| 229 data found. 1 - 229 listed |
|
|
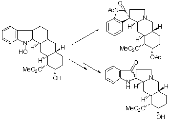
| Communication |
Synthesis of Apicidin
|
Wataru Kuriyama and Takeshi Kitahara*
|
| Vol 55, Issue 1, 2001, pp.1-4, |
| COM-00-9014 |
|
|
| |
 |
|
| Communication |
Base-promoted Rearrangement of N-Tosyl-2,3-exo-aziridino[2,3]norbornane
|
Odón Arjona, Roberto Menchaca, and Joaquín Plumet*
|
| Vol 55, Issue 1, 2001, pp.5-7, |
| COM-00-9053 |
|
|
| |
 |
|
| Communication |
Stereoselectivity in the Darzens Condensation of Substituted Cyclohexanones with (-)-8-Phenylmenthyl α-Chloroacetate
|
Yoshihiro Shinohara, Yuko Ohba, Ryukichi Takagi, Satoshi Kojima, and Katsuo Ohkata*
|
| Vol 55, Issue 1, 2001, pp.9-12, |
| COM-00-9058 |
|
|
| |
 |
|
| Communication |
Absolute Structures of 3-Hydroxy-2-prenylflavanones with an Ether Linkage between the 2’- and 3-Positions from Moraceous Plants
|
Ya-Qin Shi, Toshio Fukai, Masaru Ochiai, and Taro Nomura*
|
| Vol 55, Issue 1, 2001, pp.13-20, |
| COM-00-9078 |
|
|
| |
 |
|
| Communication |
13C NMR Spectral Assignment of 5-Hydroxy-1,5-imino-3-benzazocin-4,7,10-trione Derivatives: The Revised Structure of Renieramycin H
|
Naoki Saito,* Haruyuki Sakai, Khanit Suwanborirux, Sunibhond Pummangura, and Akinori Kubo*
|
| Vol 55, Issue 1, 2001, pp.21-28, |
| COM-00-9084 |
|
|
| |
 |
|
| Communication |
Tetrameric and Pentameric Ellagitannins from Monochaetum multiflorum
|
José H. Isaza M., Hideyuki Ito, and Takashi Yoshida*
|
| Vol 55, Issue 1, 2001, pp.29-32, |
| COM-00-9088 |
|
|
| |
 |
|
| Communication |
Synthesis of 2,2’-Biquinolines from o-Isocyanostyrenes
|
Kazuhiro Kobayashi,* Junpei Yonemori, Akihiro Matsunaga, Taichi Kitamura, Miyuki Tanmatsu, Osamu Morikawa, and Hisatoshi Konishi
|
| Vol 55, Issue 1, 2001, pp.33-36, |
| COM-00-9095 |
|
|
| |
 |
|
| Communication |
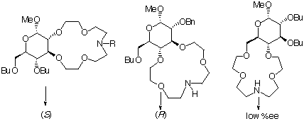
Synthesis of Chiral Azacrown Ethers Derived from α-D-Glucose and Their Catalytic Properties on the Asymmetric Michael Addition
|
Toshiyuki Itoh* and Shohei Shirakami
|
| Vol 55, Issue 1, 2001, pp.37-43, |
| COM-00-9098 |
|
|
| |
 |
|
| Paper |
Preparation of New Imidacloprid Analogues
|
Lajos Novák,* Gábor Hornyánszky, Imre Király, János Rohály, Pál Kolonits, and Csaba Szántay
|
| Vol 55, Issue 1, 2001, pp.45-58, |
| COM-00-9016 |
|
|
| |
 |
|
| Paper |
Thermal Pathways for the Transfer of Amines, Including Nicotine, to the Gas Phase and Aerosols
|
Jay A Fournier,* John B. Paine III, Jeffrey I. Seeman,* Daniel W. Armstrong,*
and Xianghong Chen
|
| Vol 55, Issue 1, 2001, pp.59-74, |
| COM-00-9025 |
|
|
| |
 |
|
| Paper |
A Modified Procedure for the Synthesis of 5-Amino-3-arylisoxazoles and Their Reactions with Tetrasulfur Tetranitride Antimony(V) Chloride Complex (S4N4ÅESbCl5) : Novel Synthesis of 3-Aryl-1,2,5-thiadiazole-4-carboxamides
|
Yung Cheol Kong, Kyongtae Kim,* and Yung Ja Park
|
| Vol 55, Issue 1, 2001, pp.75-89, |
| COM-00-9042 |
|
|
| |
 |
|
| Paper |
Synthesis of a 2,3-Dimethoxyrotenonoid
|
Karla-Sue C. Marriott, Mario Anderson, and Yvette A. Jackson*
|
| Vol 55, Issue 1, 2001, pp.91-98, |
| COM-00-9062 |
|
|
| |
 |
|
| Paper |
Reactions with N-Chlorosuccinimide of Various 5-Methylimidazo[1,2-a]pyridine Derivatives with an Electron-withdrawing Group Substituted at the 3-Position
|
Tomomi Ikemoto* and Mitsuhiro Wakimasu
|
| Vol 55, Issue 1, 2001, pp.99-108, |
| COM-00-9063 |
|
|
| |
 |
|
| Paper |
Microwave-assisted Cyclocondesation under Solvent-free Conditions: Quinoxaline-2,3-dione
|
Ester Vázquez, Antonio de la Hoz, Nils Elander, Andrés Moreno, and Sharone Stone-Elander*
|
| Vol 55, Issue 1, 2001, pp.109-113, |
| COM-00-9067 |
|
|
| |
 |
|
| Paper |
Synthesis and Transformations of Pyrido[4,3-d]pyrimidines with N-Heterocycles Moieties
|
A. Z. M. Shaifullah Chowdhury* and Yasuyuki Shibata
|
| Vol 55, Issue 1, 2001, pp.115-125, |
| COM-00-9069 |
|
|
| |
 |
|
| Paper |
1H- and 13C-NMR Investigations on σ-Adduct Formation of 1,2,4-Triazine 4-Oxides and 3-Chloro-6-phenyl-1,2,4-triazine with Liquid Ammonia and Alkylamines
|
Andrzej Rykowski,* Oleg N. Chupakhin, Dmitry N. Kozhevnikov, Valery N.Kozhevnikov, Vladimir L. Rusinov, and Henk C. Van der Plas
|
| Vol 55, Issue 1, 2001, pp.127-133, |
| COM-00-9070 |
|
|
| |
 |
|
| Paper |
Diastereoselective Ring-Expansion Reaction of Methanochromanone with Aldehydes: Formation of trans-Fused Tetrahydrofuro[2,3-b][1]benzopyranones and Their Isomerization
|
Yoshiaki Sugita,* Kazuyoshi Kawai, and Ichiro Yokoe
|
| Vol 55, Issue 1, 2001, pp.135-144, |
| COM-00-9071 |
|
|
| |
 |
|
| Paper |
Synthesis and Characterization of Functionalized Benzopentathiepins
|
Ryu Sato,* Tetsuya Ohyama, Takatomo Kawagoe, Masaru Baba, Shiduko Nakajo, Takeshi Kimura, and Satoshi Ogawa
|
| Vol 55, Issue 1, 2001, pp.145-154, |
| COM-00-9073 |
|
|
| |
 |
|
| Paper |
Reactions of 1,3-Dithiolane-2-thione and 1,3-Dithiole-2-thiones with 4-Phenyl-1,2,4-triazoline-3,5-dione(PTAD)
|
Juzo Nakayama,* Liting Zhao, Yoshiaki Sugihara, and Akihiko Ishii
|
| Vol 55, Issue 1, 2001, pp.155-162, |
| COM-00-9075 |
|
|
| |
 |
|
| Paper |
Fluorenyl Participated Ring Transformation of Urazoles to Triazinanediones
|
Yong Gong,* Mark J. Bausch,* and Linhua Wang
|
| Vol 55, Issue 1, 2001, pp.163-170, |
| COM-00-9087 |
|
|
| |
 |
|
| Paper |
An Unusual Cascade Reaction Yielding ortho-peri-Fused Thienopyridopyrimidines
|
Ulrich Sensfuss and Wolf-Dieter Habicher*
|
| Vol 55, Issue 1, 2001, pp.171-180, |
| COM-00-9090 |
|
|
| |
 |
|
| Review |
Calixarenes Bearing Azaaromatic Moieties
|
Wanda Sliwa
|
| Vol 55, Issue 1, 2001, pp.181-199, |
| REV-00-538 |
|
|
| |
 |
|
| Communication |
Regio- and Diastereoselective Cycloaddition of N-Methyl Nitrones Derived from 3-(Allylamino)propionaldehydes
|
Masayuki Tanaka, Jun Hikata, Hidetoshi Yamamoto, and Michihiko Noguchi*
|
| Vol 55, Issue 2, 2001, pp.223-226, |
| COM-00-9054 |
|
|
| |
 |
|
| Communication |
Indium-mediated Stereospecific Glycosylation of Alcohols
|
Bimal K. Banik,* Susanta Samajdar, Indrani Banik, Oliwia Zegrocka, and Frederick F. Becker
|
| Vol 55, Issue 2, 2001, pp.227-230, |
| COM-00-9100 |
|
|
| |
 |
|
| Communication |
A New Method for Synthesizing a Pyrrole Ring and Its Application to the Development of New π-Systems
|
MinekoTakeda, Shoji Matsumoto, and Katsuyuki Ogura*
|
| Vol 55, Issue 2, 2001, pp.231-235, |
| COM-00-9112 |
|
|
| |
 |
|
| Communication |
Asymmetric Baeyer-Villiger Oxidation of Cyclobutanones Using Diethylzinc/Oxygen/Chiral Amino Alcohols
|
Toshio Shinohara, Shingo Fujioka, and Hiyoshizo Kotsuki*
|
| Vol 55, Issue 2, 2001, pp.237-242, |
| COM-00-9113 |
|
|
| |
 |
|
| Communication |
Cycloaddition of Synthetic Equivalent of Non-stabilized Aminonitrile Ylides: A New Route to Amino-substituted Δ2-Imidazolines and Δ3-1,2,4-Triazolines
|
Otohiko Tsuge,* Taizo Hatta, Hideki Tashiro, and Hironori Maeda
|
| Vol 55, Issue 2, 2001, pp.243-248, |
| COM-00-9121 |
|
|
| |
 |
|
| Communication |
Cycloaddition of New N-Unsubstituted Azomethine Ylides Generated from N-[(Trimethylsilyl)methyl]thiocarbamates, Synthetic Equivalents of Non-stabilized Alkoxy- or Alkylthionitrile Ylides
|
Otohiko Tsuge,* Taizo Hatta, Masanori Shinozuka, and Hideki Tashiro
|
| Vol 55, Issue 2, 2001, pp.249-254, |
| COM-00-9131 |
|
|
| |
 |
|
| Paper |
2-(2-Thienyl)- and 2-Phenylthieno[2,3-b][1,4]thiazines: Synthesis via Suzuki Reaction of the Diphenylphosphates
|
Thomas Erker* and Elisabeth Krainz
|
| Vol 55, Issue 2, 2001, pp.255-264, |
| COM-00-9072 |
|
|
| |
 |
|
| Paper |
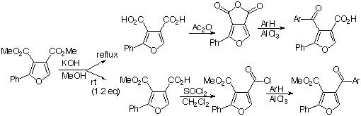
Regioselective Friedel-Crafts Acylation with Unsymmetrically Substituted Furan-dicarboxylic Acid Anhydride and Furan Acid Chloride: Syntheses of 4-Substituted 3-Arylcarbonyl-2-phenylfuran and 3-Substituted 4-Arylcarbonyl-2-phenylfuran
|
Shrong-Shi Lin, Xiao-Ping Nie, Jun-Hua Yu, and Xiu-Lin Ye*
|
| Vol 55, Issue 2, 2001, pp.265-277, |
| COM-00-9079 |
|
|
| |
 |
|
| Paper |
New Approach to Synthesis of N-Substituted 9-Amino/Iminoacridines with Important Fluorescence Properties
|
Pavol Kristian,* Juraj Bernát, Ján Imrich, Erik Sedlák, Juraj Alföldi, and Michal Cornanic
|
| Vol 55, Issue 2, 2001, pp.279-290, |
| COM-00-9081 |
|
|
| |
 |
|
| Paper |
Alkylation of Some Pyrimidine and Purine Derivatives Using Microwave-assisted Methods
|
Hortensia Rodríguez, Rolando Pérez, Margarita Suárez, Anabel Lam, Nilda Cabrales, and André Loupy*
|
| Vol 55, Issue 2, 2001, pp.291-301, |
| COM-00-9083 |
|
|
| |
 |
|
| Paper |
Preparation of Heterocyclic Enamines. Useful Intermediates in the Synthesis of 1,4-Dihydropyridines
|
Graham S. Poindexter,* John D. Catt, Philip A. Sasse, and Michele A. Kercher
|
| Vol 55, Issue 2, 2001, pp.295-305, |
| COM-92-6165 |
|
|
| |
|
| Paper |
Glycosyl-pyrrolo[2,1-c][1,4]benzodiazepine-5,11-diones. Synthesis, Tensioactivity and Anitbacterial Activity
|
Driss Bouhlal, Paul Godé, Gérard Goethals, Mohamed Massoui, Pierre Villa, and Patrick Martin*
|
| Vol 55, Issue 2, 2001, pp.303-312, |
| COM-00-9093 |
|
|
| |
 |
|
| Paper |
Cyclization Reaction of N-Silyl-1-azaallyl Anions with Michael Acceptors as a New Synthetic Method of 2,3,5,6-Tetra- and 2,3,6-Trisubstituted Pyridines
|
Takeo Konakahara,* Naoki Sugama, Asuka Yamada, Akikazu Kakehi, and Norio Sakai
|
| Vol 55, Issue 2, 2001, pp.313-322, |
| COM-00-9096 |
|
|
| |
 |
|
| Paper |
Sulfonamidoacetal Cyclization-based Synthesis of a Tetrahydrooxazaphenalenelactone Related to the ABC-Ring System of the Stephaoxocanes
|
Teodoro S. Kaufman
|
| Vol 55, Issue 2, 2001, pp.323-330, |
| COM-00-9099 |
|
|
| |
 |
|
| Paper |
Scope and Limitations in the Regioselective Synthesis of 1,3,5-Trisubstituted Pyrazoles from β-Amino Enones and Hydrazine Derivatives. 13C-Chemical Shift Prediction Rules for 1,3,5-Trisubstituted Pyrazoles
|
Angel Alberola, Luis Calvo Bleye, Alfonso González-Ortega,* M. Luisa Sádaba, and M. Carmen Sañudo
|
| Vol 55, Issue 2, 2001, pp.331-351, |
| COM-00-9102 |
|
|
| |
 |
|
| Paper |
A Three-Step Synthesis of Optically ActiveÅ@5-Halomethyl-2-oxazolidinones; Asymmetric Desymmetrization of Prochiral 1,3-Dihalo-2-propyl Carbamates
|
Shigeo Sugiyama, Kenji Morishita, and Keitaro Ishii*
|
| Vol 55, Issue 2, 2001, pp.353-364, |
| COM-00-9114 |
|
|
| |
 |
|
| Note |
The Action of Maleic Anhydride toward 4-Methylpyrimidine
|
Ionel I. Mangalagiu,* Geanina C. Mangalagiu, and Magda Ghe. Petrovanu
|
| Vol 55, Issue 2, 2001, pp.365-370, |
| COM-00-9068 |
|
|
| |
 |
|
| Note |
A Synthesis of Bipowine and Bipowinone
|
Somsak Ruchirawat* and Sunthorn Predapitakkun
|
| Vol 55, Issue 2, 2001, pp.371-376, |
| COM-00-9086 |
|
|
| |
 |
|
| Note |
Nitrate Radical Induced Oxidative, Self-terminating Radical Cyclization Cascades: Improvement of Yield Using a Photochemical Radical Source
|
Lars Lietzau and Uta Wille*
|
| Vol 55, Issue 2, 2001, pp.377-380, |
| COM-00-9101 |
|
|
| |
 |
|
| Note |
A Convenient Synthesis of 4-Aminoquinazoline Derivatives
|
Isao Shibuya,* Yasuo Gama, and Masao Shimizu
|
| Vol 55, Issue 2, 2001, pp.381-386, |
| COM-00-9110 |
|
|
| |
 |
|
| Note |
Synthesis of Benzo[de]chromene Analogue of Efaroxan
|
Patrice Mayer,* Sonia Alibert, Pascale Brunel, and Thierry Imbert
|
| Vol 55, Issue 2, 2001, pp.387-392, |
| COM-00-9124 |
|
|
| |
 |
|
| Communication |
Novel Synthesis of Pyrrolo[2,1-a]isoquinoline Using the Reaction of Isoquinolinium Salts with Active Methylene Compounds
|
Reiko Fujita,* Noriyuki Watanabe, and Hiroshi Tomisawa
|
| Vol 55, Issue 3, 2001, pp.435-438, |
| COM-00-9115 |
|
|
| |
 |
|
| Communication |
Unsymmetrical 4,6-Diamino-2-methyl-5-nitropyrimidine Synthesis via 4,6-Bis(tosylates)
|
Gary A. Cain* and James P. Beck
|
| Vol 55, Issue 3, 2001, pp.439-446, |
| COM-00-9126 |
|
|
| |
 |
|
| Communication |
Synthesis of Crownophane Possessing Pyridine Moieties on the Aromatic Nuclei (Pyridine-Lariat Crownophane): A Crownophane Exhibiting Perfect Selectivity toward Ag+
|
Seiichi Inokuma, Koichi Kimura, Takashi Funaki, and Jun Nishimura*
|
| Vol 55, Issue 3, 2001, pp.447-451, |
| COM-00-9128 |
|
|
| |
 |
|
| Communication |
Asymmetric Allylic Alkylation Using Planar Chiral Phosphine-Hydrazone Ligands
|
Takashi Mino,* Teruhiro Ogawa, and Masakazu Yamashita
|
| Vol 55, Issue 3, 2001, pp.453-456, |
| COM-00-9134 |
|
|
| |
 |
|
| Communication |
Nucleophilic Substitution Reaction on the Nitrogen of Indole Nucleus: Formation of 1-(Indol-3-yl)indoles upon Reaction of 1-Hydroxyindoles with Indole in Formic Acid
|
Masanori Somei,* Fumio Yamada, Toshikatsu Hayashi, Aya Goto, and Yoshitomo Saga
|
| Vol 55, Issue 3, 2001, pp.457-460, |
| COM-00-9135 |
|
|
| |
 |
|
| Communication |
A New Sandmeyer Iodination of 2-Aminopurines in Non-aqueous Conditions: Combination of Alkali Metal Iodide and Iodine as Iodine Sources
|
Naoki Ozeki,* Naoyuki Shimomura, andHitoshi Harada
|
| Vol 55, Issue 3, 2001, pp.461-464, |
| COM-00-9142 |
|
|
| |
 |
|
| Communication |
Novel Ring Transformation of Dihydroselenines to Selenabicyclo[3.1.0]hexenes
|
Eiji Honda, Shin-ichi Watanabe, Tatsunori Iwamura, and Tadashi Kataoka*
|
| Vol 55, Issue 3, 2001, pp.465-468, |
| COM-00-9152 |
|
|
| |
 |
|
| Paper |
Synthesis and Cycloaddition Reactions of New Captodative Olefins, N-Substituted 5-Alkylidene-1,3-oxazolidine-2,4-diones
|
Adriana Benavides, Rafael Martínez, Hugo A. Jiménez-Vázquez, Francisco Delgado, and Joaquin Tamariz*
|
| Vol 55, Issue 3, 2001, pp.469-485, |
| COM-00-9094 |
|
|
| |
 |
|
| Paper |
New Spiramines from Spiraea japonica var. ovalifolia
|
Guo Ying Zuo, Hong Ping He, Xin Hong, Wei Ming Zhu, Xiao Sheng Yang, and Xiao Jiang Hao*
|
| Vol 55, Issue 3, 2001, pp.487-493, |
| COM-00-9105 |
|
|
| |
 |
|
| Paper |
Synthesis of Xestomanzamines A and B
|
Brigitte E. A. Burm, Peter Blokker, Edwin Jongmans, Erwin van Kampen, Maritn J. Wanner, and Gerrit-Jan Koomen*
|
| Vol 55, Issue 3, 2001, pp.495-503, |
| COM-00-9107 |
|
|
| |
 |
|
| Paper |
A New Neo-Clerodane Diterpenoid from Salvia gesneraeflora (Labiatae)
|
Baldomero Esquivel* and Eugenio A. Flores
|
| Vol 55, Issue 3, 2001, pp.505-509, |
| COM-00-9108 |
|
|
| |
 |
|
| Paper |
A Study of the Photochemical Isomerization in β-Lactam Rings
|
Roberto Alcázar, Pedro Ramírez, Rubén Vincente, María J. Mancheño, Miguel A. Sierra, and Mar Gómez-Gallego*
|
| Vol 55, Issue 3, 2001, pp.511-521, |
| COM-00-9127 |
|
|
| |
 |
|
| Paper |
Synthesis and Solution Behavior of Water-soluble Bis-porphyrins
|
Hisatsugu Okada,* Hiroyasu Imai, and Yoshio Uemori
|
| Vol 55, Issue 3, 2001, pp.523-533, |
| COM-00-9130 |
|
|
| |
 |
|
| Paper |
A Radical Synthetic Approach to the New Potentially Bioactive Pyrimidinones
|
Serge Djekou, Armand Gellis, José Maldonado, Michel P. Crozet, and Patrice Vanelle*
|
| Vol 55, Issue 3, 2001, pp.535-544, |
| COM-00-9133 |
|
|
| |
 |
|
| Paper |
A Singlet Oxygen Mediated New Access to Hydroxyindolenine-Catharanthine Derivatives by Two Sequential Oxidations
|
Clotilde Ferroud* and Patrice Rool
|
| Vol 55, Issue 3, 2001, pp.545-555, |
| COM-00-9138 |
|
|
| |
 |
|
| Paper |
Five New Oligostilbenes with One or Two Dihydrofurans from the Stem Bark of Vatica rassak
|
Tetsuro Ito, Toshiyuki Tanaka,* Yoshimi Ido, Ken-ichi Nakaya, Munekazu Iinuma, Yoshikazu Takahashi, Hiroshi Naganawa, and Soedarsono Riswan
|
| Vol 55, Issue 3, 2001, pp.557-567, |
| COM-00-9139 |
|
|
| |
 |
|
| Note |
Enantioselective Synthesis of 2- and 3-Benzofuryl β-Amino Alcohols
|
Marek Zaidlewicz,* Aldona Chechlowska, Andrzej Prewysz-Kwinto, and Andrzej Wojtczak
|
| Vol 55, Issue 3, 2001, pp.569-577, |
| COM-00-9143 |
|
|
| |
 |
|
| Note |
Regiospecific Alkylation of 5-Substituted 2-Acylamino-1,3,4-thiadiazoles
|
Nam Sook Cho,* Hye Jeong Hwang, Jin-Gyu Kim, and Il-Hwan Suh
|
| Vol 55, Issue 3, 2001, pp.579-587, |
| COM-00-9147 |
|
|
| |
 |
|
| Note |
Bischler-Napieralski Cyclization of N-[2- (2-Bromo-5-hydroxy-4-methoxyphenyl)ethyl]-N-[(S)-1-phenylethyl]-2-(2-bromo-4,5-dimethoxyphenyl)acetamide Accompanied by Elimination of Chiral Auxiliary
|
Kumiko Miyatani, Mariko Ohno, Kazuyo Tatsumi, Yoshitaka Ohishi,* Jun-ichi Kunitomo, Ikuo Kawasaki, Masayuki Yamashita, and Shunsaku Ohta
|
| Vol 55, Issue 3, 2001, pp.589-595, |
| COM-00-9151 |
|
|
| |
 |
|
| Communication |
On the Synthesis and Reactivity of 1-Benzyl-2-arylquinoline-4-thiones
|
Edmund J. Niedzinski, Matthew R. Lashley, and Michael H. Nantz*
|
| Vol 55, Issue 4, 2001, pp.623-627, |
| COM-01-9153 |
|
|
| |
 |
|
| Communication |
A Convenient in situ Preparation of Triphenylbismuthane (Tropon-2-yl)imide: Reaction with Heterocumulenes and Activated Alcohols
|
Makoto Nitta* and Yuhki Mitsumoto
|
| Vol 55, Issue 4, 2001, pp.629-633, |
| COM-01-9156 |
|
|
| |
 |
|
| Communication |
Synthesis of 4-Aryltetrahydroiso-quinolines: Application to the Synthesis of Cherylline
|
Somsak Ruchirawat,* Sopchok Tontoolarug, and Poolsak Sahakitpichan
|
| Vol 55, Issue 4, 2001, pp.635-640, |
| COM-01-9167 |
|
|
| |
 |
|
| Paper |
Four New Amaryllidaceae Alkaloids from Galanthus gracilis and Galanthus plicatus Subsp. byzantinus
|
Nehir Ünver, Seda Noyan, Belkis Gözler, Takant Gözler, Christa Werner, and Manfred Hesse*
|
| Vol 55, Issue 4, 2001, pp.641-652, |
| COM-00-9132 |
|
|
| |
 |
|
| Paper |
An Efficient Method of Synthesizing Optically Pure N-Boc-4-bromo-N-methyl-1-tosyl-D-tryptophan Methyl Ester, a Key Intermediate in the Synthesis of Optically Active Ergot Alkaloids
|
Yuusaku Yokoyama,* Kumi Osanai, Masaharu Mitsuhashi, Kazuhiro Kondo, and Yasuoki Murakami*
|
| Vol 55, Issue 4, 2001, pp.653-659, |
| COM-00-9137 |
|
|
| |
 |
|
| Paper |
Regioselective Formation of Novel Functionalized 1-Aza-9-oxafluorenes
|
Andreas Hilgeroth,* Kristin Brachwitz, and Ute Baumeister
|
| Vol 55, Issue 4, 2001, pp.661-669, |
| COM-00-9141 |
|
|
| |
 |
|
| Paper |
Novel Approaches to Optically Active Substituted 4,5-Dihydro-1,2,4-triazin-6(1H)-ones as Conformationally Constrained Peptidomimetics
|
Laurènt Saniere, Martine Schmitt, Nadia Pellegrini, and Jean-Jacques Bourguignon*
|
| Vol 55, Issue 4, 2001, pp.671-688, |
| COM-00-9145 |
|
|
| |
 |
|
| Paper |
Synthesis of 2-Phenyloxazole Derivatives Containing Amino Acids as Insulin Sensitivity Enhancers for Treatment of Type II Diabetes
|
Margaret M. Faul,* Leonard L. Winneroski, Jeremy S. York, Matt R. Reinhard, Richard C. Hoying, William H. Gritton, and Samuel J. Dominianni
|
| Vol 55, Issue 4, 2001, pp.689-704, |
| COM-00-9148 |
|
|
| |
 |
|
| Paper |
Reactions of Alkyl (Z)-2-[(E)-2-Cyano-2-(2-pyridinyl)ethenyl]amino-3-dimethylaminopropenoates with C- and N-Nucleophiles. The Synthesis of Fused 2H,5H-Pyran-2,5-diones, 4H-Pyrimidin-4-ones, and 1-Heteroaryl-1H-imidazole-4-carboxylates
|
Lucija Jukic, Jurij Svete,* and Branko Stanovnik*
|
| Vol 55, Issue 4, 2001, pp.705-727, |
| COM-00-9150 |
|
|
| |
 |
|
| Paper |
Six New Heterocyclic Stilbene Oligomers from Stem Bark of Shorea hemsleyana
|
Toshiyuki Tanaka,* Tetsuro Ito, Ken-ichi Nakaya, Munekazu Iinuma, Yoshikazu Takahashi, Hiroshi Naganawa, and Soedarsono Riswan
|
| Vol 55, Issue 4, 2001, pp.729-740, |
| COM-01-9166 |
|
|
| |
 |
|
| Paper |
Polycyclic N-Heterocyclic Compounds. 57 Syntheses of Fused Furo(or Thieno)[2,3-b]pyridine Derivatives via Smiles Rearrangement and Cyclization
|
Takashi Hirota,* Kei-ichiroh Tomita, Kenji Sasaki, Kensuke Okuda, Masahiko Yoshida, and Setsuo Kashino
|
| Vol 55, Issue 4, 2001, pp.741-752, |
| COM-01-9168 |
|
|
| |
 |
|
| Note |
A Facile Synthesis and Chemical Properties of 3,4-Dihydro-2H-1,5,2-benzo[f]dithiazepin-3-ones with Potential Anticancer Activity
|
Elzbieta Pomarnacka,* Anita Kornicka, and Franciszek Saczewski
|
| Vol 55, Issue 4, 2001, pp.753-761, |
| COM-00-9104 |
|
|
| |
 |
|
| Note |
Unprecedented Rearrangement Reaction of Nitrile Oxides and a Sterically Congested 4-Ylidene-5-isoxazolone
|
Francesco Foti,* Giovanni Grassi, Francesco Risitano, Giuseppe Bruno, and Francesco Nicolo
|
| Vol 55, Issue 4, 2001, pp.763-768, |
| COM-00-9106 |
|
|
| |
 |
|
| Note |
Daphsaifnin, a Dimeric Coumairn Glucoside From Daphne oleoides
|
Muhammad Riaz and Abdul Malik*
|
| Vol 55, Issue 4, 2001, pp.769-773, |
| COM-00-9111 |
|
|
| |
 |
|
| Note |
Two Tricyclic Adducts from Consecutive Additions of Dimethyl Acetylene-dicarboxylate to 2,4-Di-t-butyl-3a,5a-dihydro-3H-cyclobuta[b]pyrrole: A Novel Formation of Cyclobuta[1’,2’-f]pyrrolo[1,2-b]oxazine Derivative
|
Shizuka Takami, Kyosuke Satake, and Masaru Kimura*
|
| Vol 55, Issue 4, 2001, pp.775-780, |
| COM-00-9140 |
|
|
| |
 |
|
| Note |
A Concise Synthesis of (-)-endo-Brevicomin
|
John K. Gallos,* Loukia C. Kyradjoglou, and Theocharis V. Koftis
|
| Vol 55, Issue 4, 2001, pp.781-784, |
| COM-01-9161 |
|
|
| |
 |
|
| Communication |
Effect of Copper(II) Triflate on Intramolecular Diels-Alder Reaction of Oxazole-Olefins
|
Masashi Ohba* and Rie Izuta
|
| Vol 55, Issue 5, 2001, pp.823-826, |
| COM-01-9159 |
|
|
| |
 |
|
| Communication |
Mesomeric Betainium Salts. Synthesis, X-Ray Analysis, and ESIMS Studies of Tripolar Pyrimidin-4-olates and Pyrimidin-4-aminides
|
Andreas Schmidt* and Martin Nieger
|
| Vol 55, Issue 5, 2001, pp.827-834, |
| COM-01-9164 |
|
|
| |
 |
|
| Communication |
Convenient Syntheses of Fragment B and Linear Main Skeleton [Fragment A-B-C’] Derivatives of an Antibiotic, GE 2270 A
|
Taishi Suzuki, Atsushi Nagasaki, Kazuo Okumura, and Chung-gi Shin*
|
| Vol 55, Issue 5, 2001, pp.835-840, |
| COM-01-9172 |
|
|
| |
 |
|
| Communication |
Inhibitors of Nitric Oxide Production and New Sesquiterpenes, 4-epi-Curcumenol, Neocurcumenol, Gajutsulactones A and B, and Zedoarolides A and B from Zedoariae Rhizoma
|
Hisashi Matsuda, Toshio Morikawa, Iwao Toguchida, Kiyofumi Ninomiya, and Masayuki Yoshikawa*
|
| Vol 55, Issue 5, 2001, pp.841-846, |
| COM-01-9178 |
|
|
| |
 |
|
| Communication |
Thermodynamically Controlled Deracemization of 2-Alkylcycloalkanones Utilizing Host-Guest Inclusion Complexation
|
Hiroto Kaku, Shinobu Ozako, Shiho Kawamura, Shinobu Takatsu, Masayuki Ishii, and Tetsuto Tsunoda*
|
| Vol 55, Issue 5, 2001, pp.847-850, |
| COM-01-9179 |
|
|
| |
 |
|
| Communication |
The First Synthesis and Characterization of Bisbenzotrithiole Containing Two Benzotrithioles Linked by an Alkanedioxy Spacer
|
Ryu Sato,* Yoshiyuki Utsumi, Shiduko Nakajo, Satoshi Ogawa, and Yasushi Kawai
|
| Vol 55, Issue 5, 2001, pp.851-854, |
| COM-01-9185 |
|
|
| |
 |
|
| Communication |
Synthesis of Trisubstituted 4-Oxepanones by the Lewis Acid-promoted Three-Component Ring-Expansion Reaction of Cyclopropapyranones, Silyl Enolates and Glyoxylates
|
Yoshiaki Sugita,* Chikasa Kimura, and Ichiro Yokoe
|
| Vol 55, Issue 5, 2001, pp.855-859, |
| COM-01-9192 |
|
|
| |
 |
|
| Paper |
Simple Synthesis of (±)-Epibatidine
|
Balaram Roy, Hidenori Watanabe, and Takeshi Kitahara*
|
| Vol 55, Issue 5, 2001, pp.861-871, |
| COM-00-9080 |
|
|
| |
 |
|
| Paper |
Synthesis of Vinca Alkaloids and Related Compounds 95. Attempted Build-up of the Aspidospermidine Skelton by [4+2] Cycloaddition. Some Unexpected Reactions, and Formation of a New Ring System
|
István Vágó, György Kalaus,* István Greiner, Mária Kajtár-Peredy, János Brlik, Lajos Szabó, and Csaba Szántay*
|
| Vol 55, Issue 5, 2001, pp.873-880, |
| COM-00-9146 |
|
|
| |
 |
|
| Paper |
Reaction of 3-Iodochromone with Nucleophiles 3. Formation of 2-Aminomethylene-3(2H)-benzofuranones by the Reaction with Secondary Amines
|
Yoshiaki Sugita,* Takako Iwaki, Misaki Okamoto, and Ichiro Yokoe*
|
| Vol 55, Issue 5, 2001, pp.881-888, |
| COM-01-9169 |
|
|
| |
 |
|
| Paper |
Synthesis of cis- or trans-2,4-Disubstituted Tetrahydrofurans Bearing Amino and Imidazole Groups by Efficient Use of the Modified or Standard Mitsunobu Cyclization: Synthetic Studies toward Novel Histamine H3-Ligands
|
Lisa Araki, Shinya Harusawa, Ikuno Ijichi, Hirofumi Ohishi, and Takushi Kurihara*
|
| Vol 55, Issue 5, 2001, pp.889-903, |
| COM-01-9171 |
|
|
| |
 |
|
| Paper |
2,4,6-Tris(azol-1-yl)-1,3,5-triazines: A New Class of Multidentate Ligands
|
Viktor Milata, Rosa María Claramunt,* Pilar Cabildo, María Dolores Santa María, Pilar Cornago, Lourdes Infantes, Felix H. Cano, and Jose Elguero
|
| Vol 55, Issue 5, 2001, pp.905-924, |
| COM-01-9173 |
|
|
| |
 |
|
| Paper |
A Straightforward Synthesis of Pyridopyrazino[2,3-b]indoles and Indolo[2,3-b]quinoxaline
|
France-Aimée Alphonse, Sylvain Routier, Gérard Coudert, Jean-Yves Mérour*
|
| Vol 55, Issue 5, 2001, pp.925-940, |
| COM-01-9181 |
|
|
| |
 |
|
| Note |
Diastereoselective Synthesis of 1-Aza-spiro[5.5]undecane Skeleton
|
Marc David, Hamid Dhimane, Corinne Vanucci-Bacqué, and Gérard Lhommet*
|
| Vol 55, Issue 5, 2001, pp.941-949, |
| COM-01-9160 |
|
|
| |
 |
|
| Note |
A General Large Scale Synthesis of 2-Alkyl-7-methoxyindoles
|
Bang-Chi Chen,* John Hynes, Jr., Chennagiri R. Pandit, Rulin Zhao, Amanda P. Skoumbourdis, Hong Wu, Joseph E. Sundeen, and Katerina Leftheris*
|
| Vol 55, Issue 5, 2001, pp.951-960, |
| COM-01-9162 |
|
|
| |
 |
|
| Note |
Mechanistic Studies on Racemization of Chiral 2-Arylthiazolidinons
|
Tatsuya Kato* and Tomokazu Ozaki
|
| Vol 55, Issue 5, 2001, pp.961-966, |
| COM-01-9175 |
|
|
| |
 |
|
| Note |
An Efficient Synthesis of 4,6-Dimethoxyaurones
|
Chantal Beney, Anne-Marie Mariotte, and Ahcene Boumendjel*
|
| Vol 55, Issue 5, 2001, pp.967-972, |
| COM-01-9182 |
|
|
| |
 |
|
| Note |
Synthesis of 4-(1-Dialkylaminoalkyl)pyrrolo[1,2-a]quinoxalines
|
Kazuhiro Kobayashi,* Takashi Matsumoto, Susumu Irisawa, Keiichi Yoneda, Osamu Morikawa, and Hisatoshi Konishi
|
| Vol 55, Issue 5, 2001, pp.973-980, |
| COM-01-9186 |
|
|
| |
 |
|
| Communication |
Acid-catalyzed Photorearrangement of the Bond-switching Isomer of a Pentamethylcyclooctapyrimidine-2,4-dione
|
Kazue Ohkura, Ken-ichi Nishijima, Shun Uchiyama, Akiyo Sakushima, and Koh-ichi Seki*
|
| Vol 55, Issue 6, 2001, pp.1015-1018, |
| COM-01-9195 |
|
|
| |
 |
|
| Communication |
Montmorillonite KSF-Mediated Facile Synthesis of Pyrroles
|
Susanta Samajdar, Frederick F. Becker, and Bimal K. Banik*
|
| Vol 55, Issue 6, 2001, pp.1019-1022, |
| COM-01-9211 |
|
|
| |
 |
|
| Communication |
Combinatorial Synthesis of Nikkomycin Analogues on Solid Support
|
Atsushi Suda, Atsunori Ohta, Masayuki Sudoh, Takuo Tsukuda,* and Nobuo Shimma
|
| Vol 55, Issue 6, 2001, pp.1023-1028, |
| COM-01-9222 |
|
|
| |
 |
|
| Paper |
A Formal Synthesis of (±)-Eseroline via an Azaoxy-Cope Rearrangement
|
Paulo F. Santos, Paulo S. Almeida, Ana M. Lobo,* and Sundaresan Prabhakar*
|
| Vol 55, Issue 6, 2001, pp.1029-1043, |
| COM-01-9177 |
|
|
| |
 |
|
| Paper |
Semisynthetic Dimers of Antiparkinsonic Ergot Alkaloids
|
Vladimír Kren,* Lenka Weignerová, Marek Kuzma, Alexandr Jegorov, and Petr Sedmera
|
| Vol 55, Issue 6, 2001, pp.1045-1056, |
| COM-01-9180 |
|
|
| |
 |
|
| Paper |
Oxidation of 2-Amino-2’-hydroxybenzophenone N-Acylhydrazones: Synthesis of 6-Substituted Dibenzazepin-11-ones
|
Antigoni Kotali,* Efthymia Lazaridou, Vassilios P. Papageorgiou, and Philip A. Harris
|
| Vol 55, Issue 6, 2001, pp.1057-1062, |
| COM-01-9183 |
|
|
| |
 |
|
| Paper |
Palladium Catalyzed Carbonylative Cross-Coupling Reaction of Indolylborates with Prop-2-ynyl Carbonates
|
Minoru Ishikura,* Harue Uchiyama, and Noriyuki Matsuzaki
|
| Vol 55, Issue 6, 2001, pp.1063-1070, |
| COM-01-9188 |
|
|
| |
 |
|
| Paper |
Electrochemistry of Aminoazines and Nitrones: Electrochemical Reductions of 2-Amino-1,4-pyrazine with Nitrones to Form Amide Compounds and Electrochemical Oxidations of Anilines with Nitrones to Form Imine Compounds and Benzaldehydes
|
Katsuhiro Saito,* Ayako Kawamura, Takashi Kanie, Yosuke Ueda, and Satoru Kondo
|
| Vol 55, Issue 6, 2001, pp.1071-1080, |
| COM-01-9191 |
|
|
| |
 |
|
| Paper |
Synthetic Approaches to 4,8-Dimethyl-4’-(N-pyridinium-methyl)-4’,5’-dihydropsoralens and Their Activity against PAM 212 Keratinocytes
|
Marilyn Whittemore, Ned Heindel,* Christophe Guillon, Thomas McNeel, Robert Rapp, Thomas Mariano, Diane Heck, and Jeffrey Laskin
|
| Vol 55, Issue 6, 2001, pp.1081-1093, |
| COM-01-9197 |
|
|
| |
 |
|
| Paper |
Studies toward Unique Mycolactone Macrolides from Mycobacterium ulcerans
|
Mukund K. Gurjar* and Joseph Cherian
|
| Vol 55, Issue 6, 2001, pp.1095-1103, |
| COM-01-9199 |
|
|
| |
 |
|
| Paper |
New Synthetic Approach to Pyridazino[4,5-b]indoles by Pd(0)-catalyzed Cross-Coupling Reaction
|
Gábor Krajsovszky, Péter Mátyus, Zsuzsanna Riedl, Dorottya Csányi, and György Hajós
|
| Vol 55, Issue 6, 2001, pp.1105-1111, |
| COM-01-9200 |
|
|
| |
 |
|
| Paper |
Reductive Amination of 1-[3-(2- Alkylbenzofuranyl)]-2-phenylethanones. Synthesis of 1-[3- (2-Alkylbenzofuranyl)]-2-phenylethylamines
|
Halina Kwiecién* and Irena Bogdanska
|
| Vol 55, Issue 6, 2001, pp.1113-1119, |
| COM-01-9201 |
|
|
| |
 |
|
| Note |
A New 12a-Hydroxyelliptone from the Stems of Derris malaccensis
|
Nopporn Thasana, Mayuree Chuankamnerdkarn, and Somsak Ruchirawat*
|
| Vol 55, Issue 6, 2001, pp.1121-1125, |
| COM-01-9184 |
|
|
| |
 |
|
| Note |
Tandem Cyclization of Phytosphingosine
|
Su Yeon Jo, Hyoung Cheul Kim, Dong Ju Jeon, and Hyoung Rae Kim*
|
| Vol 55, Issue 6, 2001, pp.1127-1132, |
| COM-01-9187 |
|
|
| |
 |
|
| Note |
13C-NMR as Useful Tool for Unambiguous Identification of Ring Substituted N1(2)(3)-Alkylbenzotriazole Isomers
|
Antonio Carta,* Paolo Sanna, Giuseppe Paglietti, and Fabio Sparatore
|
| Vol 55, Issue 6, 2001, pp.1133-1140, |
| COM-01-9189 |
|
|
| |
 |
|
| Note |
A New Neoclerodane Diterpenoid from Scutellaria hematochlora
|
Yoshio Takeda,* Satomi Tateoka, Toshiya Masuda, Hideaki Otsuka, Gisho Honda, Yoshihisa Takaishi, Michiho Ito, Olimjon K. Khodzhimatov, and Ozodbek A. Ashurmetov
|
| Vol 55, Issue 6, 2001, pp.1141-1145, |
| COM-01-9190 |
|
|
| |
 |
|
| Note |
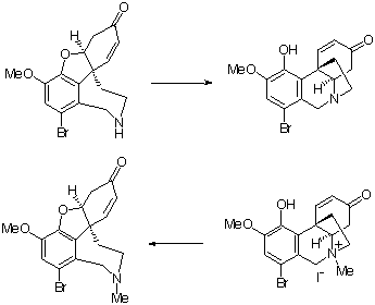
An Improved Hydrolysis of 7α-Chloro-7β-cyano-6,14-endo-ethenotetrahydrothebaine to Its 7-Oxo Derivative
|
Dean Y. Maeda and Andrew Coop*
|
| Vol 55, Issue 6, 2001, pp.1147-1149, |
| COM-01-9194 |
|
|
| |
 |
|
| Note |
Nucleophilic Substitution Reaction of 1-Methoxy-6-nitroindole
|
Koji Yamada, Toshiya Kawasaki, Tomomi Fujita, and Masanori Somei*
|
| Vol 55, Issue 6, 2001, pp.1151-1159, |
| COM-01-9198 |
|
|
| |
 |
|
| Note |
The First Example of Synthesis of Tetracyano Derivatives of Thianthrene and Phenoxathiin with Use of Thioacetamide
|
Igor' G. Abramov,* Alexey V. Smirnov, Sergey A. Ivanovsky, Marina B. Abramova, and Vladimir V. Plakhtinskii
|
| Vol 55, Issue 6, 2001, pp.1161-1163, |
| COM-01-9202 |
|
|
| |
 |
|
| Note |
A Concise Formal Synthesis of (±)-Deplancheine
|
Takashi Itoh, Yûji Matsuya, Yasuko Enomoto, and Akio Ohsawa*
|
| Vol 55, Issue 6, 2001, pp.1165-1171, |
| COM-01-9203 |
|
|
| |
 |
|
| Note |
Diastereoselective Iodoamidation of 3-Acetoxybut-1-enylamines: Synthesis of 3-Acetoxy-4-iodo-2-(p-methoxybenzyl)pyrrolidines
|
Kyu-Tae Chang, Ki Chang Jang, Ho-Yong Park, Young-Kook Kim, Ki Hun Park,* and Woo Song Lee*
|
| Vol 55, Issue 6, 2001, pp.1173-1179, |
| COM-01-9206 |
|
|
| |
 |
|
| Note |
Facile Preparation of 1,3-Selenazine Derivatives by Reaction of Primary Selenoamides with α,β-Unsaturated Aldehydes of in the Presence of BF3ÅEEt2O
|
Mamoru Koketsu,* Yuichi Takenaka, Sohma Hiramatsu, and Hideharu Ishihara*
|
| Vol 55, Issue 6, 2001, pp.1181-1188, |
| COM-01-9219 |
|
|
| |
 |
|
| Note |
Reaction of 2-Chloro-1-azaazulene with Diphenylcyclopropenone; Dimerization of the Cycloadduct Attended by cine-Substitution and Rearrangement
|
Noritaka Abe,* Hiroyuki Fujii, and Akikazu Kakehi
|
| Vol 55, Issue 6, 2001, pp.1189-1194, |
| COM-01-9224 |
|
|
| |
 |
|
| Note |
6-Hydroxycyanidin 3-Malonylglucoside from the Flowers of Alstromeria ‘Tiara’
|
Fumi Tatsuzawa, Naho Murata, Koichi Shinoda, Norio Saito, Atsushi Shigihara, and Toshio Honda*
|
| Vol 55, Issue 6, 2001, pp.1195-1199, |
| COM-01-9225 |
|
|
| |
 |
|
| Communication |
An Interrupted Pummerer Reaction Induced by Hypervalent Iodine(III) Reagent: Facile Synthesis of 2-Aryl-1,2-benzisothiazol-3(2H)-ones
|
Huey-Min Wang, Hsin-Yu Huang, Iou-Jiun Kang, and Ling-Ching Chen*
|
| Vol 55, Issue 7, 2001, pp.1231-1235, |
| COM-01-9214 |
|
|
| |
 |
|
| Communication |
Synthesis of 1-Hydroxyyohimbine and Its Novel Skeletal Rearrangement Reaction into Oxindole Derivatives
|
Masanori Somei,* Koichi Noguchi, and Fumio Yamada
|
| Vol 55, Issue 7, 2001, pp.1237-1240, |
| COM-01-9226 |
|
|
| |
 |
|
| Communication |
Acylated Pelargonidin 3-Sophoroside-5-glucosides from the Flowers of the Japanese Morning Glory Cultivar ‘Violet’
|
Kenjiro Toki, Norio Saito, Shigeru Iida, Atsushi Hoshino, Atsushi Shigihara, and Toshio Honda*
|
| Vol 55, Issue 7, 2001, pp.1241-1248, |
| COM-01-9231 |
|
|
| |
 |
|
| Communication |
A New Synthesis of 4-Phenylquinolines by Reaction of 2-(α-Bromobenzyl)oxiranes with Aniline Derivatives
|
Michinori Karikomi, Hiroshi Tsukada, and Takashi Toda*
|
| Vol 55, Issue 7, 2001, pp.1249-1252, |
| COM-01-9234 |
|
|
| |
 |
|
| Paper |
Stereoselective Synthesis of a Novel Tetracyclic β-Lactam
|
Do Kyu Pyun, Hee Jung Jung, Hyun Jung Kwak, Jae Hak Kim, Eun Jung Kim, Bong Jin Kim, Moon Hwan Kim, and Cheol Hae Lee*
|
| Vol 55, Issue 7, 2001, pp.1253-1261, |
| COM-01-9196 |
|
|
| |
 |
|
| Paper |
Inhibition of HIV Integrase by 4-Hydroxycoumarin Dimer Bearing Aniline Mustard Moiety
|
Pili Chih-Min Mao, Jean-Francois Mouscadet, Herve Leh, Christian Auclair, and Ling-Yih Hsu*
|
| Vol 55, Issue 7, 2001, pp.1263-1270, |
| COM-01-9216 |
|
|
| |
 |
|
| Paper |
Synthesis of Functionalized 5-Nitrouracil Derivatives Involving Electron Transfer Coupling Reactions
|
Maxime D. Crozet, Armand Gellis, Mustapha Kaafarani, Michel P. Crozet, and Patrice Vanelle*
|
| Vol 55, Issue 7, 2001, pp.1271-1281, |
| COM-01-9217 |
|
|
| |
 |
|
| Paper |
A Simple Construction of 2-Phenylimino-1,3-thiazolidin-4-ones
|
Hoh-Gyu Hahn,* Kee Dal Nam, and Heduck Mah
|
| Vol 55, Issue 7, 2001, pp.1283-1289, |
| COM-01-9227 |
|
|
| |
 |
|
| Paper |
Reaction of 1-Benzenesulfonylindole-2,3-dicarboxylic Anhydride with Wittig Reagents: Synthesis of Pyrrolo[1,2-a]indoles and Cyclopent[b]indole
|
Yasuyoshi Miki,* Hiroko Hachiken, Atsuko Kawazoe, Yasuhiko Tsuzaki, and Norihide Yanase
|
| Vol 55, Issue 7, 2001, pp.1291-1299, |
| COM-01-9230 |
|
|
| |
 |
|
| Paper |
Synthesis of 5-Deoxy-5-phosphinyl-D-galactopyranose Derivatives: New Phospha-Sugar Analogs of D-Galactose
|
Tadashi Hanaya,* Ken-ichi Sugiyama, Yasushi Fujii, Akihito Akamatsu, and Hiroshi Yamamoto*
|
| Vol 55, Issue 7, 2001, pp.1301-1309, |
| COM-01-9235 |
|
|
| |
 |
|
| Note |
Efficient Chemoselective Reduction of 3-Substituted Coumarins Utilizing ortho-Phenylenediamine and Benzaldehyde
|
Francesco Risitano,* Giovanni Grassi, Francesco Foti, and Cristina Bilardo
|
| Vol 55, Issue 7, 2001, pp.1311-1314, |
| COM-01-9207 |
|
|
| |
 |
|
| Note |
A One-Pot Synthesis of Pyrido[2,3-d]- and Quinolino[2,3-d]pyrimidines
|
Abdel Aziz S. El-Ahl,* Serry A. A. El Bialy, and Mohamed A. Ismail
|
| Vol 55, Issue 7, 2001, pp.1315-1321, |
| COM-01-9209 |
|
|
| |
 |
|
| Note |
Convenient New Syntheses of R-(+)-5-Benzyloxymethyl-5H-furan-2-one. A Building Block en route to L-Nucleosides
|
Fabio Fazio, Davis Maliakal, and Manfred P. Schneider*
|
| Vol 55, Issue 7, 2001, pp.1323-1328, |
| COM-01-9210 |
|
|
| |
 |
|
| Note |
Synthesis of Substituted Oxazolo[4,5-b]pyridine Derivatives
|
Valérie Grumel, Jean-Yves Mérour,* and Gérald Guillaumet
|
| Vol 55, Issue 7, 2001, pp.1329-1345, |
| COM-01-9213 |
|
|
| |
 |
|
| Note |
Quinone-cyclized Porfiromycins
|
Younghwa Na and Harold Kohn*
|
| Vol 55, Issue 7, 2001, pp.1347-1363, |
| COM-01-9215 |
|
|
| |
 |
|
| Review |
Review on Reactions of Acetylacetaldehyde with Aromatic and Biogenic Amines and Indoles — Synthesis of Heterocycles via Hydroxymethylene Ketones
|
Ramiro Quintanilla-Licea* and Hans-Joachim Teuber
|
| Vol 55, Issue 7, 2001, pp.1365-1397, |
| REV-01-539 |
|
|
| |
 |
|
| Communication |
Novel Specific Puromycin-sensitive Aminopeptidase Inhibitors: 3-(2,6-Diethylphenyl)-2,4(1H,3H)quinazolinedione and N-(2,6-Diethylphenyl)-2-amino-4H-3,1-benzoxazin-4-one
|
Hiroki Kakuta, Yukiko Koiso, Hiroyasu Takahashi, Kazuo Nagasawa, and Yuichi Hashimoto*
|
| Vol 55, Issue 8, 2001, pp.1433-1438, |
| COM-01-9247 |
|
|
| |
 |
|
| Communication |
A Facile Synthesis of Spiro-cyclopentenones from Various 1-Alkynes and Cyclic exo-Methylene Compounds by Intermolecular Pauson-Khand Reaction
|
Miyuki Ishizaki,* Yasuhiro Kasama, Mieko Zyo, Yuka Niimi, and Osamu Hoshino*
|
| Vol 55, Issue 8, 2001, pp.1439-1442, |
| COM-01-9252 |
|
|
| |
 |
|
| Communication |
Alumina/Phosphorus Pentoxide (APP) as an Efficient Reagent for the Synthesis of 1,5-Benzodiazepines under Microwave Irradiation
|
Babak Kaboudin* and Kian Navaee
|
| Vol 55, Issue 8, 2001, pp.1443-1446, |
| COM-01-9253 |
|
|
| |
 |
|
| Communication |
Synthesis of Bis(7-dimethylamino-1-indolizinyl)methane Derivatives and Their Oxidation: As an Oxidative Chromogenic Reagent in Clinical Analysis
|
Yoshinori Tominaga,* Sachiko Itonaga, Tetsuya Kouno, and Yasuhiro Shigemitsu
|
| Vol 55, Issue 8, 2001, pp.1447-1450, |
| COM-01-9260 |
|
|
| |
 |
|
| Communication |
Stereocontrolled Synthesis of 3-Hydroxy-2,3,4,5-tetrahydro-1,5-benzothiazepines by Means of Neighboring Group Participation
|
Michinori Karikomi, Kozue Ayame, and Takashi Toda*
|
| Vol 55, Issue 8, 2001, pp.1451-1454, |
| COM-01-9273 |
|
|
| |
 |
|
| Paper |
Indoles XIV. 4-Phenylpyrido[4,3-b]indoles and 5-Phenylazepino[4,5-b]indoles by Cyclisation of N-Indolylalkyl-ephedrine Derivatives — Scope and Stereoselectivity
|
Michael Decker, Rüdiger Faust, Maike Wedig, Martin Nieger, Ulrike Holzgrabe, and Jochen Lehmann*
|
| Vol 55, Issue 8, 2001, pp.1455-1466, |
| COM-01-9223 |
|
|
| |
 |
|
| Paper |
Remarkably Easy Oxidation of Alkylzinc Reagents in Their Reactions with Electrophiles to Produce Alkoxylated Instead of the Expected Alkylated Products
|
Alan R. Katritzky* and Zhushou Luo
|
| Vol 55, Issue 8, 2001, pp.1467-1474, |
| COM-01-9232 |
|
|
| |
 |
|
| Paper |
Novel Photocleavable Structures I: Synthesis of Hydroxyalkylphenone Analogues Electron-rich Heterocycles
|
Robert Liska
|
| Vol 55, Issue 8, 2001, pp.1475-1486, |
| COM-01-9241 |
|
|
| |
 |
|
| Paper |
A Combination of Friedel-Crafts and Lawesson Reactions to 5-Substituted 2,2’-Bithiophenes
|
M. Manuela M. Raposo* and Gilbert Kirsch
|
| Vol 55, Issue 8, 2001, pp.1487-1498, |
| COM-01-9249 |
|
|
| |
 |
|
| Paper |
Medicinal Foodstuffs. XXVI. Inhibitors of Aldose Reductase and New Triterpene and Its Oligoglycoside, Centellasapogenol A and Centellasaponin A, from Centella asiatica (Gotu Kola)
|
Hisashi Matsuda, Toshio Morikawa, Hiroki Ueda, and Masayuki Yoshikawa*
|
| Vol 55, Issue 8, 2001, pp.1499-1504, |
| COM-01-9259 |
|
|
| |
 |
|
| Paper |
A New Asymmetric Synthesis of (R)-3-Methylpyrrolidine Alkaloids Starting from (S)-Malic Acid
|
Xiao Zheng, Pei Qiang Huang,* Yuan Ping Ruan, Albert W. M. Lee, and Wing Hong Chan
|
| Vol 55, Issue 8, 2001, pp.1505-1518, |
| COM-01-9266 |
|
|
| |
 |
|
| Note |
Synthesis of Tetracyclic Dibenzo[c,f]azepine and Benzo[f]thieno[3,2-c]azepine Derivatives via N-Acyliminium Ion Cyclization
|
Jae Yeol Lee,* Nam Jun Baek, Sook Ja Lee, Hokoon Park, and Yong Sup Lee
|
| Vol 55, Issue 8, 2001, pp.1519-1526, |
| COM-01-9240 |
|
|
| |
 |
|
| Note |
Heterocycles in Organic Materials Chemistry. Synthesis of Di-, Tri-, and Tetraimide Polycarboxylic Acids for Use in Organic Network Assembly
|
Ken S. Feldman,* Yanze Liu, Joe C. Saunders, Katherine M. Masters, and Robert F. Campbell
|
| Vol 55, Issue 8, 2001, pp.1527-1554, |
| COM-01-9242 |
|
|
| |
 |
|
| Note |
A Simple Synthesis of Rutaecarpine
|
Seung Ho Lee, Seung Ill Kim, Jae Gyu Park, Eung Seok Lee, and Yurngdong Jahng*
|
| Vol 55, Issue 8, 2001, pp.1555-1559, |
| COM-01-9244 |
|
|
| |
 |
|
| Note |
One-Pot Synthesis of Indolequinone Derivatives from 2-Acylamino-1,4-naphtho(or benzo)quinones and Enamines
|
Koujirou Tanaka, Atsushi Takanohashi, Osamu Morikawa, Hisatoshi Konishi, and Kazuhiro Kobayashi*
|
| Vol 55, Issue 8, 2001, pp.1561-1567, |
| COM-01-9245 |
|
|
| |
 |
|
| Note |
Application of Hexamethylenetetramine in a Pictet-Spengler Type Reaction for Synthesis of Isoquinoline Derivatives
|
Iliyan Ivanov and Atanas Venkov*
|
| Vol 55, Issue 8, 2001, pp.1569-1572, |
| COM-01-9250 |
|
|
| |
 |
|
| Note |
Behavior of Hydrazonoyl Chlorides towards the C=N Double Bond of Δ2-Pyrazolines. A Study on 2-(4-Nitro-phenyl)-2,3,3a,4,5,6-hexahydro-6-oxofuro[3,4-c]pyrazole
|
Giorgio Molteni* and Luisa Garanti
|
| Vol 55, Issue 8, 2001, pp.1573-1580, |
| COM-01-9254 |
|
|
| |
 |
|
| Note |
Synthetic Equivalent of α-Nitroformylacetic Acid
|
Nagatoshi Nishiwaki,* Hiromi Ohtomo, Mina Tamura, Kazushige Hori, Yasuo Tohda, and Masahiro Ariga*
|
| Vol 55, Issue 8, 2001, pp.1581-1582, |
| COM-01-9258 |
|
|
| |
 |
|
| Note |
Synthesis of 5-Substituted 7-Azaoxindoles via Palladium-catalyzed Reactions
|
Mui Cheung,* Robert N. Hunter III, Michael R. Peel, and Karen E. Lackey
|
| Vol 55, Issue 8, 2001, pp.1583-1590, |
| COM-01-9267 |
|
|
| |
 |
|
| Note |
Diastereoselective Synthesis of trans-N-Benzyl-2-(2-methylphenyl)-6-phenyl-4-piperidone
|
Kaori Ishimaru* and Takakazu Kojima
|
| Vol 55, Issue 8, 2001, pp.1591-1597, |
| COM-01-9271 |
|
|
| |
 |
|
| Note |
A Facile and Convenient Synthesis of 1,2,3,6-Tetrahydropyridazines Using Azodicarboxylates under Lanthanum Triflate Catalysis
|
Massimo Curini,* Francesco Epifano, Maria Carla Marcotullio, and Ornelio Rosati
|
| Vol 55, Issue 8, 2001, pp.1599-1604, |
| COM-01-9272 |
|
|
| |
 |
|
| Communication |
Synthesis and Complexing Properties of Thiacrownophanes
|
Seiichi Inokuma, Takashi Funaki, Masayuki Tanakajima, Shinji Nabekura, Keigo Isawa, and Jun Nishimura*
|
| Vol 55, Issue 9, 2001, pp.1635-1639, |
| COM-01-9262 |
|
|
| |
 |
|
| Communication |
Synthesis of N-Functionalized Carbodiimides, Hydantoins, 1,3-Diazetidines, and Imidazolidine Derivatives from N-Vinylic Phosphazenes Derived from β-Amino Acids
|
Francisco Palacios,* Marta Legido, Itziar Pérez de Heredia, José María Ezpeleta, and Gloria Rubiales
|
| Vol 55, Issue 9, 2001, pp.1641-1651, |
| COM-01-9264 |
|
|
| |
 |
|
| Communication |
New Noroleanane-Type Triterpene Saponins with Gastroprotective Effect and Platelet Aggregation Activity from the Flowers of Camellia japonica: Revised Structures of Camellenodiol and Camelledionol
|
Masayuki Yoshikawa,* Toshio Morikawa, Emi Fujiwara, Teruki Ohgushi, Yasunobu Asao, and Hisashi Matsuda
|
| Vol 55, Issue 9, 2001, pp.1653-1657, |
| COM-01-9284 |
|
|
| |
 |
|
| Communication |
Synthesis and Some Properties of Phosphoimino-1-azaazulene Derivatives
|
Noritaka Abe,* Hiroyuki Fujii, Kenji Tahara, and Motoo Shiro
|
| Vol 55, Issue 9, 2001, pp.1659-1662, |
| COM-01-9288 |
|
|
| |
 |
|
| Paper |
Synthesis of 3-Substituted Isoindolin-1-ones by Regioselective Cyclization of Nitrile with a Styryl Double Bond
|
Fen-Tair Luo* and Chin-Hsin Chen
|
| Vol 55, Issue 9, 2001, pp.1663-1678, |
| COM-01-9212 |
|
|
| |
 |
|
| Paper |
Synthesis of 5-Substituted Pyrido[2,3-d]pyrimidines as Analogues of the Antifolates Methotrexate, DDATHF and Pemetrexed (LY231514)
|
Franz Schönfeld and Reinhard Troschütz*
|
| Vol 55, Issue 9, 2001, pp.1679-1687, |
| COM-01-9251 |
|
|
| |
 |
|
| Paper |
Diastereoselective Reduction of Chiral Enaminolactones: A Short and Convenient Route to Enantio-pure (+)-Tashiromine
|
Olivier David, Christian Bellec, Marie-Claude Fargeau-Bellassoued, and Gérard Lhommet*
|
| Vol 55, Issue 9, 2001, pp.1689-1701, |
| COM-01-9255 |
|
|
| |
 |
|
| Paper |
α-Benzotriazolylpyridines and Their N-Oxides
|
Alan R. Katritzky,* Thomas Kurz, Suoming Zhang, Michael Voronkov, and Peter J. Steel*
|
| Vol 55, Issue 9, 2001, pp.1703-1710, |
| COM-01-9256 |
|
|
| |
 |
|
| Paper |
Regioselectivity in Formal [3+2] Cycloaddition Reaction of 5-Alkoxyoxazoles with Diethyl Oxomalonate and 2,3-Dichloro-5,6-dicyano-1,4-benzoquinone
|
Hiroyuki Suga,* Xiaolan Shi, Toshikazu Ibata, and Akikazu Kakehi
|
| Vol 55, Issue 9, 2001, pp.1711-1725, |
| COM-01-9277 |
|
|
| |
 |
|
| Paper |
12H-[2]-Benzothiepino[6,5a,5-bc]benzofuran: Synthesis of a Sulfur-Analog of Galanthamine
|
Matthias Treu, Ulrich Jordis,* and Kurt Mereiter
|
| Vol 55, Issue 9, 2001, pp.1727-1735, |
| COM-01-9278 |
|
|
| |
 |
|
| Paper |
A Novel Synthesis of 3-Nitropyridine Derivatives from N-Silyl-1-azaallylAnions
|
Takeo Konakahara,* Ryo Ogawa, Sanae Tamura, Akikazu Kakehi, and Norio Sakai
|
| Vol 55, Issue 9, 2001, pp.1737-1746, |
| COM-01-9279 |
|
|
| |
 |
|
| Paper |
One Pot Synthesis of Fused Pyrimidines from 2-[N-(Methylthiothiocarbonyl)amino]acetate
|
A. Z. M. Shaifullah Chowdhury,* Yasuyuki Shibata, Masatoshi Morita, Kunimitsu Kaya, and Tomoharu Sano
|
| Vol 55, Issue 9, 2001, pp.1747-1757, |
| COM-01-9283 |
|
|
| |
 |
|
| Paper |
Cyclization Reactions of 2-Methylbenzenesulfonamides Using N,N-Dimethylcarbamoyl Chloride, N,N-Dimethylthiocarbamoyl Chloride, and N,N-Dimethylsulfamoyl Chloride
|
Masahiko Takahashi,* Tomoya Morimoto, Ken-ichi Isogai, Sousi Tsuchiya, and Keisuke Mizumoto
|
| Vol 55, Issue 9, 2001, pp.1759-1769, |
| COM-01-9287 |
|
|
| |
 |
|
| Paper |
Reaction of Quinoline 1-Oxides with Sodium Methoxide in the Presence of Lead(IV) Acetate
|
Yoshinobu Tagawa,* Keitaro Tanaka, Katsuya Yamashita, Yoshinobu Goto, and Masatomo Hamana
|
| Vol 55, Issue 9, 2001, pp.1771-1777, |
| COM-01-9295 |
|
|
| |
 |
|
| Paper |
Reaction of Methyl 2-Arylethylcarbamates with Thionyl Chloride: Formation of Benzothiazine and Benzo[b]thiophene Ring Systems
|
Kunihiko Mohri,* Yuki Yoshida, Takako Awano, Yoshiaki Takeuchi, and Kimiaki Isobe
|
| Vol 55, Issue 9, 2001, pp.1779-1788, |
| COM-01-9296 |
|
|
| |
 |
|
| Note |
Synthesis and Vasorelaxant Potency of Monagra. A Chiral 5-(2-Methyl-2,3-dihydro-7-benzofuryl)pyrazolopyrimidone Analog of Viagra®
|
Nader R. Al-bojuk, Mustafa M. El-Abadelah,* Salim S. Sabri, Alain Michel, Wolfgang Voelter, Cäcilia M.-Mössmer, and Yousef Al-Abed
|
| Vol 55, Issue 9, 2001, pp.1789-1803, |
| COM-01-9218 |
|
|
| |
 |
|
| Note |
Microwave and BF3 Promoted Rearrangement of Allyloxycoumarins to Allylcoumarins and Dihydrofurocoumarins
|
Mohammad R. Saidi* and Fatemeh Rajabi
|
| Vol 55, Issue 9, 2001, pp.1805-1812, |
| COM-01-9265 |
|
|
| |
 |
|
| Note |
A Convenient Route to the Soluble Guanylate Cyclase Activator YC-1 and Its N2 Regioisomer
|
Patricia A. Fernandez, Tom Bellamy, Marcel Kling, David J. Madge, and David L. Selwood*
|
| Vol 55, Issue 9, 2001, pp.1813-1816, |
| COM-01-9282 |
|
|
| |
 |
|
| Communication |
Synthesis of (-)-Idiadione, a Furanosesterterpene Isolated from a Marine Sponge Spongia idia
|
Yoshihiro Noda,* Hiroyuki Hashimoto, and Toshie Norizuki
|
| Vol 55, Issue 10, 2001, pp.1839-1841, |
| COM-01-9311 |
|
|
| |
 |
|
| Paper |
A1,3-Dipolar Cycloadditions of New Mesoionic Compounds. Synthesis of 1H-Pyrrolo[1,2-c]thiazoles, Pyrrolizines and 5,6,7,8-Tetrahydroindolizines
|
Piero Dalla Croce and Concetta La Rosa*
|
| Vol 55, Issue 10, 2001, pp.1843-1857, |
| COM-01-9289 |
|
|
| |
 |
|
| Paper |
Thermal Rearrangements of 3,3-Spiroalkylated Pyrazoles: Ring Expansion and Novel Cases of Sequential 1,5-Shifts
|
Yao-pin Yen,* Shih-Feng Chen, Zan-Cheng Heng, Jen-Chieh Huang, Li-Chun Kao, Ching-Cheng Lai, and R. S. H. Liu
|
| Vol 55, Issue 10, 2001, pp.1859-1871, |
| COM-01-9298 |
|
|
| |
 |
|
| Paper |
Regioselective Formylation of Ethyl 3,4-Dihydro-2H-1,4- benzoxazine-2-carboxylate or 2-Acetate Derivatives
|
Stanislas Mayer, Gérald Guillaumet, and Jean-Yves Mérour*
|
| Vol 55, Issue 10, 2001, pp.1873-1888, |
| COM-01-9302 |
|
|
| |
 |
|
| Paper |
Observation of the Primary Intermediates in the Photochemistry of o-Vinylstyrylfurans
|
Irena Skoric, Nikola Basaric, Zeljko Marinic, and Marija Sindler-Kulyk*
|
| Vol 55, Issue 10, 2001, pp.1889-1896, |
| COM-01-9314 |
|
|
| |
 |
|
| Paper |
Synthesis of 3-Aryl-7-diethylaminocoumarin Derivatives: Reaction with Isatin and Their Fluorescent Properties
|
Naozumi Nishizono,* Kazuaki Oda, Kosei Ohno, Masaru Minami, and Minoru Machida*
|
| Vol 55, Issue 10, 2001, pp.1897-1906, |
| COM-01-9316 |
|
|
| |
 |
|
| Paper |
Synthesis of 4(5)-(α-D-Xylofuranosyl)imidazole Starting from L-Arabinose: Mitsunobu Cyclization via C4’-Oxyphosphonium Intermediate
|
Lisa Araki, Shinya Harusawa, Mayuko Fukuda, and Takushi Kurihara*
|
| Vol 55, Issue 10, 2001, pp.1907-1917, |
| COM-01-9321 |
|
|
| |
 |
|
| Paper |
Heterocyclization of 4-Trifluoroacetyl-1,3-oxazolium-5-olates with 1,4-Bis-nucleophiles
|
Masami Kawase,* Hiromi Koiwai, Toru Tanaka, Satoru Tani, and Hiroshi Miyamae
|
| Vol 55, Issue 10, 2001, pp.1919-1926, |
| COM-01-9325 |
|
|
| |
 |
|
| Note |
Nucleophilic Substitution Reactions of 4,5-Dichloro-2-methyl-6-nitro-2H-pyridazin-3-one
|
Kyu-Tae Chang, Jeum-Jong Kim, Young-Kook Kim, Ho-Yong Park, Byung-Hwa Hyun, Motoo Shiro, Yong-Jin Yoon, and Woo Song Lee*
|
| Vol 55, Issue 10, 2001, pp.1927-1935, |
| COM-01-9237 |
|
|
| |
 |
|
| Note |
2-Arylsulfinylmethyloxazines: Chiral Carbonyl Equivalents
|
Kamaljit Singh,* Prasant K. Deb, and Sonia Behal
|
| Vol 55, Issue 10, 2001, pp.1937-1942, |
| COM-01-9263 |
|
|
| |
 |
|
| Note |
Cucubalactam and Brachystemin E, Two New Compounds from Caryophyllaceae
|
Yong-Xian Cheng, Jun Zhou,* Ning-Hua Tan, Yang Lu, Xu-Ying Liu, and Qi-Tai Zheng
|
| Vol 55, Issue 10, 2001, pp.1943-1949, |
| COM-01-9276 |
|
|
| |
 |
|
| Note |
New Flavonoid from Mentha longifolia
|
Nusrat Jahan, Abdul Malik,* and Pir Muhammad
|
| Vol 55, Issue 10, 2001, pp.1951-1955, |
| COM-01-9281 |
|
|
| |
 |
|
| Note |
A Convenient Samarium-induced Reduction of Ferrocenyl Imines
|
Susanta Samajdar, Anjan Ghatak, Frederick F. Becker, and Bimal K. Banik*
|
| Vol 55, Issue 10, 2001, pp.1957-1961, |
| COM-01-9291 |
|
|
| |
 |
|
| Note |
Synthesis of 1,2,4-Oxadiazolylimidazo[1,5-a]thieno[2,3-e]pyrazines as Ligands for the γ-Aminobutyric Acid A/Benzodiazepine Receptor Complex
|
Thomas Erker* and Karin Trinkl
|
| Vol 55, Issue 10, 2001, pp.1963-1969, |
| COM-01-9297 |
|
|
| |
 |
|
| Note |
Quinoline Ring Formation by Cycloaddition of N-Arylketenimines with Enol Ethers under High Pressure
|
Masao Shimizu,* Akihiro Oishi, Yoichi Taguchi, Tomohumi Sano, Yasuo Gama, and Isao Shibuya
|
| Vol 55, Issue 10, 2001, pp.1971-1980, |
| COM-01-9306 |
|
|
| |
 |
|
| Note |
A Modified Niementowski Reaction for the Synthesis of 4-Hydroxyquinoline and Its Related Compounds
|
Jae Keun Son, Seung Ill Kim, and Yurngdong Jahng*
|
| Vol 55, Issue 10, 2001, pp.1981-1986, |
| COM-01-9307 |
|
|
| |
 |
|
| Note |
Regioselective Intramolecular Cycloaddition of C-(1-Acryloyl-2-pyrrolyl)-N-benzylnitrone: Entry to 6-Hydroxy-5-oxoindolizidines
|
Gianluigi Broggini,* Tullio Pilati, Alberto Terraneo, and Gaetano Zecchi
|
| Vol 55, Issue 10, 2001, pp.1987-1992, |
| COM-01-9310 |
|
|
| |
 |
|
| Communication |
Javaberine A, New TNF-α and Nitric Oxide Production Inhibitor, from the Roots of Talinum paniculatum
|
Hiroshi Shimoda, Norihisa Nishida, Kiyofumi Ninomiya, Hisashi Matsuda, and Masayuki Yoshikawa*
|
| Vol 55, Issue 11, 2001, pp.2043-2050, |
| COM-01-9318 |
|
|
| |
 |
|
| Communication |
Synthesis of 3,4-Dihydro-2H-benzopyrans from Phenols and α,β-Unsaturated Carbonyl Compounds
|
Hiroyuki Saimoto, Yoshie Ogo, Mie Komoto, Minoru Morimoto, and Yoshihiro Shigemasa*
|
| Vol 55, Issue 11, 2001, pp.2051-2054, |
| COM-01-9333 |
|
|
| |
 |
|
| Communication |
Simple Synthesis of 1,3,4,5a,6,10b,11,11a-Octahydro-2H-pyrazino[1’,2’:1,5]pyrrolo[2,3-b]indole Derivatives Based on 1-Hydroxyindole Chemistry
|
Yoshikazu Fukui and Masanori Somei*
|
| Vol 55, Issue 11, 2001, pp.2055-2057, |
| COM-01-9334 |
|
|
| |
 |
|
| Paper |
Stereoselective Syntheses of (E)- and (Z)-2,3-Dihydro-3-(1,2,4-triazolyl)-4H-1-benzopyran-4-one Oxime Ethers
|
Saeed Emami and Abbas Shafiee*
|
| Vol 55, Issue 11, 2001, pp.2059-2074, |
| COM-01-9301 |
|
|
| |
 |
|
| Paper |
3,5-Dichloro-4-pyridinecarbonitrile: A Multisite Substrate for Carbon Nucleophiles
|
Nevio Picci, Marco Pocci,* Annarosa Gugliuzza, Francesco Puoci, Angela De Munno, Francesca Iemma, and Vincenzo Bertini
|
| Vol 55, Issue 11, 2001, pp.2075-2084, |
| COM-01-9303 |
|
|
| |
 |
|
| Paper |
Synthesis of Bis-substituted Amidinobenzothiazoles as Potential Anti-HIV Agents
|
Livio Racane, Vesna Tralic-Kulenovic, Lelja Fiser-Jakic, David W. Boykin, and Grace Karminski-Zamola*
|
| Vol 55, Issue 11, 2001, pp.2085-2098, |
| COM-01-9305 |
|
|
| |
 |
|
| Paper |
A Facile Entry to Bicyclic Systems from L-Glutamic Acid
|
Bryan A. Frieman, Charles W. Bock, and Krishna L. Bhat*
|
| Vol 55, Issue 11, 2001, pp.2099-2108, |
| COM-01-9308 |
|
|
| |
 |
|
| Paper |
A Multinuclear NMR Spectral Study of Parent Azoles and Benzazoles: Experimental Results and GIAO Ab initio Calculations
|
Rosa M. Claramunt,* Concepción López, Dionisia Sanz, Ibon Alkorta, and José Elguero
|
| Vol 55, Issue 11, 2001, pp.2109-2121, |
| COM-01-9313 |
|
|
| |
 |
|
| Paper |
Four New Glucosides of Stilbene Oligomers from the Stem of Gnetum gnemonoides
|
Ibrahim Iliya, Toshiyuki Tanaka,* Miyuki Furasawa, Zulfiqar Ali, Ken-ichi Nakaya, Munekazu Iinuma, Yoshiaki Shirataki, Jin Murata, and Dedy Darnaedi
|
| Vol 55, Issue 11, 2001, pp.2123-2130, |
| COM-01-9317 |
|
|
| |
 |
|
| Paper |
Convenient Preparation of Heteroazulenes by the Reaction of 2-Aminotropone with Heterocumulenes in the Presence of a Base
|
Yuhki Mitsumoto and Makoto Nitta*
|
| Vol 55, Issue 11, 2001, pp.2131-2137, |
| COM-01-9322 |
|
|
| |
 |
|
| Paper |
Synthesis of a Thiino[2,3,4-d,e]phthalazine
|
Abdel Karim Karim, Montserrat Armengol, and John A. Joule*
|
| Vol 55, Issue 11, 2001, pp.2139-2145, |
| COM-01-9328 |
|
|
| |
 |
|
| Paper |
Synthesis of Vinca Alkaloids and Related Compounds. Part 97. Epimerization with the Aid of Iodine
|
István Moldvai, Csaba Szántay Jr., and Csaba Szántay*
|
| Vol 55, Issue 11, 2001, pp.2147-2155, |
| COM-01-9329 |
|
|
| |
 |
|
| Paper |
Copper(I) Iodide-promoted Hydroxylation onto the Lithium or Potassium Enolate of Lactones and Lactams
|
Norio Nakazawa, Keiko Tagami, Hitoshi Iimori, Shigeki Sano, Tsutomu Ishikawa, and Yoshimitsu Nagao*
|
| Vol 55, Issue 11, 2001, pp.2157-2170, |
| COM-01-9330 |
|
|
| |
 |
|
| Paper |
3-Hydroxy-4(1H)-pyridinone-containing Linear and Cyclic Hexapeptides and Their Iron(III) Complexes —Synthesis, Property, and the Growth-Promotion Activity —
|
Akira Katoh,* Yasushi Hikita, Manabu Harata, Junko Ohkanda, Taro Tsubomura, Akon Higuchi, Ryota Saito, and Kazuo Harada
|
| Vol 55, Issue 11, 2001, pp.2171-2187, |
| COM-01-9338 |
|
|
| |
 |
|
| Note |
Reaction of N-Substituted 3,4-Dichloromaleimides with α-Mercaptoazaheterocycles
|
Galina G. Dubinina, Yulian M. Volovenko, Svetlana V. Shishkina, Oleg V. Shishkin, and Sergiy M. Yarmoluk*
|
| Vol 55, Issue 11, 2001, pp.2189-2198, |
| COM-01-9285 |
|
|
| |
 |
|
| Note |
Synthesis of 3-Azabicyclo[3.3.1]nonane-6,9-diones
|
Brian D. Williams,* Birute Williams, Francis Bernardoni, Robert C. Finn, and Jon Zubieta
|
| Vol 55, Issue 11, 2001, pp.2199-2206, |
| COM-01-9319 |
|
|
| |
 |
|
| Communication |
Synthesis of Novel Oxazoline Ligands Designed for Attachment to Gold Nanoparticles
|
Jeffrey T. Banks,* Karen M. Button, Robert A. Gossage,* Tamara D. Hamilton,
and Kurt E. Kershaw
|
| Vol 55, Issue 12, 2001, pp.2251-2256, |
| COM-01-9335 |
|
|
| |
 |
|
| Communication |
Synthesis of 3-Methylthio-4-aryl-3-pyrroline-2,5-diones and 3-Arylpyrrolidine-2,5-diones by Reaction of Nitroketene Dithioacetal with Arylacetonitriles
|
Yasuhiro Shigemitsu and Yoshinori Tominaga*
|
| Vol 55, Issue 12, 2001, pp.2257-2260, |
| COM-01-9336 |
|
|
| |
 |
|
| Communication |
A Novel Acylated Pelargonidin 3-Sophoroside-5-glucoside from Greyish-Purple Flowers of the Japanese Morning Glory
|
Kenjiro Toki, Norio Saito, Shigeru Iida, Atsushi Hoshino, Atsushi Shigihara,
and Toshio Honda*
|
| Vol 55, Issue 12, 2001, pp.2261-2267, |
| COM-01-9337 |
|
|
| |
 |
|
| Communication |
Enantioselective Synthesis of (S)-2,3,9,10,11-Pentamethoxyhomoprotoberberine, and (S)-O-Methylkreysigine Using an Asymmetric Addition to an Isoquinoline Ring
|
Kazuhiro Nagata, Takashi Itoh, Keiko Kameoka, Michiko Miyazaki, and Akio Ohsawa*
|
| Vol 55, Issue 12, 2001, pp.2269-2272, |
| COM-01-9344 |
|
|
| |
 |
|
| Communication |
Mono and Sequential Bis Solid Phase Alkylations of a (R)-Phenylglycinol Derived Pyrrolidinone Scaffold
|
Armand Blommaert, Philippe James, Fanny Valleix, Henri-Philippe Husson, and Jacques Royer*
|
| Vol 55, Issue 12, 2001, pp.2273-2278, |
| COM-01-9350 |
|
|
| |
 |
|
| Communication |
Novel and Efficient Synthesis of 8-Oxoadenine Derivatives
|
Kosaku Hirota,* Kazunori Kazaoka, Itaru Niimoto, and Hironao Sajiki
|
| Vol 55, Issue 12, 2001, pp.2279-2282, |
| COM-01-9356 |
|
|
| |
 |
|
| Communication |
A Facile Synthesis of 4(3H)-Pyrimidinones via [4+2] Cycloaddition Utilizing Trimethylsilylketene
|
Shigeru Arai, Takuya Sakurai, Hitomi Asakura, Shin-ya Fuma, Takayuki Shioiri,* and Toyohiko Aoyama*
|
| Vol 55, Issue 12, 2001, pp.2283-2287, |
| COM-01-9374 |
|
|
| |
 |
|
| Paper |
Regioselective ortho-Directed Metalation and Electrophilic Substitution of Indole- and Indoline-5-(N-phenyl)carboxamides
|
Jean-François Rousseau and Robert H. Dodd*
|
| Vol 55, Issue 12, 2001, pp.2289-2304, |
| COM-01-9320 |
|
|
| |
 |
|
| Paper |
Novel Formaldehyde-mediated Dimerization Reaction of N-Alkyl-1-naphthylamine Derivatives under Mild/Neutral Conditions; Application to Synthesis of Naphthylamine-derived Macrocycles
|
Hiroyasu Takahashi, Yuichi Hashimoto, and Kazuo Nagasawa*
|
| Vol 55, Issue 12, 2001, pp.2305-2313, |
| COM-01-9339 |
|
|
| |
 |
|
| Paper |
Photoreactions of 3-Tosyl- and 6-Tosyl-dihydro-1,3-diazaazulanones to Form 1,3-Diazaazulanones and Ionic Pairs between p-Toluenesulfonate Anion and 1,3-Diazadihydroazulanone Cations
|
Katsuhiro Saito,* Tomoko Kunisada, Hiroyuki Ishiguro, Michie Sato, and Tadayuki Doi
|
| Vol 55, Issue 12, 2001, pp.2315-2324, |
| COM-01-9341 |
|
|
| |
 |
|
| Paper |
Hammett Type Correlations for Intramolecular Charge Transfer (ICT) Dipole Moments of 4’-Substituted 9-Styrylacridines in the Ground State and in the Excited State
|
Mohamed El Azami, Najib Bitit,* Abdelali Kerbal, Souad Lahlou, Saadia Aït Lyazidi, Jean-Pierre Desvergne, Henri Bouas-Laurent,* and Dario Bassani
|
| Vol 55, Issue 12, 2001, pp.2325-2340, |
| COM-01-9345 |
|
|
| |
 |
|
| Paper |
Three New Isoflavonoids from Erythrina variegata
|
Hitoshi Tanaka,* Miyuki Hirata, Hideo Etoh, Naoharu Watanabe, Hiroshi Shimizu,
Mansoor Ahmad, Zahid Khan, and Munir Anwar
|
| Vol 55, Issue 12, 2001, pp.2341-2347, |
| COM-01-9346 |
|
|
| |
 |
|
| Paper |
Direct Modification of Benzoannelated Crown Ethers with 1,2,4-Triazin-5(2H)-one Moieties
|
Gennady L. Rusinov, Dmitry G. Beresnev, Nadezhda A. Itsikson, and Oleg N. Chupakhin*
|
| Vol 55, Issue 12, 2001, pp.2349-2359, |
| COM-01-9349 |
|
|
| |
 |
|
| Paper |
Simple Syntheses of Analogs of a Wasabi Phytoalexin
|
Fumio Yamada, Koji Yamada, Hikari Takeda, and Masanori Somei*
|
| Vol 55, Issue 12, 2001, pp.2361-2368, |
| COM-01-9352 |
|
|
| |
 |
|
| Paper |
Synthesis of 1H-[1]Benzopyrano[4,3-b]pyrrole and 4H-Thieno[3,2-c][1]benzopyran Derivatives. Functionalisation by Aromatic Electrophilic Substitution
|
Rocío Álvaro Navarro, Luis Calvo Bleye, Alfonso González-Ortega,* and M. Carmen Sañudo Ruíz
|
| Vol 55, Issue 12, 2001, pp.2369-2386, |
| COM-01-9355 |
|
|
| |
 |
|
| Note |
Synthesis of 6-Bromo-4-methylbenzofuroxan
|
Tohru Takabatake,* Aki Takei, Tomoyuki Miyazawa, Minoru Hasegawa, and Shinichi Miyairi
|
| Vol 55, Issue 12, 2001, pp.2387-2395, |
| COM-01-9327 |
|
|
| |
 |
|
| Note |
Bidirectional Conversion of Galanthamine and Crinine Type Heterocycles
|
Matthias Treu, Stefan Welzig, and Ulrich Jordis*
|
| Vol 55, Issue 12, 2001, pp.2397-2404, |
| COM-01-9332 |
|
|
| |
 |
|
| Note |
Dippinines A - D, New Iboga-derived Indole Alkaloids from Tabernaemontana
|
Toh-Seok Kam* and Kooi-Mow Sim
|
| Vol 55, Issue 12, 2001, pp.2405-2412, |
| COM-01-9342 |
|
|
| |
 |
|
| Note |
Conjugate Addition Reactions of Some Methylidene 1-Benzylpyrimidinetrione Derivatives
|
Essam Abdelghani
|
| Vol 55, Issue 12, 2001, pp.2413-2421, |
| COM-01-9348 |
|
|
| |
 |
|
| Note |
An Improved Method for the Preparation of 4,7-Dioxo-4,7-dihydrobenzo[b]thiophene-2-carboxylates from 2-Acyl-1,4-benzoquinones and Mercaptoacetates
|
Kazuhiro Kobayashi,* Keiichi Yoneda, Masaharu Uchida, Hideki Matsuoka,
Osamu Morikawa, and Hisatoshi Konishi
|
| Vol 55, Issue 12, 2001, pp.2423-2430, |
| COM-01-9358 |
|
|
| |
 |
|
| Review |
A Sojourn in the Synthesis and Bioactivity of Diindolylalkanes
|
Manas Chakrabarty,* Ramkrishna Basak, and Yoshihiro Harigaya
|
| Vol 55, Issue 12, 2001, pp.2431-2447, |
| REV-01-541 |
|
|
| |
 |
|
| 229 data found. 1 - 229 listed |
|
|
|
|