Contents: HCA 1/2015
|
| Full: PDF (254 K) |
|
Instructions for Authors: HCA (2015)
|
| Full: PDF (226 K) |
|
Lithium Enolates: ‘Capricious’ Structures – Reliable Reagents for Synthesis Manfred Braun 1-31
|
| Full: PDF (2161 K) |
|
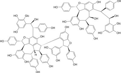
Absolute Configuration of Resveratrol Oligomers Isolated from Hopea utilis Tetsuro Ito, Ryosuke Hoshino and Munekazu Iinuma 32-46
|
| Full: PDF (483 K) |
|
Copper(I)-Catalyzed Amination of Halogenopyridines with Polyamines Maksim V. Anokhin, Alexei D. Averin, Svetlana P. Panchenko, Olga A. Maloshitskaya, Alexei K. Buryak and Irina P. Beletskaya 47-59
|
| Full: PDF (258 K) |
|
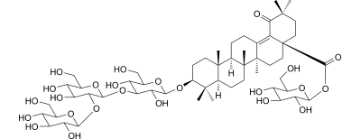
Two New Triterpene Saponins from the Seed Residue of Hippophae rhamnoides L. Wen Gao, Chao Chen, Jing Zhang, Liang Cheng and De-Yun Kong 60-66
|
| Full: PDF (186 K) |
|
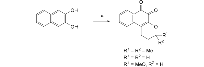
New Route for the Synthesis of Four-Membered Cyclic Ketene Dithioacetals Azizollah Habibi, Yousef Valizadeh and Abdolali Alizadeh 67-71
|
| Full: PDF (145 K) |
|
Further Alkaloids from the Leaves of Trigonostemon lii Cheng-Jian Tan, Yu Zhang, Ning-Chuan Kong, Ying-Tong Di and Xiao-Jiang Hao 72-77
|
| Full: PDF (186 K) |
|
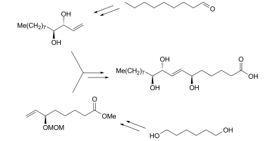
Stereoselective Total Synthesis of the Natural Oxylipin (6R,7E,9R,10S)-6,9,10-Trihydroxyoctadec-7-enoic Acid N. Salva Reddy and Biswanath Das 78-84
|
| Full: PDF (183 K) |
|
Steroidal Alkaloids from Veratrum dahuricum (Turcz.) Loes. f. with Genotoxicity on Brain Cell DNA in Mice Yue Cong, Jing Li, Qing-Chun Zhang, Jing-Gong Guo and Sha-Sha Li 85-91
|
| Full: PDF (430 K) |
|
Tandem Benzylic Oxidation/Dihydroxylation of α-Vinyl- and α-Alkenylbenzyl Alcohols Rodney A. Fernandes and Pullaiah Kattanguru 92-107
|
| Full: PDF (278 K) |
|
New Flavanol Glucosides from Abacopteris aspera (Presl) Ching Zhen Fan, Jing Jin, Chaozhan Lin, Chenchen Zhu, Tao Yang, Bao Yang, Jinping Zhu and Zhongxiang Zhao 108-115
|
| Full: PDF (195 K) |
|
Palladium-Catalyzed Arylation of Olefins by Triarylphosphines via C-P Bond Cleavage Dapeng Lu, Yu Xu, Wenjing Liu, Lijuan Guo and Xingxia Sun 116-122
|
| Full: PDF (158 K) |
|
Two New Labdane-Type Diterpene Acids from the Wood of Cunninghamia konishii Chi-I Chang, Yen-Cheng Li, Chang-Syan Yang, Che-Yi Chao, Yi-Jen Li, Hsun-Shuo Chang, Ching-Jeng Huang, Ching-Chuan Kuo and Yueh-Hsiung Kuo 123-127
|
| Full: PDF (162 K) |
|
Synthesis of a Regioisomer of β-Lapachone and Analogs as Potent Antitumor Agents Qunshan Ding, Yan Zhang, Zhenhua Shen, Chuanjun Song and Junbiao Chang 128-134
|
| Full: PDF (183 K) |
|
Two New Degraded Triterpenoids and a Novel seco-Norabietane Diterpene from the Root Bark of Azadirachta indica Iffat Dilshad, Bina S. Siddiqui and Shaheen Faizi 135-142
|
| Full: PDF (164 K) |
|
First Stereoselective Synthesis of the Cytotoxic Polyketide (4R)-1-(3,5-Dihydroxyphenyl)-4-hydroxypentan-2-one Kothakonda Rajendra Prasad, Sudina Purushotham Reddy, Katragadda Suresh Babu and Janaswamy Madhusudana Rao 143-147
|
| Full: PDF (149 K) |
|
Xanthones with α-Glucosidase Inhibitory Activities from Aspergillus versicolor, a Fungal Endophyte of Huperzia serrata Tian-Tian Ma, Wei-Guang Shan, You-Min Ying, Lie-Feng Ma, Wen-Hong Liu and Zha-Jun Zhan 148-152
|
| Full: PDF (166 K) |
|
Erratum: Organocatalyzed and Uncatalyzed C=C/C=C and C=C/C=N Exchange Processes between Knoevenagel and Imine Compounds in Dynamic Covalent Chemistry Sirinan Kulchat, Kamel Meguellati and Jean-Marie Lehn 153
|
| Full: PDF (81 K) |
|