Contents: HCA 2/2012
i
|
| Full: PDF (285 K) |
|
One-Pot Synthesis of 4-Substituted 3,4-Dihydro-3-methoxyisocoumarins via Carboxylation of α-Substituted 2-Lithio-β-methoxystyrenes with Carbon Dioxide Kazuhiro Kobayashi, Toshiyuki Nagaoka, Yuu Shirai, Wataru Miyatani, Yuki Yokoi and Hisatoshi Konishi 191-196
|
| Full: PDF (176 K) |
|
Trinuclear Non-Heme Iron Complexes Based on 4-Substituted 2,6-Diacylpyridine Ligands as Catalysts in Aerobic Allylic Oxidations Volker Rabe, Wolfgang Frey, Angelika Baro and Sabine Laschat 197-210
|
| Full: PDF (260 K) |
|
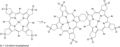
A Functionalized Spiro[chlorin-porphyrin]-Type ‘Dimer’ Dizinc Complex from Rapid [4+2] Self-cycloaddition of a Conjugated [β,β′-Bis(methylene)porphyrinato]zinc Srinivas Banala, Paul Sintic and Bernhard Kräutler 211-220
|
| Full: PDF (321 K) |
|
Three New ent-Kaurane Diterpenoids from Siegesbeckia pubescens Jia Liu, Lin Feng, Hai-Dao Li, Qing-Li Dong and Rong Chen 221-226
|
| Full: PDF (184 K) |
|
Stereoselective Total Synthesis of Stagonolide C Jhillu S. Yadav, Nimmakayala Mallikarjuna Reddy, N. Venkateswar Rao, Md. Ataur Rahman and Attaluri R. Prasad 227-234
|
| Full: PDF (198 K) |
|
Yalongenes A and B, Two New Cembranoids with Cytoprotective Effects from the Hainan Soft Coral Sarcophyton trocheliophorumMarenzeller Li-Gong Yao, Hai-Yan Zhang, Lin-Fu Liang, Xian-Jun Guo, Shui-Chun Mao and Yue-Wei Guo 235-239
|
| Full: PDF (171 K) |
|
Identification of Three New Flavonoids from the Peels of Citrus unshiu Hyun Ji Shin, Joo-Won Nam, Ui Joong Yoon, Ah-Reum Han and Eun-Kyoung Seo 240-245
|
| Full: PDF (173 K) |
|
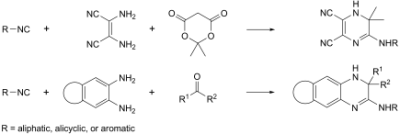
Isocyanide-Based Three-Component Synthesis of Highly Substituted 1,6-Dihydro-6,6-dimethylpyrazine-2,3-dicarbonitrile, 3,4-Dihydrobenzo[g]quinoxalin-2-amine, and 3,4-Dihydro-3,3-dimethyl-quinoxalin-2-amine Derivatives Ahmad Shaabani, Fatemeh Hajishaabanha, Hamid Mofakham, Mojtaba Mahyari and Bagher Lali 246-254
|
| Full: PDF (235 K) |
|
Two New Pentacyclic Triterpenoids from Centella asiatica Xiao-Xiang Weng, Jing Zhang, Wen Gao, Liang Cheng, Yan Shao and De-Yun Kong 255-260
|
| Full: PDF (184 K) |
|
Four New Cuparene-Type Sesquiterpenes from Flammulina velutipes Ya-Qi Wang, Li Bao, Xiao-Li Yang, Huan-Qin Dai, Hui Guo, Xin-Sheng Yao, Li-Xin Zhang and Hong-Wei Liu 261-267
|
| Full: PDF (177 K) |
|
Synthesis of Some C2-Symmetric Bidentate Ligands and Their Complexes Derived from Feist's Acid Abdullah M. A. Al-Majid, Zeid A. Al-Othman and Mohammad Shahidul Islam 268-277
|
| Full: PDF (214 K) |
|
One-Pot Synthesis of 4-(2,3-Dihydro-2-hydroxy-1,3-dioxo-1H-inden-2-yl)-Substituted 1-Aryl-1H-pyrazole-3-carboxylates via a Tandem Three-Component Reaction Abdolali Alizadeh, Ameneh Zarei and Atieh Rezvanian 278-281
|
| Full: PDF (190 K) |
|
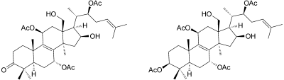
Highly Acetylated Lanostane-Type Triterpenoids from Coprinus cinereus 120 Yuan-Zhen Liu, Yao-Yao Li, Yi-Fei Sun, Zhong-Hui Zheng, Si-Yang Song, Wen-Jin Su and Yue-Mao Shen 282-285
|
| Full: PDF (147 K) |
|
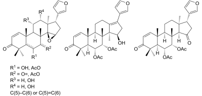
Triterpenoids from Melia toosendan Shi-Hui Dong, Xiu-Feng He, Lei Dong, Yan Wu and Jian-Min Yue 286-300
|
| Full: PDF (552 K) |
|
Five New Tetranortriterpenoids from the Seeds of Toona ciliata Si-Yuan Jiang, Jie-Qing Liu, Jian-Jun Xia, Yu-Xin Yan and Ming-Hua Qiu 301-307
|
| Full: PDF (171 K) |
|
Highly Conjugated Ergostane-Type Steroids and Aranotin-Type Diketopiperazines from the Fungus Aspergillus terreus BCC 4651 Rachada Haritakun, Pranee Rachtawee, Somjit Komwijit, Sutichai Nithithanasilp and Masahiko Isaka 308-313
|
| Full: PDF (167 K) |
|
A New Diterpenoid Alkaloid from the Roots of a White-Flowering Aconitum orientale Sample Ali H. Meriçli, Nil Çağal-Yurdusever, Hasan Özçelik, Josef Zapp and Alexandra K. Kiemer 314-319
|
| Full: PDF (144 K) |
|
Design and Synthesis of Some Novel 2,3,4,5-Tetrahydro-1H-pyrido[4,3-b]indoles as Potential c-Met Inhibitors Lianbao Ye, Yuanxin Tian, Zhonghuang Li, Jiajie Zhang and Shuguang Wu 320-326
|
| Full: PDF (181 K) |
|
Three New Bisabolocurcumin Ethers from the Rhizomes of Curcuma longa L. Yun-Chuan Xiao, Jun Lei, Miao Liu, Min Yu, Jian Ran, Jing Xie, Wei Li and Jing Huang 327-332
|
| Full: PDF (171 K) |
|
Lignans from Phryma leptostachya L. Chunmei Chen, Hucheng Zhu, De Zhao and Jun Deng 333-338
|
| Full: PDF (165 K) |
|
Efficient One-Pot Synthesis of Alkyl 2-(Dialkylamino)-4-phenylthiazole-5-carboxylates and Single-Crystal X-Ray Structure of Methyl 2-(Diisopropylamino)-4-phenylthiazole-5-carboxylate Ali Souldozi, Ali Ramazani, Ali Reza Dadrass, Katarzyna Ślepokura and Tadeusz Lis 339-348
|
| Full: PDF (338 K) |
|
New Benzofuranylpropanoids from the Roots of Codonopsis lanceolata Qiu-Fen Hu, Xue-Sen Li, Hai-Tao Huang, Huai-Xue Mu, Pen-Fei Tu and Gan-Peng Li 349-352
|
| Full: PDF (148 K) |
|