Editorial board
IFC
|
| Full: PDF (34 K) |
|
Graphical contents list
6819-6829
|
| Full: PDF (1330 K) |
|
Incorporation of water-solubilizing groups in pyrazolopyrimidine mTOR inhibitors: Discovery of highly potent and selective analogs with improved human microsomal stability David J. Richard, Jeroen C. Verheijen, Kevin Curran, Joshua Kaplan, Lourdes Toral-Barza, Irwin Hollander, Judy Lucas, Ker Yu, Arie Zask 6830-6835
|
| Full: PDF (1635 K) |
|
N3-Arylmalonamides: A new series of thieno[3,2-b]pyridine based inhibitors of c-Met and VEGFR2 tyrosine kinases Oscar Saavedra, Stephen Claridge, Lijie Zhan, Franck Raeppel, Marie-Claude Granger, Stéphane Raeppel, Michael Mannion, Frédéric Gaudette, Nancy Zhou, Ljubomir Isakovic, Naomy Bernstein, Robert Déziel, Hannah Nguyen, Normand Beaulieu, Carole Beaulieu, Isabelle Dupont, James Wang, A. Robert Macleod, Jeffrey M. Besterman, Arkadii Vaisburg 6836-6839
|
| Full: PDF (581 K) |
|
Tetrahydroquinoline derivatives as CRTH2 antagonists Jiwen Liu, Yingcai Wang, Ying Sun, Derek Marshall, Shichang Miao, George Tonn, Penny Anders, Joel Tocker, H. Lucy Tang, Julio Medina 6840-6844
|
| Full: PDF (546 K) |
|
Design, synthesis, and biological activity of bicyclic radester analogues as Hsp90 inhibitors Vinod D. Jadhav, Adam S. Duerfeldt, Brian S.J. Blagg 6845-6850
|
| Full: PDF (634 K) |
|
Fragment-based discovery of selective inhibitors of the Mycobacterium tuberculosis protein tyrosine phosphatase PtpA Katherine A. Rawls, P. Therese Lang, Jun Takeuchi, Shinichi Imamura, Tyler D. Baguley, Christoph Grundner, Tom Alber, Jonathan A. Ellman 6851-6854
|
| Full: PDF (714 K) |
|
Synthesis and biological evaluation of salicylic acid and N-acetyl-2-carboxybenzenesulfonamide regioisomers possessing a N-difluoromethyl-1,2-dihydropyrid-2-one pharmacophore: Dual inhibitors of cyclooxygenases and 5-lipoxygenase with anti-inflammatory activity Morshed A. Chowdhury, Khaled R.A. Abdellatif, Ying Dong, Dipankar Das, Gang Yu, Carlos A. Velázquez, Mavanur R. Suresh, Edward E. Knaus 6855-6861
|
| Full: PDF (309 K) |
|
Metal-mediated inhibition is a viable approach for inhibiting cellular methionine aminopeptidase Sergio C. Chai, Qi-Zhuang Ye 6862-6864
|
| Full: PDF (261 K) |
|
Synthesis and monoamine transporter affinity of 3α-arylmethoxy-3β-arylnortropanes Harneet Kaur, Sari Izenwasser, Abha Verma, Dean Wade, Amy Housman, Edwin D. Stevens, David L. Mobley, Mark L. Trudell 6865-6868
|
| Full: PDF (302 K) |
|
Development of photoaffinity probes for γ-secretase equipped with a nitrobenzenesulfonamide-type cleavable linker Satoshi Yokoshima, Yuzo Abe, Naoto Watanabe, Yoichi Kita, Toshiyuki Kan, Takeshi Iwatsubo, Taisuke Tomita, Tohru Fukuyama 6869-6871
|
| Full: PDF (277 K) |
|
Structure–activity relationships of 6-(2,6-dichlorophenyl)-8-methyl-2-(phenylamino)pyrido[2,3-d]pyrimidin-7-ones: Toward selective Abl inhibitors Christophe Antczak, Darren R. Veach, Christina N. Ramirez, Maria A. Minchenko, David Shum, Paul A. Calder, Mark G. Frattini, Bayard Clarkson, Hakim Djaballah 6872-6876
|
| Full: PDF (409 K) |
|
Exploration of O-spiroketal C-arylglucosides as novel and selective renal sodium-dependent glucose co-transporter 2 (SGLT2) inhibitors Binhua Lv, Baihua Xu, Yan Feng, Kun Peng, Ge Xu, Jiyan Du, Lili Zhang, Wenbin Zhang, Ting Zhang, Liangcheng Zhu, Haifeng Ding, Zelin Sheng, Ajith Welihinda, Brian Seed, Yuanwei Chen 6877-6881
|
| Full: PDF (392 K) |
|
Aroylguanidine-based factor Xa inhibitors: The discovery of BMS-344577 Yan Shi, Chi Li, Stephen P. O’Connor, Jing Zhang, Mengxiao Shi, Sharon N. Bisaha, Ying Wang, Doree Sitkoff, Andrew T. Pudzianowski, Christine Huang, Herbert E. Klei, Kevin Kish, Joseph Yanchunas Jr., Eddie C.-K. Liu, Karen S. Hartl, Steve M. Seiler, Thomas E. Steinbacher, William A. Schumacher, Karnail S. Atwal, Philip D. Stein 6882-6889
|
| Full: PDF (2160 K) |
|
Hit to lead optimization of pyrazolo[1,5-a]pyrimidines as B-Raf kinase inhibitors Ariamala Gopalsamy, Greg Ciszewski, Mengxiao Shi, Dan Berger, Yongbo Hu, Frederick Lee, Larry Feldberg, Eileen Frommer, Steven Kim, Karen Collins, Donald Wojciechowicz, Robert Mallon 6890-6892
|
| Full: PDF (546 K) |
|
Multivalent binding oligomers inhibit HIV Tat–TAR interaction critical for viral replication Deyun Wang, Jaclyn Iera, Heather Baker, Priscilla Hogan, Roger Ptak, Lu Yang, Tracy Hartman, Robert W. Buckheit Jr., Alexandre Desjardins, Ao Yang, Pascale Legault, Venkat Yedavalli, Kuan-Teh Jeang, Daniel H. Appella 6893-6897
|
| Full: PDF (346 K) |
|
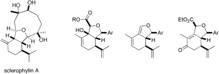
Synthesis and anticancer activity of sclerophytin-inspired hydroisobenzofurans T. David Bateman, Aarti L. Joshi, Kwangyul Moon, Elena N. Galitovskaya, Meenakshi Upreti, Timothy C. Chambers, Matthias C. McIntosh 6898-6901
|
| Full: PDF (1386 K) |
|
Identification of novel agonists of the integrin CD11b/CD18 Mohd. Hafeez Faridi, Dony Maiguel, Constantinos J. Barth, Darren Stoub, Ruth Day, Stephan Schürer, Vineet Gupta 6902-6906
|
| Full: PDF (2353 K) |
|
Structural insights into IKKβ inhibition by natural products staurosporine and quercetin Carolina M. Avila, Nelilma C. Romeiro, Carlos M.R. Sant’Anna, Eliezer J. Barreiro, Carlos A.M. Fraga 6907-6910
|
| Full: PDF (698 K) |
|
Synthesis, spectroscopic properties and protein labeling of water soluble 3,5-disubstituted boron dipyrromethenes Özlem Dilek, Susan L. Bane 6911-6913
|
| Full: PDF (402 K) |
|
Anti-tumoral activity of imidazoquines, a new class of antimalarials derived from primaquine Iva Fernandes, Nuno Vale, Victor de Freitas, Rui Moreira, Nuno Mateus, Paula Gomes 6914-6917
|
| Full: PDF (295 K) |
|
Design, synthesis and evaluation of novel oxazaphosphorine prodrugs of 9-(2-phosphonomethoxyethyl)adenine (PMEA, adefovir) as potent HBV inhibitors Peng Lu, Jiangxia Liu, Yuya Wang, Xiaoyan Chen, Yushe Yang, Ruyun Ji 6918-6921
|
| Full: PDF (487 K) |
|
COX, LOX and platelet aggregation inhibitory properties of Lauraceae neolignans Ericsson David Coy, Luis Enrique Cuca, Michael Sefkow 6922-6925
|
| Full: PDF (296 K) |
|
New small molecule inhibitors of hepatitis C virus Wanguo Wei, Cuifang Cai, Smitha Kota, Virginia Takahashi, Feng Ni, A. Donny Strosberg, John K. Snyder 6926-6930
|
| Full: PDF (605 K) |
|
Effect of chirality of small molecule organofluorine inhibitors of amyloid self-assembly on inhibitor potency Abha Sood, Mohammed Abid, Samson Hailemichael, Michelle Foster, Béla Török, Marianna Török 6931-6934
|
| Full: PDF (492 K) |
|
1-(2-Aminoethyl)-3-(arylsulfonyl)-1H-pyrrolopyridines are 5-HT6 receptor ligands Ronald C. Bernotas, Schuyler A. Antane, Steven E. Lenicek, Simon N. Haydar, Albert J. Robichaud, Boyd L. Harrison, Guo Ming Zhang, Deborah Smith, Joseph Coupet, Lee E. Schechter 6935-6938
|
| Full: PDF (327 K) |
|
Synthesis and biological evaluation of 2-amino-7,7-dimethyl 4-substituted-5-oxo-1-(3,4,5-trimethoxy)-1,4,5,6,7,8-hexahydro-quinoline-3-carbonitrile derivatives as potential cytotoxic agents Saleh I. Alqasoumi, Areej M. Al-Taweel, Ahmed M. Alafeefy, Mostafa M. Hamed, Eman Noaman, Mostafa M. Ghorab 6939-6942
|
| Full: PDF (382 K) |
|
Physicochemical property profiles of marketed drugs, clinical candidates and bioactive compounds Christian Tyrchan, Niklas Blomberg, Ola Engkvist, Thierry Kogej, Sorel Muresan 6943-6947
|
| Full: PDF (787 K) |
|
Synthesis and antitumor-evaluation of cyclopropyl-containing combretastatin analogs Rita Fürst, István Zupkó, Ágnes Berényi, Gerhard F. Ecker, Uwe Rinner 6948-6951
|
| Full: PDF (454 K) |
|
N-Bridged bicyclic sulfonamides as inhibitors of γ-secretase Simeon Bowers, Gary D. Probst, Anh P. Truong, Roy K. Hom, Andrei W. Konradi, Hing L. Sham, Albert W. Garofalo, Karina Wong, Erich Goldbach, Kevin P. Quinn, John-Michael Sauer, William Wallace, Lan Nguyen, Susanna S. Hemphill, Michael P. Bova, Guriqbal S. Basi 6952-6956
|
| Full: PDF (847 K) |
|
Novel pyrazolopyrimidines as highly potent B-Raf inhibitors Martin J. Di Grandi, Dan M. Berger, Darrin W. Hopper, Chunchun Zhang, Minu Dutia, Alejandro L. Dunnick, Nancy Torres, Jeremy I. Levin, George Diamantidis, Christoph W. Zapf, Jonathan D. Bloom, YongBo Hu, Dennis Powell, Donald Wojciechowicz, Karen Collins, Eileen Frommer 6957-6961
|
| Full: PDF (915 K) |
|
Synthesis and evaluation of a thio analogue of duocarmycin SA Karen S. MacMillan, James P. Lajiness, Carlota Lopez Cara, Romeo Romagnoli, William M. Robertson, Inkyu Hwang, Pier Giovanni Baraldi, Dale L. Boger 6962-6965
|
| Full: PDF (1157 K) |
|
Terpenoids. III: Synthesis and biological evaluation of 23-hydroxybetulinic acid derivatives as novel inhibitors of glycogen phosphorylase Peiqing Zhu, Yi Bi, Jinyi Xu, Zan Li, Jun Liu, Luyong Zhang, Wencai Ye, Xiaoming Wu 6966-6969
|
| Full: PDF (366 K) |
|
Cell-based optimization of novel benzamides as potential antimalarial leads Tao Wu, Advait Nagle, Tomoyo Sakata, Kerstin Henson, Rachel Borboa, Zhong Chen, Kelli Kuhen, David Plouffe, Elizabeth Winzeler, Francisco Adrian, Tove Tuntland, Jonathan Chang, Susan Simerson, Steven Howard, Jared Ek, John Isbell, Xianming Deng, Nathanael S. Gray, David C. Tully, Arnab K. Chatterjee 6970-6974
|
| Full: PDF (476 K) |
|
Synthesis of fluorescent C24-ceramide: Evidence for acyl chain length dependent differences in penetration of exogenous NBD-ceramides into human skin Jakub Novotný, Kateřina Pospěchová, Alexandr Hrabálek, Robert Čáp, Kateřina Vávrová 6975-6977
|
| Full: PDF (272 K) |
|
A bivalent ligand (KMN-21) antagonist for μ/κ heterodimeric opioid receptors Shijun Zhang, Ajay Yekkirala, Ye Tang, Philip S. Portoghese 6978-6980
|
| Full: PDF (306 K) |
|
Synthesis, stereochemistry and antimicrobial studies of novel oxime ethers of aza/diazabicycles Paramasivam Parthiban, Gopalakrishnan Aridoss, Paramasivam Rathika, Venkatachalam Ramkumar, Senthamaraikannan Kabilan 6981-6985
|
| Full: PDF (765 K) |
|
NSAID-derived γ-secretase modulators. Part III: Membrane anchoring Stefanie Baumann, Nicole Höttecke, Robert Schubenel, Karlheinz Baumann, Boris Schmidt 6986-6990
|
| Full: PDF (385 K) |
|
Imidazo[1,2-a]pyrazine diaryl ureas: Inhibitors of the receptor tyrosine kinase EphB4 Scott A. Mitchell, Mihaela Diana Danca, Peter A. Blomgren, James W. Darrow, Kevin S. Currie, Jeffrey E. Kropf, Seung H. Lee, Steven L. Gallion, Jin-Ming Xiong, Douglas A. Pippin, Robert W. DeSimone, David R. Brittelli, David C. Eustice, Aaron Bourret, Melissa Hill-Drzewi, Patricia M. Maciejewski, Lisa L. Elkin 6991-6995
|
| Full: PDF (222 K) |
|
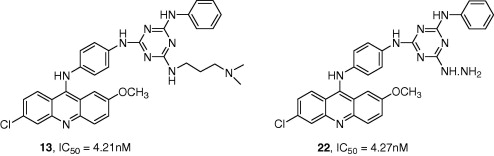
Synthesis of 9-anilinoacridine triazines as new class of hybrid antimalarial agents Ashok Kumar, Kumkum Srivastava, S. Raja Kumar, S.K. Puri, Prem M.S. Chauhan 6996-6999
|
| Full: PDF (202 K) |
|
Synthesis and antimycobacterial evaluation of novel 5,6-dimethoxy-1-oxo-2,5-dihydro-1H-2-indenyl-5,4-substituted phenyl methanone analogues Mohamed Ashraf Ali, Jeyabalan Govinda Samy, Elumalai Manogaran, Velmurugan Sellappan, Mohamed Zaheen Hasan, Mohamed Jawed Ahsan, Suresh Pandian, Mohammad ShaharYar 7000-7002
|
| Full: PDF (208 K) |
|
Evaluation and optimization of antifibrotic activity of cinnamoyl anthranilates Steven C. Zammit, Alison J. Cox, Renae M. Gow, Yuan Zhang, Richard E. Gilbert, Henry Krum, Darren J. Kelly, Spencer J. Williams 7003-7006
|
| Full: PDF (556 K) |
|
Design, synthesis and bioactivity of catechin/epicatechin and 2-azetidinone derived chimeric molecules Basab Roy, Arindam Chakraborty, Sudip K. Ghosh, Amit Basak 7007-7010
|
| Full: PDF (289 K) |
|
|
|