas aeruginosa Yusuke Takeoka, Tetsuya Tanino, Mitsuaki Sekiguchi, Shuji Yonezawa, Masahiro Sakagami, Fumiyo Takahashi, Hiroko Togame, Yoshikazu Tanaka, Hiroshi Takemoto, Satoshi Ichikawa, and Akira Matsuda 556-560
|
| Full: PDF (585 K) |
|
Himbacine-Derived Thrombin Receptor Antagonists: C7-Spirocyclic Analogues of Vorapaxar Mariappan V. Chelliah, Keith Eagen, Zhuyan Guo, Samuel Chackalamannil, Yan Xia, Hsingan Tsai, William J. Greenlee, Ho-Sam Ahn, Stan Kurowski, George Boykow, Yunsheng Hsieh, and Madhu Chintala 561-565
|
| Full: PDF (1153 K) |
|
Kinesin Spindle Protein Inhibitors with Diaryl Amine Scaffolds: Crystal Packing Analysis for Improved Aqueous Solubility Tomoki Takeuchi, Shinya Oishi, Masato Kaneda, Hiroaki Ohno, Shinya Nakamura, Isao Nakanishi, Masayoshi Yamane, Jun-ichi Sawada, Akira Asai, and Nobutaka Fujii 566-571
|
| Full: PDF (1586 K) |
|
Pivotal Role of an Aliphatic Side Chain in the Development of an HDM2 Inhibitor Yao Ma, Brian R. Lahue, Craig R. Gibeau, Gerald W. Shipps, Jr., Stéphane L. Bogen, Yaolin Wang, Zhuyan Guo, and Timothy J. Guzi 572-575
|
| Full: PDF (981 K) |
|
Chlorpheniramine Analogues Reverse Chloroquine Resistance in Plasmodium falciparum by Inhibiting PfCRT Karen J. Deane, Robert L. Summers, Adele M. Lehane, Rowena E. Martin, and Russell A. Barrow 576-581
|
| Full: PDF (635 K) |
|
Late-Stage C–H Coupling Enables Rapid Identification of HDAC Inhibitors: Synthesis and Evaluation of NCH-31 Analogues Hiromi Sekizawa, Kazuma Amaike, Yukihiro Itoh, Takayoshi Suzuki, Kenichiro Itami, and Junichiro Yamaguchi 582-586
|
| Full: PDF (1778 K) |
|
Design and Syntheses of Anti-Tuberculosis Agents Inspired by BTZ043 Using a Scaffold Simplification Strategy Rohit Tiwari, Ute Möllmann, Sanghyun Cho, Scott G. Franzblau, Patricia A. Miller, and Marvin J. Miller 587-591
|
| Full: PDF (2235 K) |
|
Discovery of a New Series of Naphthamides as Potent VEGFR-2 Kinase Inhibitors Yongcong Lv, Mengyuan Li, Ting Liu, Linjiang Tong, Ting Peng, Lixin Wei, Jian Ding, Hua Xie, and Wenhu Duan 592-597
|
| Full: PDF (2015 K) |
|
High Content Screening of Diverse Compound Libraries Identifies Potent Modulators of Tubulin Dynamics Luca Laraia, Jamie Stokes, Amy Emery, Grahame J. McKenzie, Ashok R. Venkitaraman, and David R. Spring 598-603
|
| Full: PDF (1412 K) |
|
Discovery of Naphthyl-Fused 5-Membered Lactams as a New Class of M1 Positive Allosteric Modulators Zhi-Qiang Yang, Youheng Shu, Lei Ma, Marion Wittmann, William J. Ray, Matthew A. Seager, Kenneth A. Koeplinger, Charles D. Thompson, George D. Hartman, Mark T. Bilodeau, and Scott D. Kuduk 604-608
|
| Full: PDF (512 K) |
|
Oxabicyclooctane-Linked Novel Bacterial Topoisomerase Inhibitors as Broad Spectrum Antibacterial Agents Sheo B. Singh, David E. Kaelin, Jin Wu, Lynn Miesel, Christopher M. Tan, Peter T. Meinke, David Olsen, Armando Lagrutta, Prudence Bradley, Jun Lu, Sangita Patel, Keith W. Rickert, Robert F. Smith, Stephen Soisson, Changqing Wei, Hideyuki Fukuda, Ryuta Kishii, Masaya Takei, and Yasumichi Fukuda 609-614
|
| Full: PDF (1546 K) |
|