Contents: HCA 7/2009
NA
|
| Full: PDF (298 K) |
|
Structures of the Reactive Intermediates in Organocatalysis with Diarylprolinol Ethers Uros Groselj, Dieter Seebach, D. Michael Badine, W. Bernd Schweizer, Albert K. Beck, Ingo Krossing, Petra Klose, Yujiro Hayashi, Tadafumi Uchimaru 1225-1259
|
| Full: PDF (1810 K) |
|
Two Novel Antioxidative Stilbene Tetramers from Parthenocissus laetevirens Shan He, Liyan Jiang, Bin Wu, Jing Zhou, Yuan-Jiang Pan 1260-1267
|
| Full: PDF (200 K) |
|
Highly Efficient Synthesis of Thieno[2,3-b]indole Derivatives Hassan Zali Boeini 1268-1272
|
| Full: PDF (154 K) |
|
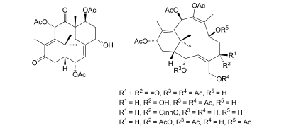
Three New Daphne Diterpenes from the Buds of Daphne genkwa Sieb. et Zucc. Processed by Rice Vinegar Yi-Mei Zeng, Wen-Jian Zuo, Min-Ge Sun, He Meng, Qing-Hui Wang, Jin-Hui Wang, Xian Li 1273-1281
|
| Full: PDF (282 K) |
|
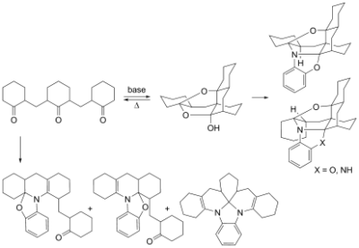
The Structure and Configuration of Novel Polycyclic Products Derived from an Alicyclic 1,5,9-Trione and Binucleophiles Natalia S. Kravchenko, Vladimir A. Denisenko, Taisia I. Akimova 1282-1290
|
| Full: PDF (178 K) |
|
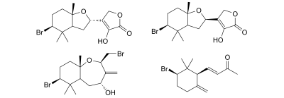
Sesquiterpenes from the Marine Red Alga Laurencia saitoi Hua Su, Zhao-Hui Yuan, Jing Li, Shu-Ju Guo, Li-Ping Deng, Li-Jun Han, Xiao-Bin Zhu, Da-Yong Shi 1291-1297
|
| Full: PDF (179 K) |
|
Four New Eudesmane Sesquiterpenoid Lactones from Chloranthus serratus Fei Teng, Hui-Min Zhong, Chang-Xiang Chen, Hai-Yang Liu 1298-1303
|
| Full: PDF (153 K) |
|
Two New Withanolides from Physalis peruviana Sheng-Tao Fang, Bo Li, Ji-Kai Liu 1304-1308
|
| Full: PDF (173 K) |
|
Synthesis of Regioisomeric Functionalized Benzodifurans and Angelicins Elías Quezada, Giovanna Delogu, Dolores Viña, Lourdes Santana, Gianni Podda, Maria Joao Matos, Carmen Picciau 1309-1314
|
| Full: PDF (148 K) |
|
Baimantuoluosides A - C, Three New Withanolide Glucosides from the Flower of Datura metel L. Haixue Kuang, Bingyou Yang, Ling Tang, Yonggang Xia, Deqiang Dou 1315-1323
|
| Full: PDF (279 K) |
|
Seven New Phenolic Glucosides from Viburnum cylindricum Lin Tu, Gang Xu, Yu Zhao, Li-Yan Peng, Juan He, Na Guo, Qin-Shi Zhao 1324-1332
|
| Full: PDF (187 K) |
|
Alkyl-Group Selection in an Acidic-Surfactant-Promoted Reaction of Homoallyl Alcohols and Aldehydes in Water Takanori Hatakeyama, Yuki Chisaka, Chiaki Kuroda 1333-1340
|
| Full: PDF (176 K) |
|
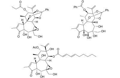
Diterpenoids from the Hainan Soft Coral Sinularia parva Yan Li, An-Hui Gao, Hui Huang, Jia Li, Ernesto Mollo, Margherita Gavagnin, Guido Cimino, Yu-Cheng Gu, Yue-Wei Guo 1341-1348
|
| Full: PDF (288 K) |
|
Tri- and Bicyclic Taxoids from the Taiwanese Yew Taxus sumatrana Lon-Je Luh, Mohamed H. Abd El-Razek, Chia-Ching Liaw, Chen-Tung Arthur Chen, Yun-Sheng Lin, Yao-Haur Kuo, Ching-Te Chien, Ya-Ching Shen 1349-1358
|
| Full: PDF (201 K) |
|
First Synthesis and Utilization of Oripavidine - A Concise and Efficient Route to Important Morphinans and Apomorphines Attila Sipos, Sándor Berényi, Sándor Antus 1359-1365
|
| Full: PDF (160 K) |
|
Benzodiazepine Alkaloids from Marine-Derived Endophytic Fungus Aspergillus ochraceus Chuan-Ming Cui, Xiao-Ming Li, Chun-Shun Li, Hao-Fen Sun, Shu-Shan Gao, Bin-Gui Wang 1366-1370
|
| Full: PDF (154 K) |
|
Nitrogen-Rich Compounds of the Lanthanoids: The 5,5′-Azobis[1H-tetrazol-1-ides] of some Yttric Earths (Tb, Dy, Ho, Er, Tm, Yb, and Lu) Georg Steinhauser, Gerald Giester, Christoph Wagner, Nicolae Leopold, Johannes H. Sterba, Bernhard Lendl, Max Bichler 1371-1384
|
| Full: PDF (321 K) |
|
Synthesis and Anti-HIV-1 Evaluation of New Sonogashira-Modified Emivirine (MKC-442) Analogues Krzysztof Danel, Per T. Jørgensen, Erik B. Pedersen, Paolo La Colla, Gabriella Collu, Roberta Loddo 1385-1403
|
| Full: PDF (295 K) |
|
Total Synthesis of (+)-Machaeriols B and C and of Their Enantiomers with a Cannabinoid Structure Hee Jin Lee, Yong Rok Lee, Sung Hong Kim 1404-1412
|
| Full: PDF (204 K) |
|
Five New Triterpenoids from the Roots of Kadsura coccinea Nan Wang, Zhan-Lin Li, Dan-Yi Li, Yue-Hu Pei, Hui-Ming Hua 1413-1418
|
| Full: PDF (165 K) |
|
Three New ent-Labdane Diterpenoids from the Wood of Excoecaria agallocha Linn. Ponnapalli Mangala Gowri, Sri Vedavyasa Srirangaraja Radhakrishnan Bhattar, Poreddy Guruva Reddy, Yerraballi Rakesh, Shaik Jeelani Basha, Akella Venkata Subrahmanya Sarma, Janaswamy Madhusudana Rao 1419-1427
|
| Full: PDF (204 K) |
|
Lingshuine, an Unexpected Passerini Product from the Hainan Sponge Axinyssa variabilis Duo-Qing Xue, Ernesto Mollo, Guido Cimino, Yue-Wei Guo 1428-1433
|
| Full: PDF (168 K) |
|
Novel and Highly Effective Method for the Trimethylsilylation of Alcohols and Phenols with Hexamethyldisilazane (HMDS), Catalyzed by I2 Generated in situ Using Fe(NO3)3⋅9 H2O/NaI under Heterogeneous and Neutral Conditions Ardeshir Khazaei, Sadegh Rahmati, Amin Rostami 1434-1438
|
| Full: PDF (154 K) |
|
Two New Kaempferol Glycosides from Androsace umbellata Jun Lei, Yun-Chuan Xiao, Jing Huang, Min Tang, Peng-Chi Deng 1439-1444
|
| Full: PDF (160 K) |
|
Unexpected Ring Expansion of the (3aS,6aR)-γ-Thiolactone Moiety during the Introduction of the (+)-Biotin Side Chain Jian Huang, Fei Xiong, Zhong-Hua Wang, Fen-Er Chen 1445-1449
|
| Full: PDF (200 K) |
|