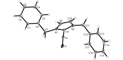
Novel Benzyl- or 4-Cyanobenzyl-Substituted N-Heterocyclic (Bromo)(carbene)silver(I) and (Carbene)(chloro)gold(I) Complexes: Synthesis and Preliminary Cytotoxicity Studies Siddappa Patil, Anthony Deally, Frauke Hackenberg, Leonard Kaps, Helge Müller-Bunz, Rainer Schobert and Matthias Tacke 1551-1562
|
| Full: PDF (462 K) |
|
Stepwise Mechanism of Hydroxide Ion Catalyzed Cyclization of Uridine 3′-Thiophosphates Mikko Ora and Anne Hanski 1563-1574
|
| Full: PDF (284 K) |
|
Reactions of Imidoyl Isoselenocyanates with Aromatic 2-Amino N-Heterocycles and 1-Methyl-1H-imidazole YuehuiDong Zhou, Anthony Linden and Heinz Heimgartner 1575-1585
|
| Full: PDF (323 K) |
|
Asymmetric Mannich-Type Synthesis of N-Phosphinyl α-Aminophosphonic Acid Monoesters Zhijia Fang, Haohao Yang, Zhiwei Miao and Ruyu Chen 1586-1593
|
| Full: PDF (198 K) |
|
Two New Cytotoxic Alkaloids from Mappianthus iodoidesHand.-Mazz. Xi-Bin Xiao, Yue-Xing Lin, Geng-Bo Xu, Xu-Bo Gong, Ying Gu, Jie-Feng Tong and Jing Yang 1594-1599
|
| Full: PDF (173 K) |
|
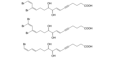
Xestospongienols A–L, Brominated Acetylenic Acids from the Chinese Marine Sponge Xestospongia testudinaria Dong Liu, Jing Xu, Wei Jiang, Zhiwei Deng, Nicole J. de Voogd, Peter Proksch and Wenhan Lin 1600-1607
|
| Full: PDF (167 K) |
|
Inclusion Complexes of Coenzyme Q10 with Polyamine-Modified β-Cyclodextrins: Characterization, Solubilization, and Inclusion Mode Juan Gu, Shao-Ming Chi, Yong Zhao, Ping Zheng, Qiong Ruan, Yan Zhao and Hong-You Zhu 1608-1617
|
| Full: PDF (640 K) |
|
Tin(II) Halide Insertion or Halogen Exchange in the Reactions of Dihaloplatinum(II) Complexes with Tin(II) Halide Badri Z. Momeni, Hoori Kazmi and Atefeh Najafi 1618-1627
|
| Full: PDF (211 K) |
|
A New Four-Component Reaction for the Synthesis of Spiro[4H-indeno[1,2-b]pyridine-4,3′-[3H]indoles] Afsaneh Feiz, Ghazaleh Imani Shakibaei, Zahra Yasaei, Hamid Reza Khavasi and Ayoob Bazgir 1628-1637
|
| Full: PDF (239 K) |
|
Secondary Metabolites from the Fungus Monascus purpureus and Evaluation of Their Cytotoxic Activity Ming-Jen Cheng, Ping-Hsun Yang, Ming-Der Wu, Ih-Sheng Chen, Ming-Tsuen Hsieh, Yen-Lin Chen and Gwo-Fang Yuan 1638-1650
|
| Full: PDF (329 K) |
|
Godavarin K: a New Limonoid with an Oxygen Bridge between C(1) and C(29) from the Godavari Mangrove Xylocarpus moluccensis Jun Li, Min-Yi Li, Tirumani Satyanandamurty and Jun Wu 1651-1656
|
| Full: PDF (168 K) |
|
A Simple One-Pot Synthesis of N-Alkyl-2,5-diaryl-1,3-dioxol-4-amines Mohammad Bayat and Shima Nasri 1657-1661
|
| Full: PDF (158 K) |
|
A Convenient Synthesis of Functionalized α-Methylidenebutano-4-lactams Gwenaëlle Liberge, Stéphane Lebrun, Axel Couture and Pierre Grandclaudon 1662-1670
|
| Full: PDF (191 K) |
|
New Cytochalasins from the Marine-Derived Fungus Xylaria sp. SCSIO 156 Ziming Chen, Hongbo Huang, Yuchan Chen, Zhongwen Wang, Junying Ma, Bo Wang, Weimin Zhang, Changsheng Zhang and Jianhua Ju 1671-1676
|
| Full: PDF (174 K) |
|
A New Phenolic Diglycoside Produced in Response to Copper Toxicity and a New Flavan Dimer from the Leaves of Viburnum ichangense (Hemsl.) Rehd. Bin Wu, Kuiwu Wang and Xiaodan Wu 1677-1684
|
| Full: PDF (168 K) |
|
Three New Neolignans and One New Phenylpropanoid from the Leaves and Stems of Toona ciliata var. pubescens Yu-Bo Liu, Jiang-Jiang Qin, Xiang-Rong Cheng, Jia-Xian Zhu, Fei Zhang, Hui-Zi Jin and Wei-Dong Zhang 1685-1691
|
| Full: PDF (168 K) |
|
CuBr/FeCl3 Catalysis: a Novel and Efficient Method for the Preparation of New Aryl (Iminomethyl)propargyl Ether Derivatives via C-H Activation of Aryl Propargyl Ethers Gautham Santhosh Kumar, Chavva Kurumurthy, Pillalamarri Sambasiva Rao, Banda Veeraswamy, Pamulaparthi Shanthan Rao and Banda Narsaiah 1692-1696
|
| Full: PDF (168 K) |
|
Three New Peroxy Triterpene Lactones from Pseudolarix kaempferi Jun-Ming Tan, Yi-Hua Qiu, Xin-Qi Tan and Chang-Heng Tan 1697-1702
|
| Full: PDF (174 K) |
|
A Simple Synthesis of 5-(2-Aminophenyl)-1H-pyrazoles Monika Janjić, Rok Prebil, Uroš Grošelj, David Kralj, Črt Malavašič, Amalija Golobič, Katarina Stare, Georg Dahmann, Branko Stanovnik and Jurij Svete 1703-1717
|
| Full: PDF (334 K) |
|
Ions Can Move a Proton-Coupled Electron-Transfer Reaction into Tunneling Regime Cvijeta Jakobušić Brala, Viktor Pilepić, Ivana Sajenko, Ana Karković and Stanko Uršić 1718-1731
|
| Full: PDF (285 K) |
|
Cytotoxic Naphtho-γ-pyrones from the Mangrove Endophytic Fungus Aspergillus tubingensis (GX1-5E) Hong-Bo Huang, Ze-En Xiao, Xiao-Jun Feng, Cai-Huan Huang, Xun Zhu, Jian-Hua Ju, Meng-Feng Li, Yong-Cheng Lin, Lan Liu and Zhi-Gang She 1732-1740
|
| Full: PDF (220 K) |
|
Erratum: Three New Triterpenoid Saponins from Ardisia crenata Dai-Lin Liu, Nai-Li Wang, Xue Zhang and Xin-Sheng Yao 1741
|
| Full: PDF (68 K) |
|