The Aggregation Behavior of Butyllithium in Diethyl Ether in the Presence of LiBr, LiClO4, and Phenyllithium: A Deuterium-Induced Secondary 6Li-NMR Isotope-Effect Study Bernd Böhler and Harald Günther 427-446
|
| Full: PDF (1880 K) |
|
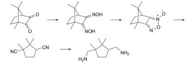
Synthesis of Terpene Diamines Based on Camphor-Derived Dinitriles Florian R. Kinzl and Herbert M. Riepl 447-452
|
| Full: PDF (261 K) |
|
Selenophen-2-yl-Substituted Thiocarbonyl Ylides – at the Borderline of Dipolar and Biradical Reactivity Grzegorz Mlostoń, Katarzyna Urbaniak, Anthony Linden and Heinz Heimgartner 453-461
|
| Full: PDF (342 K) |
|
Studies on the Reactions of Thiocarbonyl S-Methanides with Hetaryl Thioketones Grzegorz Mlostoń, Paulina Pipiak, Anthony Linden and Heinz Heimgartner 462-473
|
| Full: PDF (434 K) |
|
Synthesis and Spectral Characteristics of Novel Fluorescent Dyes Based on Pyrimido[4,5-d] [1,2,4]triazolo[4,3-a]pyrimidine Manijeh Mohadeszadeh, Mohammad Rahimizadeh, Hossein Eshghi, Ali Shiri, Mostafa Gholizadeh and Alireza Shams 474-481
|
| Full: PDF (473 K) |
|
Two New Phenylethanoid Glycosides from Callicarpa longissima Jing-Quan Yuan, Li Qiu, Lu-Hui Zou, Qian Wei, Jian-Hua Miao and Xin-Sheng Yao 482-489
|
| Full: PDF (335 K) |
|
Enantioselective Allylic Alkylation Catalyzed by Novel C2-Symmetric Bisphosphinites Yaşar Gök and Halil Zeki Gök 490-495
|
| Full: PDF (307 K) |
|
New Triterpenoid Glycosides from the Roots of Camellia oleifera Abel Xia Li, Jianping Zhao, Xiaoran Li, Yanli Liu, Qiongming Xu, Ikhlas A. Khan and Shilin Yang 496-508
|
| Full: PDF (403 K) |
|
Stereoselective Total Synthesis of Crassalactone A, a Natural Cytotoxic Styryl Lactone Parigi Raghavendar Reddy and Biswanath Das 509-514
|
| Full: PDF (269 K) |
|
Polyketides and Meroterpenoids from Neosartorya glabra Wen-Hong Liu, Hong Zhao, Rong-Qun Li, Hong-Bin Zheng and Qin Yu 515-519
|
| Full: PDF (297 K) |
|
Stereoselective Synthesis of the Non-Lactonic Portion of (Z)-Cryptofolione and Approaches towards Its Conversion to (Z)-Cryptofolione Siddavatam Nagendra, Vanka Krishna Reddy and Biswanath Das 520-526
|
| Full: PDF (327 K) |
|
New Phenolic Tricyclic Diterpenoids from Rhizomes of Isodon hispida (Benth.) Hara Bo Huang, Zhen-Yuan Huang, Chao-Jiang Xiao, Xiang Dong and Bei Jiang 527-533
|
| Full: PDF (281 K) |
|
Copper-Catalyzed Synthesis of Pentasubstituted Pyridines from N-Sulfonyl Ketenimines, 1,1,3,3-Tetramethylguanidine, and Acetylene Dicarboxylates Issa Yavari, Azam Sheikhi, Manijeh Nematpour and Zohreh Taheri 534-538
|
| Full: PDF (284 K) |
|
Steroidal Alkaloids from Veratrum maackii Regel with Genotoxicity on Brain-Cell DNA in Mice Yue Cong, Hua-Lan Zhu, Qing-Chun Zhang, Lin Li, Hai-Yan Li, Xian-You Wang and Jing-Gong Guo 539-545
|
| Full: PDF (423 K) |
|
An Efficient Synthesis of Spiro-oxindole Derivatives by Three-Component Reactions in Water Abdolali Alizadeh and Leila Moafi 546-551
|
| Full: PDF (283 K) |
|
Cottoquinazolines E and F from Neosartorya fischeri NRRL 181 Wei-Guang Shan, Shi-Lei Wang, Huang-Yan Lang, Si-Mei Chen, You-Min Ying and Zha-Jun Zhan 552-556
|
| Full: PDF (306 K) |
|
Copper-Exchanged Tungstophosphoric Acid: An Efficient and Reusable Heteropoly Acid for the Synthesis of 2,3,4,5-Tetrahydro-4-methylidenefuran Derivatives Seema Aravind and Narayana Reddy 557-560
|
| Full: PDF (210 K) |
|
Two New Flavonoids from Retama raetam Wen-Hui Xu, Adnan J. Al-Rehaily, Muhammad Yousaf, Mohammad S. Ahmad, Shabana I. Khan and Ikhlas A. Khan 561-568
|
| Full: PDF (361 K) |
|
Synthesis of Polysubstituted Benzenes via the Vinylogous Michael Addition of Alkylidenemalononitriles to 2-(1,3-Dioxo-1H-inden-2(3H)-ylidene)malononitrile Abdolali Alizadeh, Hadi Sedighian, Seyed Yasub Hosseini and Long-Guan Zhu 569-574
|
| Full: PDF (333 K) |
|
A Concise Total Synthesis of (+)-(6S,9R,10R)-Bovidic Acid Sachin B. Wadavrao, Ramesh S. Ghogare and A. Venkat Narsaiah 575-581
|
| Full: PDF (317 K) |
|
Boyd Group Electronegativity Influence on the Parr Global Electrophilicity of Vilsmeier Reagent-Derived Imidates: New Insights toward Improving Mitsunobu Chemistry Jeremy M. Carr, Gregory S. Tschumper and A. Paige Lathem 582-588
|
| Full: PDF (415 K) |
|
Base-Catalyzed Formation of Isoxazoles from Dialkyl Acetylenedicarboxylates and 2-Nitroacetophenones Sepehr Sadegh-Samiei, Issa Yavari and Stavroula Skoulika 589-592
|
| Full: PDF (319 K) |
|