| 68 data found. 1 - 68 listed |
|
|
|
BIBLIOGRAPHICAL DATA
|
|
| Vol 49, Issue 1, 1998, pp.1-1, |
| 1998-01-0001-1 |
|
|
| |
|
|
Preface
|
Yuichi Kanaoka
|
| Vol 49, Issue 1, 1998, pp.3-3, |
| 1998-01-0003-1 |
|
|
| |
|
|
A Chemist in a Biomedical Institute
|
Bernhard Witkop
|
| Vol 49, Issue 1, 1998, pp.5-8, |
| 1998-01-0005 |
|
|
| |
|
|
From the "Ordeal Bean" (Physostigma venenosum) to the Ordeal of Alzheimer's Disease ----- Some of the Legacy of Percy Lavon Julian (1899 - 1975)
|
Bernhard Witkop
|
| Vol 49, Issue 1, 1998, pp.9-27, |
|
|
|
| |
|
| Communication |
MCR IX: A New and Easy Way for the Preparation of Piperazine-2-keto-3-carboxamides
|
Alexander v. Zychlinski and Ivar Ugi*
|
| Vol 49, Issue 1, 1998, pp.29-32, |
| COM-97-S2 |
|
|
| |
 |
|
| Communication |
An Enantio- and Diastereoselective Synthesis of (-)-Isoretronecanol and (+)-Trachelanthamidine from a meso Precursor
|
Hiroyuki Konno, Masayo Kishi, Kou Hiroya, and Kunio Ogasawara*
|
| Vol 49, Issue 1, 1998, pp.33-37, |
| COM-97-S4 |
|
|
| |
 |
|
| Communication |
Studies on the Stereochemistry of Theonezolides A-C: Elucidation of the Relative Configurations of 1,3-Diol Moieties of the C-4Å`C-17 Fragment
|
Jun'ichi Kobayashi,* Makiko Yonezawa, Shinji Takeuchi, and Masami Ishibashi
|
| Vol 49, Issue 1, 1998, pp.39-42, |
| COM-97-S6-1 |
|
|
| |
 |
|
| Communication |
A Novel Synthesis of Thebaine from Codeine
|
Andrew Coop and Kenner C. Rice*
|
| Vol 49, Issue 1, 1998, pp.43-47, |
| COM-98-S8 |
|
|
| |
 |
|
| Communication |
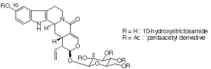
Isolation, Partial Synthesis and Stereochemical Study of 10-Hydroxystrictosamide, a Constituent of Nauclea orientalis in Thailand
|
Hiromitsu Takayama,* Osamu Ohmori, Masayo Sakai, Michiko Funahashi, Mariko Kitajima, Dammrong Santiarworn, Boonsom Liawruangrath, and Norio Aimi
|
| Vol 49, Issue 1, 1998, pp.49-52, |
| COM-98-S12 |
|
|
| |
 |
|
| Communication |
Synthesis and Cytotoxicity of Various Structural Types of Novel Cyclopropapyrroloindole(CPI) Derivatives
|
Yasumichi Fukuda,* Hirosuke Furuta, Yoshie Kusama, Hiroyuki Ebisu, Yasuo Oomori, and Shiro Terashima*
|
| Vol 49, Issue 1, 1998, pp.53-58, |
| COM-98-S21 |
|
|
| |
 |
|
| Communication |
Acid-catalyzed Photorearrangement of 1,3-Dimethylcyclooctapyrimidine-2,4-dione into 10,12-Diazatricyclo[6.4.0.01,5]dodeca-3,7-diene-9,11-diones
|
Kazue Ohkura, Yukari Noguchi, and Koh-ichi Seki*
|
| Vol 49, Issue 1, 1998, pp.59-62, |
| COM-98-S27 |
|
|
| |
 |
|
| Communication |
Synthesis of Unnatural Enantiomer of Nectrisine and Its Biological Activity
|
Naoto Kogoshi, Akira Takatsuki, Yong Jip Kim, and Takeshi Kitahara*
|
| Vol 49, Issue 1, 1998, pp.63-66, |
| COM-98-S29 |
|
|
| |
 |
|
| Communication |
Allylation of N-Acyl Quaternary Salts of Azaaromatics with Allyltrimethylsilane in the Presence of Triflate Ion
|
Takashi Itoh, Michiko Miyazaki, Kazuhiro Nagata, and Akio Ohsawa*
|
| Vol 49, Issue 1, 1998, pp.67-71, |
| COM-98-S32 |
|
|
| |
 |
|
| Communication |
Intramolecular [2+2] Photocycloaddition of Fumaramic Acid Ester Derivatives. Syntheses of 2-(2,3-Dicarboxycyclobutyl)glycines
|
Hidekazu Tsujishima, Keiko Shimamoto, Yasushi Shigeri, Noboru Yumoto, and Yasufumi Ohfune*
|
| Vol 49, Issue 1, 1998, pp.73-78, |
| COM-98-S35 |
|
|
| |
 |
|
| Communication |
Cycloaddition Reactions of Oxaquadricyclane, Oxanorbornadiene, and Related Compounds with Cyclooctyne
|
Kiyoshi Matsumoto,* Hiroyuki Taketsuna, Yukio Ikemi, Akikazu Kakehi, Takane Uchida, and Shinichi Otani
|
| Vol 49, Issue 1, 1998, pp.79-83, |
| COM-98-S36 |
|
|
| |
 |
|
| Communication |
Reactivity of Rieke Manganese: Synthesis of Pyrrolidine and Piperidine Derivatives
|
Makoto Hojo, Junji Yoshizawa, Yoshihiro Funahashi, Ryo Okada, Shin-ya Nakamura, Jun-ichi Tateiwa, and Akira Hosomi*
|
| Vol 49, Issue 1, 1998, pp.85-88, |
| COM-98-S37 |
|
|
| |
 |
|
| Communication |
On the Stereoselective Construction of the B and A Rings of Halichondrin B. A PM3 Study
|
Osamu Yonemitsu,* Tatsuya Yamazaki, and Jun-ichi Uenishi
|
| Vol 49, Issue 1, 1998, pp.89-92, |
| COM-98-S38 |
|
|
| |
 |
|
| Communication |
Absolute Stereostructures of Spinacosides C and D with a Novel Acetal Type Substituent from Spinacia oleracea (Spinach) and Basella rubra (Indian Spinach)
|
Masayuki Yoshikawa,* Toshiyuki Murakami, Kazuhiro Hirano, Hisashi Matsuda, Johji Yamahara, Kazuhiro Ohtani, Ryoji Kasai, and Kazuo Yamasaki
|
| Vol 49, Issue 1, 1998, pp.93-96, |
| COM-98-S41 |
|
|
| |
 |
|
| Communication |
Organic Reactions in Water: Indium Mediated Synthesis of α-Alkylidene-β-lactams
|
Muthusamy Jayaraman, Maria T. Batista, Maghar S. Manhas, and Ajay K. Bose*
|
| Vol 49, Issue 1, 1998, pp.97-100, |
| COM-98-S44 |
|
|
| |
 |
|
| Communication |
Antimalarial Activities in vitro of Homoprotoberberine Derivatives. Design of Novel Antimalarials and Structure-Activity Relationship Analysis
|
Junji Miyata, Hiromi Nakashima, Hideo Nemoto, Hye-Sook Kim, Yusuke Wataya, and Masataka Ihara*
|
| Vol 49, Issue 1, 1998, pp.101-104, |
| COM-98-S46 |
|
|
| |
 |
|
| Communication |
Construction of 3,4-Disubstituted Tetrahydrofuran Ring by Radical Cyclizaition. A Model Study for Kainoid Synthesis
|
Satoshi Itadani, Kimiko Hashimoto, and Haruhisa Shirahama*
|
| Vol 49, Issue 1, 1998, pp.105-108, |
| COM-98-S47 |
|
|
| |
 |
|
| Communication |
Synthesis and Evaluation of Enantiomerically Pure Azinomycin-Lexitropsin Hybrid Molecules with DNA-cleaving Activity
|
Kozo Shishido,* Shigenori Haruna, Hiromi Iitsuka, and Masayuki Shibuya*
|
| Vol 49, Issue 1, 1998, pp.109-112, |
| COM-98-S48 |
|
|
| |
 |
|
| Communication |
Cycloaddition of Lithium Ynolate to Imines: Synthesis of 3,4-Disubstituted β-Lactams
|
Mitsuru Shindo,* Soichiro Oya, Yusuke Sato, and Kozo Shishido
|
| Vol 49, Issue 1, 1998, pp.113-116, |
| COM-98-S52 |
|
|
| |
 |
|
| Communication |
Perhydroisoquinoline Synthesis: C(20)-Substituted Analogs of Yohimbine-Type Alkaloids
|
David J. Hart* and David A. Ellis
|
| Vol 49, Issue 1, 1998, pp.117-120, |
| COM-98-S57 |
|
|
| |
 |
|
| Paper |
Photochemical Rearrangements of 1-Acetyl-1,2-dihydroquinoline-2-carbonitriles to the 3,1-Benzoxazines and Cycloprop[b]indoles
|
Masazumi Ikeda,* Saeko Matsugashita, Chika Yukawa, and Takayuki Yakura
|
| Vol 49, Issue 1, 1998, pp.121-126, |
| COM-97-7978 |
|
|
| |
 |
|
| Paper |
New Syntheses of Murrayafoline-A and Murrayaquinone-A via Fischer Indolization of 2-Sulfonyloxyphenylhydrazone (Fischer Indolization and Its Related Compounds. Part 29)
|
Yasuoki Murakami,* Hiroshi Yokoo, and Toshiko Watanabe
|
| Vol 49, Issue 1, 1998, pp.127-132, |
| COM-97-S3 |
|
|
| |
 |
|
| Paper |
The Synthesis of Ethyl 2-(2-Cyano-2-ethoxycarbonylethenyl)amino-3-dimethylaminopropenoate. The Synthesis of Substituted Aminoazolo-, Aminoazinopyrimidinones and 2H-1-Benzopyran-2-ones
|
Lovro Selic, Simona Golic Grdadolnik, and Branko Stanovnik*
|
| Vol 49, Issue 1, 1998, pp.133-142, |
| COM-97-S5 |
|
|
| |
 |
|
| Paper |
Novel Heterocycles: A Benzodithiolane S-Oxide and a Benzothiadiazinane S-Oxide
|
Alan R. Katritzky,* Zhongxing Zhang, Ming Qi, Nusrallah Jubran, and Louis M. Leichter
|
| Vol 49, Issue 1, 1998, pp.143-148, |
| COM-98-S7 |
|
|
| |
 |
|
| Paper |
Samarium Iodide Promoted Coupling of N-Substituted Azetidin-3-ones. A Novel Route to Spiroannulated Heterocyclic Oxiranes
|
Alan P. Marchand,* Arokiasamy Devasagayaraj, and Simon G. Bott*
|
| Vol 49, Issue 1, 1998, pp.149-156, |
| COM-98-S10 |
|
|
| |
 |
|
| Paper |
The Structure of Aminoazoles and Its Relationship with Aromaticity. Crystal and Molecular Structure of Two Polymorphic Forms of 4-Aminopyrazole
|
Lourdes Infantes, Concepción Foces-Foces,* Pilar Cabildo,* Rosa María Claramunt, Otilia Mó, Manuel Yáñez, and José Elguero
|
| Vol 49, Issue 1, 1998, pp.157-168, |
| COM-98-S11 |
|
|
| |
 |
|
| Paper |
Stereoselective Synthesis of Antifungal Sulfoximines, Novel Triazoles I
|
Hiroyuki Kawanishi, Hiroshi Morimoto, Takao Nakano, Tadatoshi Miyajima, Kuniyuki Oda, Katsuo Takeda, Shigeru Yano, Naomitsu Hirano, and Kenji Tsujihara*
|
| Vol 49, Issue 1, 1998, pp.169-180, |
| COM-98-S13 |
|
|
| |
 |
|
| Paper |
Stereoselective Synthesis of Antifungal Sulfoximines, Novel Triazoles II
|
Hiroyuki Kawanishi, Hiroshi Morimoto, Takao Nakano, Tatsuya Watanabe, Kuniyuki Oda, and Kenji Tsujihara*
|
| Vol 49, Issue 1, 1998, pp.181-189, |
| COM-98-S14 |
|
|
| |
 |
|
| Paper |
Concise Synthesis of Nitidine by Palladium-assisted Biaryl Coupling Reaction
|
Takashi Harayama* and Kentaro Shibaike
|
| Vol 49, Issue 1, 1998, pp.191-195, |
| COM-98-S15 |
|
|
| |
 |
|
| Paper |
Synthesis of Acetylcholinesterase Inhibitors on the Basis of 9-Isothiocyanato-1,2,3,4-tetrahydroacridine: 2-[(1,2,3,4-Tetrahydroacridin-9-yl)imino]-3-substituted 1,3-Thiazolidin-4-ones
|
Pavlol Kristian,* Slávka Hamul'aková, Juraj Bernát, Ján Imrich, Gundula Voss, and Tatiana Busová
|
| Vol 49, Issue 1, 1998, pp.197-204, |
| COM-98-S16 |
|
|
| |
 |
|
| Paper |
Organozinc Derivatives of Diazines, Metalation of Diazines XXIII
|
Alain Turck, Nelly Plé, Anne Leprêtre-Gaquere, and Guy Quéguiner*
|
| Vol 49, Issue 1, 1998, pp.205-214, |
| COM-98-S17 |
|
|
| |
 |
|
| Paper |
Ring Enlargement of Eight- and Nine-membered Cyclic Sulfonamide Derivatives in Reactions with 3-Amino-2H-azirines
|
Tonya R. Mihova, Anthony Linden, and Heinz Heimgartner*
|
| Vol 49, Issue 1, 1998, pp.215-232, |
| COM-98-S19 |
|
|
| |
 |
|
| Paper |
New Silane Reduction of Aromatic Ketones Mediated by Titanium Tetrachloride: A Synthesis of γ- and δ-Aryl Substituted Amino Acids
|
Michihisa Yato, Koichi Homma, and Akihiko Ishida*
|
| Vol 49, Issue 1, 1998, pp.233-254, |
| COM-98-S20 |
|
|
| |
 |
|
| Paper |
Synthesis of 6-Epoxygeranylgeraniol and Its Application to the Construction of A/B Acyclic Pimarane Type Diterpene
|
Yoshinobu Kashibuchi, Takashi Fukumoto, Minoru Oguchi, Toshifumi Hirukawa, and Tadahiro Kato*
|
| Vol 49, Issue 1, 1998, pp.255-260, |
| COM-98-S22 |
|
|
| |
 |
|
| Paper |
Studies on Novel and Chiral 1,4-Dihydropyridines. VI. Preparation of a Polymer-supported 1,4-Dihydropyridine Having a Chiral Sulfinyl Group and Its Application to Biomimetic Reduction
|
Satoshi Obika, Toshihiko Nishiyama, Satoshi Tatematsu, Masahiro Nishimoto, Kazuyuki Miyashita, and Takeshi Imanishi*
|
| Vol 49, Issue 1, 1998, pp.261-267, |
| COM-98-S23 |
|
|
| |
 |
|
| Paper |
Clavulazine, a New Marine Pyrazine Congener from the Okinawan Soft Coral Clavularia viridis
|
Kinzo Watanabe, Kazuo Iguchi,* and Ken Fujimori
|
| Vol 49, Issue 1, 1998, pp.269-274, |
| COM-98-S26 |
|
|
| |
 |
|
| Paper |
Conformational Preference of Two Toad Poison Bufadienolides, Bufarenogin and ψ-Bufarenogin
|
Yoshiaki Kamano,* Ayano Kotake, Rui Takano, Hiroshi Morita, Koichi Takeya, and Hideji Itokawa
|
| Vol 49, Issue 1, 1998, pp.275-279, |
| COM-98-S28 |
|
|
| |
 |
|
| Paper |
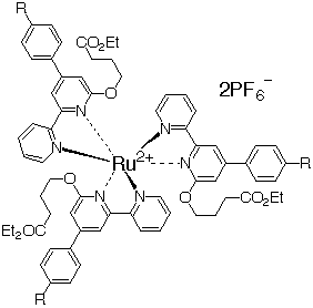
Synthesis of 2,2'-Bipyridines Bearing Amino or Carboxyl Group at the Side Chain and Physical Properties of Their Ruthenium(II) Complexes
|
Akira Katoh,* Yoshihiro Kitamura, Hideyuki Fujii, Yumi Horie, Tetsuji Satoh, Junko Ohkanda, and Yoshinobu Yokomori
|
| Vol 49, Issue 1, 1998, pp.281-296, |
| COM-98-S31 |
|
|
| |
 |
|
| Paper |
A Facile and Convenient Synthetic Method for Fluorine-containing Naphtho[1,2-e][1,4]diazepines, Naphtho[1,2-e][1,4]dithiepins and Naphtho[1,2-e][1,4]dioxepins
|
Etsuji Okada,* Norikado Tsukushi, Nobukazu Kunihiro, and Yoshitsugu Tomo
|
| Vol 49, Issue 1, 1998, pp.297-303, |
| COM-98-S33 |
|
|
| |
 |
|
| Paper |
Intramolecular 1,5-Hydrogen Atom Transfer Radical Reaction of Pyrrolidine Derivatives
|
Miyuki Ishizaki, Hideaki Takano, and Osamu Hoshino*
|
| Vol 49, Issue 1, 1998, pp.305-314, |
| COM-98-S34 |
|
|
| |
 |
|
| Paper |
Chemical Conversion of Labdane-Type Diterpenoid Isolated from the Liverwort Porella perrottetiana into (-)-Ambrox
|
Toshihiro Hashimoto, Kousuke Shiki, Masami Tanaka, Shigeru Takaoka, and Yoshinori Asakawa*
|
| Vol 49, Issue 1, 1998, pp.315-325, |
| COM-98-S39 |
|
|
| |
 |
|
| Paper |
Alkaloids of Some Mongolian Ranunculaceae Species: Detailed 1H- and 13C-NMR Studies of Denudatine and Lepenine
|
Dulamjav Batsuren, Jigjidsuren Tunsag, Nyamdari Batbaiar, Ali M. Mericli, Filiz Mericili, Quincy Teng, Haridutt K. Desai, Balawant S. Joshi, and S. William Pelletier*
|
| Vol 49, Issue 1, 1998, pp.327-341, |
| COM-98-S40 |
|
|
| |
 |
|
| Paper |
The Highly Stereocontrolled Radical-based Addition of a 2,2-Dichloroacyl Function to a 2-Oxazolone Heterocycle. A New Approach to MeBmt, the Key Component of Cyclosporin
|
Hirofumi Matsunaga, Hiroyoshi Ohta, Tadao Ishizuka, and Takehisa Kunieda*
|
| Vol 49, Issue 1, 1998, pp.343-354, |
| COM-98-S42 |
|
|
| |
 |
|
| Paper |
Noelaquinone, a New Hexacyclic Triazine Quinone from an Indonesian Xestospongia Sp.
|
Ye Zhu, Wesely Y. Yoshida, Michelle Kelly-Borges, and Paul J. Scheuer*
|
| Vol 49, Issue 1, 1998, pp.355-360, |
| COM-98-S43 |
|
|
| |
 |
|
| Paper |
Regioselective Metalation of γ-Carbolines
|
Cyril Papamicaël, Georges Dupas,* Guy Quéguiner, and Jean Bourguignon
|
| Vol 49, Issue 1, 1998, pp.361-373, |
| COM-98-S45 |
|
|
| |
 |
|
| Paper |
The Structure and Antimalarial Activity of Some cis-Fused Bicyclic 1,2,4-Trioxane Derivatives
|
Charles W. Jefford,* Danielle Jaggi, Shigeo Kohmoto, Géza Timári, Gérald Bernardinelli, Craig J. Canfield, and Wilbur K. Milhous
|
| Vol 49, Issue 1, 1998, pp.375-383, |
| COM-98-S49 |
|
|
| |
 |
|
| Paper |
Mercurophilic Property of 23-Dicyanomethylene-5,8,11,14,17-pentaoxa-2,20-dithiabicyclo[19.4.1]hexacosa-1(26),21,24-triene
|
Kanji Kubo, Akira Mori,* Nobuo Kato, and Hitoshi Takeshita
|
| Vol 49, Issue 1, 1998, pp.385-392, |
| COM-98-S50 |
|
|
| |
 |
|
| Paper |
Iron Chelators of the Pyridoxal-based Class. Part 7. The Synthesis and Single Crystal Structure of 1-(N-Ethoxy-carbonylmethylpyridoxyledenium)-2-(pyrimidyl)hydrazine Salts
|
Shalom Sarel,* Shelly Avramovici-Grisaru, and Shmuel Cohen
|
| Vol 49, Issue 1, 1998, pp.393-404, |
| COM-98-S51 |
|
|
| |
 |
|
| Paper |
Synthesis of 2-Aroylquinoxalines, 1-Aroylphthalazines, and 4-Aroylcinnolines; an Aroylation Method Using Arenecarbaldehydes Catalyzed by Azolium Salt
|
Akira Miyashita,* Yumiko Suzuki, Ken-ichi Iwamoto, Etsuo Oishi, and Takeo Higashino
|
| Vol 49, Issue 1, 1998, pp.405-413, |
| COM-98-S54 |
|
|
| |
 |
|
| Paper |
Site Specificity in 1,3-Dipolar Cycloadditions to a Polycyclic Polyene Induced by Complexation with Tricarbonyliron
|
Mauro Freccero, Remo Gandolfi,* and Mirko Sarzi-Amade'
|
| Vol 49, Issue 1, 1998, pp.415-426, |
| COM-98-S58 |
|
|
| |
 |
|
| Paper |
The Isolation and Structure of the Novel cis-Fused Indolizidine 249H from Frog Skin: cis- vs. trans-Fused Indolizidines Distinguished by NMR
|
Takashi Tokuyama, Atsushi Shimada, H. Martin Garraffo, Thomas F. Spande, and John W. Daly*
|
| Vol 49, Issue 1, 1998, pp.427-436, |
| COM-98-S61 |
|
|
| |
 |
|
| Note |
Syntheses and Biological Evaluation of (±)-3a-Phenyl Congeners of Physostigmine and Phenserine
|
Xue-Feng Pei, Nigel H. Greig,* and Arnold Brossi
|
| Vol 49, Issue 1, 1998, pp.437-444, |
| COM-97-S1 |
|
|
| |
 |
|
| Note |
Preparation of (±)-Hirsutine and (±)-3-Isocorynantheidine
|
Mauri Lounasmaa,* Reija Jokela, Christiane Laine, and Pirjo Hanhinen
|
| Vol 49, Issue 1, 1998, pp.445-450, |
| COM-98-S9 |
|
|
| |
 |
|
| Note |
A Five-Step Synthesis of Psilocin from Indole-3-carbaldehyde
|
Fumio Yamada, Mayumi Tamura, and Masanori Somei*
|
| Vol 49, Issue 1, 1998, pp.451-457, |
| COM-98-S18 |
|
|
| |
 |
|
| Note |
A Convenient Preparation of α-Keto Esters by the Grignard Reaction on N-Acylpyrazoles
|
Choji Kashima,* Yoshie Shirahata, and Yoshihiro Tsukamoto
|
| Vol 49, Issue 1, 1998, pp.459-464, |
| COM-98-S24 |
|
|
| |
 |
|
| Note |
A New Cleavable Carbene-generating Reagent with 3-Phenyl-3-trifluoromethyldiazirine Photophore
|
Uwe Kempin, Yuichi Kanaoka, and Yasumaru Hatanaka*
|
| Vol 49, Issue 1, 1998, pp.465-468, |
| COM-98-S25 |
|
|
| |
 |
|
| Note |
Difference in Guest Binding Capability between Cyclodextrins Having an Acetylamino Moiety at Primary- and Secondary-Hydroxyl Sides: The Effect of Ring Distortion
|
Iwao Suzuki,* Yoshinobu Sakurai, Koki Obata, Tetsuo Osa, and Jun-ichi Anzai
|
| Vol 49, Issue 1, 1998, pp.469-474, |
| COM-98-S30 |
|
|
| |
 |
|
| Note |
Reduction of Uracil Derivatives with an NADH Model, 1-Benzyl-1,4-dihydronicotinamide
|
Kosaku Hirota,* Keiko Kubo, Yukio Kitade, and Hironao Sajiki
|
| Vol 49, Issue 1, 1998, pp.475-479, |
| COM-98-S53 |
|
|
| |
 |
|
| Note |
Acetylcholinesterase Inhibiting Triterpenoidal Alkaloids from Buxus hyrcana
|
Atta-ur-Rahman,* Shehnaz Parveen, Asaad Khalid, Afgan Farooq, S. A. Majid Ayatollahi, and M. Iqbal Choudhary*
|
| Vol 49, Issue 1, 1998, pp.481-488, |
| COM-98-S55 |
|
|
| |
 |
|
| Note |
Synthesis and Biological Evaluation of 14-Alkoxymorphinans. 16. 14-O-Alkyl Derivatives of the μ-Opioid Receptor Antagonist Cyprodime
|
Helmut Schmidhammer,* Roland Krassnig, Elisabeth Greiner, and John R. Traynor*
|
| Vol 49, Issue 1, 1998, pp.489-497, |
| COM-98-S60 |
|
|
| |
 |
|
| Review |
Pictet-Spengler Reactions of Nb-Hydroxytryptamines and Their Application to the Synthesis of Eudistomins
|
Tohru Hino and Masako Nakagawa*
|
| Vol 49, Issue 1, 1998, pp.499-530, |
| REV-98-SR1 |
|
|
| |
 |
|
| Review |
Survey of Oxygenated 2,11-Cyclized Cembranoids of Marine Origin
|
Patrick Bernardelli and Leo A. Paquette*
|
| Vol 49, Issue 1, 1998, pp.531-556, |
| REV-98-SR2 |
|
|
| |
 |
|
| Review |
Synthesis of 1,3,4-Thiadiazines and 1,3,4-Oxadiazines
|
Ho Sik Kim* and Yoshihisa Kurasawa*
|
| Vol 49, Issue 1, 1998, pp.557-586, |
| REV-98-SR3 |
|
|
| |
 |
|
| Review |
Stable Heterocyclic Five-membered Azomethine Imines: Azolium N-Imides, Triazolidinium and Pyrazolidinium Ylides
|
Ludmila L. Rodina,* Arne Kolberg, and Bärbel Schulze
|
| Vol 49, Issue 1, 1998, pp.587-618, |
| REV-98-SR4 |
|
|
| |
 |
|
| 68 data found. 1 - 68 listed |
|
|
|
|