Catalytic Performance of Polystyrene-Bound ChibaG Derivatives as Guanidine Organobases in Asymmetric Michael Additions Tsutomu Ishikawa, Takashi Heima, Makoto Yoshida and Takuya Kumamoto 307-314
|
| Full: PDF (212 K) |
|
One-Pot Synthesis of N,N-Disubstituted (Z)-4-(Halomethylidene)-4H-3,1-benzothiazin-2-amines from 2-(2,2-Dihaloethenyl)phenyl Isothiocyanates and Secondary Amines Kazuhiro Kobayashi, Kazuya Yamane, Ippei Nozawa and Kosuke Ezaki 315-320
|
| Full: PDF (163 K) |
|
Regularity of Intermittent Bursts in Briggs-Rauscher Oscillating Systems with Phenol Željko D. Čupić, Ljiljana Z. Kolar-Anić, Slobodan R. Anić, Stevan R. Maćešić, Jelena P. Maksimović, Marko S. Pavlović, Maja C. Milenković, Itana Nuša M. Bubanja, Emanuela Greco, Stanley D. Furrow and Rinaldo Cervellati 321-333
|
| Full: PDF (620 K) |
|
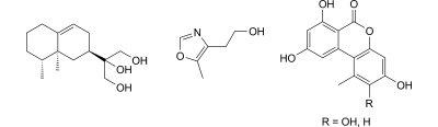
Characterization of Eight New Secondary Metabolites from the Mutant Strain G-444 of Tubercularia sp. TF5 Chun-Hua Lu, Shao-Song Liu, Jing-Yi Wang, Ming-Zi Wang and Yue-Mao Shen 334-344
|
| Full: PDF (209 K) |
|
Synthesis, Characterization, and Photoluminescence Properties of Silver(I) Metal-Organic Polymers with Nanochannels Based on 2-Sulfoterephthalic Acid and Di(pyridin-2-yl)amine Ligands Hui Huang, Mahmood Payehghadr, Jie Wang, Hong-Ping Xiao, Ai-Yin Wang, Xin-Hua Li and Ali Morsali 345-354
|
| Full: PDF (1253 K) |
|
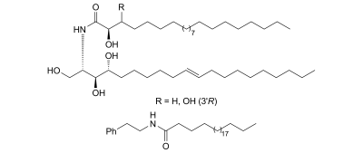
Ceramides Isolated from Helianthus annuus L. Maorong Suo and Junshan Yang 355-360
|
| Full: PDF (162 K) |
|
Synthesis of a Trisaccharide Related to the Cytotoxic Triterpenoid Saponins Isolated from the Bark of Albizia procera Qing-Chao Liu, Tian-Tian Guo, Cong Zhao, Jing Sun and Wen-Hong Li 361-368
|
| Full: PDF (212 K) |
|
Sesquiterpenoids and Their Glycosides from Gynura procumbens Ying Zhang, Kun Jiang, Yi-Ming Zhai, Jun-Jie Tan, Da-Li Meng, Sha-Li Guo, Shi-Jin Qu and Chang-Heng Tan 369-374
|
| Full: PDF (167 K) |
|
One-Pot Synthesis of (1,2,3-Triazolyl)methyl 3,4-Dihydro-2-oxo-1H-pyrimidine-5-carboxylates as Potentially Active Antimicrobial Agents Minoo Dabiri, Peyman Salehi, Mahboubeh Bahramnejad, Majid Koohshari and Atousa Aliahmadi 375-383
|
| Full: PDF (196 K) |
|
Copper-Catalyzed Tandem Synthesis of Functionalized Sulfonyl-yn-imines from Sodium Arylsulfinates, Trichloroacetonitrile, and Terminal Alkynes Issa Yavari and Manijeh Nematpour 384-387
|
| Full: PDF (127 K) |
|
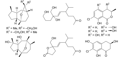
Sesquiterpenoids from the Fruits of Alpinia oxyphylla and Their Anti-Acetylcholinesterase Activity Ping Chen, Pei-Pei Wang, Ze-Zhao Jiao and Lan Xiang 388-397
|
| Full: PDF (435 K) |
|
Iodine-Catalyzed Synthesis of Spiro[1,3,4-benzotriazepine-2,3′-indole]-2′,5(1H,1′H)-diones under Mild Conditions Abdolali Alizadeh and Javad Mokhtari 398-403
|
| Full: PDF (178 K) |
|
First Total Synthesis of N-(3-Guanidinopropyl)-2-(4-hydroxyphenyl)-2-oxoacetamide Satish S. More, Akula Raghunadh, Ramanathan Shankar, Navin B. Patel, Dinesh S. Bhalerao and Unniaran K. Syam Kumar 404-413
|
| Full: PDF (248 K) |
|
New Isoprenylated Aurones from the Flowers of Rosa damascena Yin-Ke Li, Ji-Qing Sun, Xue-Mei Gao and Chun Lei 414-419
|
| Full: PDF (176 K) |
|
CuO Nanoparticles as Effective Reusable Heterogeneous Catalyst for S-Arylation Reactions Issa Yavari, Esmat Sodagar and Manijeh Nematpour 420-425
|
| Full: PDF (325 K) |
|
Chemical Constituents of the Endophytic Fungus Phomopsis sp. A240 Isolated from Taxus chinensis var. mairei Mei-Hua Tao, Yu-Chan Chen, Xiao-Yi Wei, Jian-Wen Tan and Wei-Min Zhang 426-430
|
| Full: PDF (161 K) |
|
Direct Esterification of Aromatic Aldehydes with Tetraphenylphosphonium Bromide under Oxidative N-Heterocyclic Carbene Catalysis Bandaru T. Ramanjaneyulu, Manish Pareek, Virsinha Reddy and R. Vijaya Anand 431-437
|
| Full: PDF (149 K) |
|
New Bisabolane Sesquiterpenes from the Rhizomes of Curcuma xanthorrhiza Roxb. and Their Inhibitory Effects on UVB-Induced MMP-1 Expression in Human Keratinocytes Ji-Hae Park, Ye-Jin Jung, Mohamed Antar Aziz Mohamed, Tae Hoon Lee, Chang-Ho Lee, Daeseok Han, Myung-Chong Song, Jiyoung Kim and Nam-In Baek 438-446
|
| Full: PDF (416 K) |
|
An Approach to the Synthesis of 7-Amino-6-imino-9-phenyl-6H-benzo[c]chromene-8-carbonitrile Derivatives via a Three-Component Reaction under Ultrasonic Irradiation Abdolali Alizadeh, Hadi Sedighian and Rashid Ghanbaripour 447-452
|
| Full: PDF (174 K) |
|