| 197 data found. 1 - 197 listed |
|
|
| Communication |
Synthesis of Ethyl 1,2,3,4-Tetrahydroisoquinoline-1-carboxylates by Pictet-Spengler Condensation Using Phenyliodine(III) Bis(trifluoroacetate)
|
Iou-Jiun Kang, Huey-Min Wang, Chien-Hsing Su, and Ling-Ching Chen*
|
| Vol 57, Issue 1, 2002, pp.1-4, |
| COM-01-9362 |
|
|
| |
 |
|
| Communication |
Heterocyclizations towards 2-Arylbenzimidazoles via Intermolecular Coupling of 2-Nitroanilines and Aryl Aldehydes
|
Byeong Hyo Kim,* Rongbi Han, Tae Hee Han, Young Moo Jun, Woonphil Baik, and Byung Min Lee
|
| Vol 57, Issue 1, 2002, pp.5-10, |
| COM-01-9381 |
|
|
| |
 |
|
| Communication |
Reaction of 2,3-Butanedione with Propylenediamine Observed by 1H-NMR Spectroscopy
|
Tadatoshi Yamaguchi,* Shigeru Ito, Nobuko Mibu, and Kunihiro Sumoto
|
| Vol 57, Issue 1, 2002, pp.11-16, |
| COM-01-9385 |
|
|
| |
 |
|
| Communication |
A Through-Space Interaction of 3-Benzylthiothieno[3,4-b]indolizine Derivatives Combined by a Highly Flexible Spacer
|
Akikazu Kakehi,* Suketaka Ito, Hiroyuki Suga, Takeyuki Miwa, Takashi Mori, and Tomoshige Kobayashi
|
| Vol 57, Issue 1, 2002, pp.17-20, |
| COM-01-9394 |
|
|
| |
 |
|
| Paper |
Efficient Synthesis of New Polyfunctionalized Thiadiazaacenaphthylenes from Imidazo[1,2-a]pyridines
|
Emmanuel Moreau, Jean-Michel Chezal, Caroline Dechambre, Damien Canitrot, Yves Blache, Claire Lartigue, Olivier Chavignon, Jean-Claude Teulade*
|
| Vol 57, Issue 1, 2002, pp.21-38, |
| COM-01-9347 |
|
|
| |
 |
|
| Paper |
Mono- and Di-substituted 5,6-Diphenyl-3-alkylaminopyridazines Active as ACAT Inhibitors
|
Lucio Toma,* Maria Paola Giovannoni, Vittorio Dal Piaz, Byoung-Mog Kwon, Young-Kook Kim, Arianna Gelain, and Daniela Barlocco*
|
| Vol 57, Issue 1, 2002, pp.39-46, |
| COM-01-9351 |
|
|
| |
 |
|
| Paper |
Lewis Acid Catalyzed Dimerization of 2-Aminopyrimidine: Synthesis and X-Ray Structures
|
Miyuki Eiraku Masaki and Mark M. Turnbull*
|
| Vol 57, Issue 1, 2002, pp.47-54, |
| COM-01-9359 |
|
|
| |
 |
|
| Paper |
Synthesis of Melatonin Analogues Derived from Furo[2,3-b]- and [2,3-c]pyridines by Use of a Palladium-Copper Catalyst System
|
Hervé Van de Poël, Gérald Guillaumet, and Marie-Claude Viaud-Massuard*
|
| Vol 57, Issue 1, 2002, pp.55-71, |
| COM-01-9363 |
|
|
| |
 |
|
| Paper |
About Four New Trityl-substituted α-Lactams
|
Istvan Lengyel,* Victor Cesare, Ian Adam, and Tony Taldone
|
| Vol 57, Issue 1, 2002, pp.73-95, |
| COM-01-9365 |
|
|
| |
 |
|
| Paper |
Preparation of Thieno[2,3-b]pyrazines as Bioisosteres for Quinoxaline Derivatives wiht Reverse Transcriptase Inhibition
|
Thomas Erker* and Karin Trinkl
|
| Vol 57, Issue 1, 2002, pp.97-110, |
| COM-01-9371 |
|
|
| |
 |
|
| Paper |
Synthetic Studies on Thiostrepton Family of Peptide Antibiotics: Synthesis of the Tetrasubstituted Dihydroquinoline Portion of Siomycin D1
|
Syuhei Higashibayashi, Tomonori Mori, Kazuyuki Shinko, Kimiko Hashimoto,* and Masaya Nakata
|
| Vol 57, Issue 1, 2002, pp.111-122, |
| COM-01-9375 |
|
|
| |
 |
|
| Note |
Acetylated Dimethoxyaniline as a Key Intermediate for the Synthesis of Aminoflavones and Quinolones
|
Nabajyoti Deka, Mohamed Hadjeri, Martin Lawson, Chantal Beney, and Ahcene Boumendjel*
|
| Vol 57, Issue 1, 2002, pp.123-128, |
| COM-01-9366 |
|
|
| |
 |
|
| Note |
A New Ring-Forming Methodology for the Synthesis of Bioactive Pyrroloquinoline Derivatives
|
Margarita Vlachou, Andrew Tsotinis,* Lloyd R. Kelland, and David E. Thurston
|
| Vol 57, Issue 1, 2002, pp.129-133, |
| COM-01-9373 |
|
|
| |
 |
|
| Note |
Formation of a New Polycyclic Heteroring System by the Acid-catalyzed Rearrangement of Thebaine in the Presence of Thiosalicylic Acid
|
Sándor Berényi,* Miklós Tóth, Susanna Gyulai, and László Szilágyi
|
| Vol 57, Issue 1, 2002, pp.135-142, |
| COM-01-9378 |
|
|
| |
 |
|
| Note |
Silver Ion-mediated Desulfurization-Condensation of Thiocarbonyl Compounds
|
Isao Shibuya,* Yasuo Gama, Masao Shimizu, and Midori Goto
|
| Vol 57, Issue 1, 2002, pp.143-149, |
| COM-01-9384 |
|
|
| |
 |
|
| Note |
New Guaiane-Type Sesquiterpene Lactones from Hemisteptia lyrata Bunge
|
Tae Joung Ha, Min Suk Yang, Yunbae Pak, Jong Rok Lee, Kyung Dong Lee,
Hwan Mook Kim, and Ki Hun Park*
|
| Vol 57, Issue 1, 2002, pp.151-155, |
| COM-01-9387 |
|
|
| |
 |
|
| Review |
Biologically Active Substances from Mushrooms in Yunnan, China
|
Liu Jikai
|
| Vol 57, Issue 1, 2002, pp.157-167, |
| REV-01-543 |
|
|
| |
 |
|
| Review |
Calixpyrroles and Related Compounds
|
Wanda Sliwa
|
| Vol 57, Issue 1, 2002, pp.169-185, |
| REV-01-544 |
|
|
| |
 |
|
| Communication |
Electrochemical Reactions of Dihydroazaazulanones Possessing a Spirocyclic Moiety: Ring Cleavages of the Spiro-rings, Hydrogen Migrations and Formations of Azaazulanones
|
Katsuhiro Saito* and Ryosuke Ueno
|
| Vol 57, Issue 2, 2002, pp.219-222, |
| COM-01-9382 |
|
|
| |
 |
|
| Communication |
Nucleophilic Substitution Reaction of 5-t-Butyl-2-methoxy-3H-azepine with Alkoxides and Alkyllithium Reagents: A Formation of Bis(5-t-butyl-3H-azepin-2-yl)methane Having a Vinamidine Conjugation
|
Kyosuke Satake,* Yasuhiro Kubota, Hideki Okamoto, and Masaru Kimura
|
| Vol 57, Issue 2, 2002, pp.223-228, |
| COM-01-9397 |
|
|
| |
 |
|
| Communication |
Stereoselective C-Allylation of 1-C-Alkyl-2,3,4,6-tetra-O-benzyl-D-glucopyranoses with Allyltrimethylsilane
|
Takashi Yamanoi* and Yoshiki Oda
|
| Vol 57, Issue 2, 2002, pp.229-234, |
| COM-01-9415 |
|
|
| |
 |
|
| Communication |
[2π+2σ] Type Cycloaddition Reactions of Iminotropone Derivatives with Naphtho[b]cyclopropene to Form Cyclic Amine Compounds
|
Katsuhiro Saito,* Katsuhiko Ono, Narie Ito, Naoe Tada, and Shinichi Ando
|
| Vol 57, Issue 2, 2002, pp.235-240, |
| COM-01-9416 |
|
|
| |
 |
|
| Communication |
Ruthenium-catalyzed Ring-opening Cross-Metathesis Reaction of 2-Azabicyclo[2.2.1]hept-5-en-3-one
|
Minoru Ishikura,* Makoto Saijo, and Ayako Hino
|
| Vol 57, Issue 2, 2002, pp.241-244, |
| COM-01-9420 |
|
|
| |
 |
|
| Paper |
Reactions of 5,5-Dimethyl-4-methylene-1,3-dioxolan-2-one with Amines in the Presence of Palladium Catalyst
|
Min Shi,* Yu-Mei Shen, and Ya-Jun Chen
|
| Vol 57, Issue 2, 2002, pp.245-257, |
| COM-01-9379 |
|
|
| |
 |
|
| Paper |
A Concise Synthesis of the Natural Carbazole Mukonine
|
Alejandra Zempoalteca and Joaquin Tamariz*
|
| Vol 57, Issue 2, 2002, pp.259-267, |
| COM-01-9388 |
|
|
| |
 |
|
| Paper |
An Efficient Transformation of Substituted N-Acyl-α-dehydro(1-naphthyl)alanines into 1,2-Dihydrobenzo[f]quinolinone Derivatives via Photoinduced Intramolecular Electron Transfer
|
Toyohisa Motohashi, Kei Maekawa, Kanji Kubo, Tetsutaro Igarashi, and Tadamitsu Sakurai*
|
| Vol 57, Issue 2, 2002, pp.269-292, |
| COM-01-9392 |
|
|
| |
 |
|
| Paper |
Stereoselective Synthesis of Substituted Tetrahydropyran Rings via 6-exo and 6-endo Selenoetherification
|
Carmela Aprile, Michelangelo Gruttadauria,* Paolo Lo Meo, Serena Riela, and Renato Noto
|
| Vol 57, Issue 2, 2002, pp.293-305, |
| COM-01-9404 |
|
|
| |
 |
|
| Paper |
Synthesis, 1H and 13C NMR Study of Pyrazoles Derived from Chiral Cyclohexanones (3-Methylcyclohexanone, Menthone, Pulegone, Dihydrocarvone and Carvone)
|
Robert Faure, Aline Frideling, Jean-Pierre Galy,* Ibon Alkorta, and José Elguero
|
| Vol 57, Issue 2, 2002, pp.307-316, |
| COM-01-9407 |
|
|
| |
 |
|
| Note |
A Preparative Route to Fused 4-Hydroxy-3-phenylindeno(benzothieno)pyridin-2-ones
|
Arielle Genevois-Borella, Marc Vuilhorgne, and Serge Mignani*
|
| Vol 57, Issue 2, 2002, pp.317-322, |
| COM-01-9377 |
|
|
| |
 |
|
| Note |
Preparation of a Useful Synthetic Precursor, 2-Substituted 4(3H)-Quinazolinone: Directed Lithiation and N3-Deprotection of 3-t-Butoxycarbonyl-4(3H)-quinazolinone
|
Osamu Sugimoto,* Yasuhiro Yamauchi, and Ken-ichi Tanji*
|
| Vol 57, Issue 2, 2002, pp.323-326, |
| COM-01-9386 |
|
|
| |
 |
|
| Note |
Formal Total Synthesis of Macrosphelide (+)-A, Effect on Marcolactonization Depended upon the Lactone Formation Position
|
Hiroshi Nakamura, Machiko Ono, Miho Makino, and Hiroyuki Akita*
|
| Vol 57, Issue 2, 2002, pp.327-336, |
| COM-01-9391 |
|
|
| |
 |
|
| Note |
The Absolute Configuration of Leiocarpin B
|
Qing Mu, Weidong Tang, Chaoming Li, Yongping Xu, Handong Sun, Liguang Lou, Xiaojiang Hao,* Bin Xu, and Chang Qi Hu
|
| Vol 57, Issue 2, 2002, pp.337-340, |
| COM-01-9399 |
|
|
| |
 |
|
| Note |
Synthesis and Cytotoxic Activity of Isoacronycine and Its Derivatives
|
Prokopios Magiatis, Sofia Mitaku,* Alain Pierré, and Ghanem Atassi
|
| Vol 57, Issue 2, 2002, pp.341-351, |
| COM-01-9402 |
|
|
| |
 |
|
| Note |
The Crystal and Molecular Structure of 2,3,5,6-Tetraphenyl-1,4-dithiin
|
Ian W. Jones and Patrick E. Hoggard*
|
| Vol 57, Issue 2, 2002, pp.353-356, |
| COM-01-9410 |
|
|
| |
 |
|
| Note |
A Synthesis of Orixiarine
|
Raju Nandha Kumar, Senniappan Thamarai Selvi, Thangaraj Suresh, and Palathurai Subramaniam Mohan*
|
| Vol 57, Issue 2, 2002, pp.357-360, |
| COM-01-9413 |
|
|
| |
 |
|
| Review |
Recent Advances in the Synthesis and Transformations of Heterocycles Mediated by Fluoride Ion Activated Organosilicon Compounds
|
Edgars Abele* and Edmunds Lukevics*
|
| Vol 57, Issue 2, 2002, pp.361-404, |
| REV-01-545 |
|
|
| |
 |
|
| Communication |
Nucleophilic Substitution Reaction on the Nitrogen of Indole Nucleus: A Novel Synthesis of 1-Aryltryptamines
|
Toshikatsu Hayashi, Wu Peng, Yu-ya Nakai, Koji Yamada, and Masanori Somei*
|
| Vol 57, Issue 3, 2002, pp.421-424, |
| COM-01-9417 |
|
|
| |
 |
|
| Communication |
A New Approach to 6-Nitro-1H-[1,4]-diazepines
|
Nagatoshi Nishiwaki,* Takuma Ogihara, Mina Tamura, Noriko Asaka, Kazushige Hori, Yasuo Tohda, and Masahiro Ariga*
|
| Vol 57, Issue 3, 2002, pp.425-428, |
| COM-02-9438 |
|
|
| |
 |
|
| Paper |
Silver Ion-mediated Desulfurization of N,N-Disubstituted 2-Hydroxythiobenzamides
|
Isao Shibuya,* Kazumasa Honda, Yasuo Gama, and Masao Shimizu
|
| Vol 57, Issue 3, 2002, pp.429-437, |
| COM-01-9396 |
|
|
| |
 |
|
| Paper |
A Structural and Conformational Study of 8-p-Nitrocinnamyl-3-propionyl-3,8-diazabicyclo[3.2.1]octane, Selective Agonist of μ-Opioid Receptors
|
Roberto Artali, Daniela Barlocco, Gabriella Bombieri,* and Fiorella Meneghetti
|
| Vol 57, Issue 3, 2002, pp.439-447, |
| COM-01-9398 |
|
|
| |
 |
|
| Paper |
Synthesis of New Atropisomers Derived from Methoxychloroacridine. Preparation of Enantiomerically Pure (aR)-(-)-2,2’-Dihydroxy-9,9’-biacridine
|
Anh Tuan Lormier, Gérard Boyer,* Robert Faure, and Jean Pierre Galy
|
| Vol 57, Issue 3, 2002, pp.449-463, |
| COM-01-9408 |
|
|
| |
 |
|
| Paper |
Practical Syntheses of 5-Trifluoromethyl-1H-indoles
|
Jean-Gilles Parmentier, Guillaume Poissonnet, and Solo Goldstein*
|
| Vol 57, Issue 3, 2002, pp.465-476, |
| COM-01-9411 |
|
|
| |
 |
|
| Paper |
New Cyclic Peptides from Citrus aurantium
|
Teruki Matsumoto, Noriko Tashiro, Koichi Nishimura, and Koichi Takeya*
|
| Vol 57, Issue 3, 2002, pp.477-482, |
| COM-01-9419 |
|
|
| |
 |
|
| Paper |
Benzo-1,4-oxathiins and Benzo-1,4-dithiins from 4,5-Disubstituted 1,2,3-Thiadiazoles
|
Alan R. Katritzky,* George N. Nikonov, Dmytro O. Tymoshenko, Elizabeth L. Moyano, and Peter J. Steel
|
| Vol 57, Issue 3, 2002, pp.483-489, |
| COM-01-9422 |
|
|
| |
 |
|
| Paper |
On the Reactions of 6-Phosphoranylideneaminouracils and Related 6-Aminouracils with 2,4,6-Cyclooctatrienone: Reactions of the Intermediates of Uracil-annulated 8-Azabicyclo[5,3,1]undecatetraene Ring Systems
|
Makoto Nitta* and Hiromi Kanda
|
| Vol 57, Issue 3, 2002, pp.491-499, |
| COM-01-9425 |
|
|
| |
 |
|
| Note |
Amino Acid-derived 4-Alkyl-4-carboxy-2-azetidinones. New Insights into β-Lactam Ring Formation and N-Deprotection
|
Guillermo Gerona-Navarro, Ma Angeles Bonache, Nuria Reyero, Ma Teresa García-López, and Rosario González-Muñiz*
|
| Vol 57, Issue 3, 2002, pp.501-513, |
| COM-01-9400 |
|
|
| |
 |
|
| Note |
Design and Synthesis of a Novel Cyclophane as Host for Aryl Phosphate
|
Muneharu Miyake* and Craig S. Wilcox
|
| Vol 57, Issue 3, 2002, pp.515-522, |
| COM-01-9409 |
|
|
| |
 |
|
| Note |
Synthesis and Structural Assignment of Functionalized 8,9-Diazatricyclo[4.4.0.01,5]decane: A New Tricyclic System Including the Pyridazine Ring
|
Xavier Cachet, Brigitte Deguin, François Tillequin,* Michel Koch, and Angèle Chiaroni
|
| Vol 57, Issue 3, 2002, pp.523-528, |
| COM-01-9427 |
|
|
| |
 |
|
| Note |
The Sesquiterpenoid from Polyalthia cheliensis Hu
|
Wei Ming Zhu, Shun Lin Li, Yue Mao Shen, Xian Jiang Ning, Bi Tao Zhao, and Xiao Jiang Hao*
|
| Vol 57, Issue 3, 2002, pp.529-534, |
| COM-02-9435 |
|
|
| |
 |
|
| Review |
Survey of Briarane-Type Diterpenoids of Marine Origin
|
Ping-Jyun Sung,* Jyh-Horng Sheu, and Jun-Ping Xu
|
| Vol 57, Issue 3, 2002, pp.535-579, |
| REV-01-546 |
|
|
| |
 |
|
| Communication |
Synthesis, ESI and FAB Mass Spectrometry, and X-Ray Analysis of Di- and Tricationic Pyridinium Substituted Pyrimidines
|
Andreas Schmidt,* Pirjo Vainiotalo, Markus Karl Kindermann, and Martin Nieger
|
| Vol 57, Issue 4, 2002, pp.615-621, |
| COM-02-9440 |
|
|
| |
 |
|
| Communication |
Electrolytic Partial Fluorination of Organic Compounds. 59. Highly Regioselective Anodic Monofluorination of 2H-1,4-Pyrido[3,2-b]-1,4-oxazin-3(4H)-one Derivatives
|
Norio Iwayasu, Mohamed R. Shaaban, and Toshio Fuchigami*
|
| Vol 57, Issue 4, 2002, pp.623-629, |
| COM-02-9448 |
|
|
| |
 |
|
| Communication |
The First Reliable, General Synthesis of the 5-Oxo Derivatives of 5,6-Dihydro-1,2,4-triazolo[4,3-c]pyrimidine and the Rates of Isomerization of the [4,3-c] Compounds into Their [1,5-c] Isomers
|
Tomohisa Nagamatsu* and Takayuki Fujita
|
| Vol 57, Issue 4, 2002, pp.631-636, |
| COM-02-9450 |
|
|
| |
 |
|
| Paper |
Chemoselective Debezylation of the N-1-Phenylethyl Goup in 2-Oxazolidinones by the Anisole-Methanesulfonic Acid System
|
Shigeo Sugiyama, Kenji Morishita, Mariko Chiba, and Keitaro Ishii*
|
| Vol 57, Issue 4, 2002, pp.637-648, |
| COM-01-9429 |
|
|
| |
 |
|
| Paper |
A Simple and Practical Preparation of 2,4-Disubstituted 1-Benzotelluropyrylium Salts
|
Haruki Sashida* and Masahiro Yoshida
|
| Vol 57, Issue 4, 2002, pp.649-656, |
| COM-02-9443 |
|
|
| |
 |
|
| Paper |
Quadruple Photocyclization Reaction Leading to the Cyclophanes Containing Two Benzo[1,2-b:5,4-b’]difuran Rings
|
Kwanghee Koh Park* and Hongsan Lim
|
| Vol 57, Issue 4, 2002, pp.657-664, |
| COM-02-9446 |
|
|
| |
 |
|
| Paper |
Photocycloaddition of 6-Cyano-1,3-dimethyluracil to Alkenes; Synthesis of Tetrahydrocyclobutapyrimidine-6a-carbonitriles
|
Kazue Ohkura, Hideaki Nakamura, Tatsuyuki Sugaoi, Akiyo Sakushima, Hajime Takahashi, and Koh-ichi Seki*
|
| Vol 57, Issue 4, 2002, pp.665-676, |
| COM-02-9451 |
|
|
| |
 |
|
| Paper |
About the Factors Which Govern the Ring-opening of α-Lactams with Benzylamine I. The Relative Stability of the α-Lactam and the Substituent on Nitrogen
|
István Lengyel,* Victor Cesare, Sihao Chen, and Tony Taldone
|
| Vol 57, Issue 4, 2002, pp.677-695, |
| COM-02-9453 |
|
|
| |
 |
|
| Note |
Chemical Oxidation of Synthetic Iron(III)-Complex of 15-Phenyl Protoporphyrin IX
|
Fernando Niemevz, Diego E. Alvarez, and Graciela Y. Buldain*
|
| Vol 57, Issue 4, 2002, pp.697-704, |
| COM-01-9369 |
|
|
| |
 |
|
| Note |
The Determination of Enantiomeric Excess of the Products of Baker’s Yeast-mediated Reduction of δ-Alkoxycarbonyl-β-keto Esters, via the Derivation to Alexakis’ Alkoxydiazaphosphoridine
|
Jacek Nowacki, Jerzy Szychowski, Krystyna Wojtasiewicz, Iwona Matuszewska, Magdalena Jaremko, and Zbigniew Czarnocki*
|
| Vol 57, Issue 4, 2002, pp.705-714, |
| COM-01-9403 |
|
|
| |
 |
|
| Note |
Two New Withanolides from the Aerial Parts of Datura innoxia
|
Bina S. Siddiqui,* Imran Ali Hashmi, and Sabira Begum
|
| Vol 57, Issue 4, 2002, pp.715-721, |
| COM-01-9430 |
|
|
| |
 |
|
| Note |
Simple Synthesis of Ring-fused Pyridazin-3-ones
|
Koichi Suzuki, Akihiro Senoh, and Kazunori Ueno*
|
| Vol 57, Issue 4, 2002, pp.723-731, |
| COM-01-9431 |
|
|
| |
 |
|
| Note |
Flavone Glycosides and Bergenin Derivatives from Tridax procumbens
|
Erum Akbar, Abdul Malik,* Nighat Afza, and S. M. Abdul Hai
|
| Vol 57, Issue 4, 2002, pp.733-739, |
| COM-02-9432 |
|
|
| |
 |
|
| Note |
The Formation of Spiro-bridged Dimers of Cyclooctane-1,2-dicarbonyl Compounds via Domino Aldol-Cycloalkylation
|
Michael Oelgemöller, Keijiro Fukui, Dusan Hesek, Fumiko Aoki, Makiko Niki, and Yoshihisa Inoue*
|
| Vol 57, Issue 4, 2002, pp.741-747, |
| COM-02-9456 |
|
|
| |
 |
|
| Communication |
Enantioselective Synthesis of (-)-N-Boc-7-azabicyclo[2.2.1]heptan-2-one and (+)-N-Boc-4-amino-2-cyclohexen-1-one: Formal Total Synthesis of Both Enantiomers of Epibatidine
|
Toru Tachihara, Hiroyuki Watanabe, and Takeshi Kitahara*
|
| Vol 57, Issue 5, 2002, pp.781-785, |
| COM-02-9459 |
|
|
| |
 |
|
| Communication |
Formation of Boroxine: Its Stability and Thermodynamic Parameters in Solution
|
Yuji Tokunaga,* Hiroki Ueno, Youji Shimomura, and Toshihiro Seo
|
| Vol 57, Issue 5, 2002, pp.787-790, |
| COM-02-9464 |
|
|
| |
 |
|
| Paper |
4-[3-Dimethylamino-1-(2-dimethylaminovinyl]prop-2-enylidene]-2-phenyl-1,3-oxazol-5(4H)-one and 5-[3-Dimethylamino-1-(2-dimethylaminovinyl)prop-2-enylidene]-3-methyl-2-thioxo-1,3-thiazolidin-4-one in the Synthesis of 1,4-Dihydropyridine Derivatives
|
Ales Hvala, Lucija Jukic Sorsak, Gorazd Sorsak, Urska Bratusek, Jurij Svete,* Nina Lah, Ivan Leban, and Branko Stanovnik*
|
| Vol 57, Issue 5, 2002, pp.791-809, |
| COM-02-9433 |
|
|
| |
 |
|
| Paper |
A Generalized Synthesis of 3-Amino-5-aryl-, 3-Amino-5-polyfluorophenyl-, and 3-Amino-5-alkyl-1,2,4-oxadiazoles through Ring-degenerate Rearrangements
|
Silvestre Buscemi,* Andrea Pace, Vincenzo Frenna, and Nicolò Vivona
|
| Vol 57, Issue 5, 2002, pp.811-823, |
| COM-02-9436 |
|
|
| |
 |
|
| Paper |
Synthesis of Asymmetric Dibenzophosphole 5-Oxides: The First Dibenzophosphole-based Family of Compounds with Liquid Crystalline Behaviour
|
Ernesto Durán, Dolores Velasco, and Francisco López-Calahorra*
|
| Vol 57, Issue 5, 2002, pp.825-855, |
| COM-02-9437 |
|
|
| |
 |
|
| Paper |
Synthesis of Heterocycle Substituted 1-Aryl-4-piperidones
|
Baihua Hu,* Michael Malamas, and John Ellingboe
|
| Vol 57, Issue 5, 2002, pp.857-870, |
| COM-02-9447 |
|
|
| |
 |
|
| Paper |
Synthesis of 8-Substituted Xanthine Derivatives by Suzuki Cross-Coupling Reaction
|
Karl Vollmann and Christa E. Müller*
|
| Vol 57, Issue 5, 2002, pp.871-879, |
| COM-02-9463 |
|
|
| |
 |
|
| Paper |
Synthesis of N-Oxydihydropyrrole Derivatives
|
Mitsuru Ito,* Hideshi Okui, Harumi Nakagawa, Shigeru Mio, Toshiaki Iwasaki, and Jun Iwabuchi
|
| Vol 57, Issue 5, 2002, pp.881-894, |
| COM-02-9467 |
|
|
| |
 |
|
| Paper |
Ring-Chain Tautomerism of Halogenated Phenolphthaleins: Vibrational Spectroscopic and Semiempirical MO Study
|
Ko-ki Kunimoto,* Hiromasa Sugiura, Toshiyuki Kato, Hitoshi Senda, Akio Kuwae, and Kazuhiko Hanai
|
| Vol 57, Issue 5, 2002, pp.895-901, |
| COM-02-9469 |
|
|
| |
 |
|
| Note |
A Synthesis of a Hydroxyvaline-derived Thiazole-4-carboxylate Constituting an Antibiotic, Thiocilline I
|
Yasuchika Yonezawa, Hirofumi Saito, Syusuke Suzuki, and Chung-gi Shin*
|
| Vol 57, Issue 5, 2002, pp.903-908, |
| COM-02-9458 |
|
|
| |
 |
|
| Note |
Efficient N-Sulfenylation of Dihydropyrrole Derivatives Using N-Sulfenylphthalimides
|
Mitsuru Ito,* Hideshi Okui, Harumi Nakagawa, Shigeru Mio, Toshiaki Iwasaki, and Jun Iwabuchi
|
| Vol 57, Issue 5, 2002, pp.909-914, |
| COM-02-9468 |
|
|
| |
 |
|
| Review |
1,2-Oxazines and Their N-Oxides in Synthesis
|
Petros G. Tsoungas
|
| Vol 57, Issue 5, 2002, pp.915-953, |
| REV-02-548 |
|
|
| |
 |
|
| Paper |
First Rotameric Anti Dimers and 3,9-Diazatetraasteranes from Unsymmetrically Substituted N-Acyl and N-Acyloxy-4-aryl-1,4-dihydropyridines
|
Andreas Hilgeroth,* Frank W. Heinemann, and Ute Baumeister
|
| Vol 57, Issue 6, 2002, pp.1003-1016, |
| COM-01-9423 |
|
|
| |
 |
|
| Paper |
Synthesis of 3-Substituted 5-Arylidene-1-methyl-2-thiohydantoins under Microwave Irradiation
|
Ahmed I. Khodair and John Nielsen*
|
| Vol 57, Issue 6, 2002, pp.1017-1032, |
| COM-02-9452 |
|
|
| |
 |
|
| Paper |
The Synthesis of 2,2-Disubstituted-3-nitrochromenes from Salicylaldehyde and 2,2-Disubstituted-1-nitroalkenes
|
Ming-Chung Yan, Yeong-Jiunn Jang, Wen-Yu Kuo, Zhijay Tu, Kao-Hsien Shen, Ting-Shen Cuo, Chuen-Her Ueng, and Ching-Fa Yao*
|
| Vol 57, Issue 6, 2002, pp.1033-1048, |
| COM-02-9454 |
|
|
| |
 |
|
| Paper |
Synthesis of Coumaran-5-ols — New Model Compounds for Bioantioxidants
|
Uta Schädel and Wolf D. Habicher*
|
| Vol 57, Issue 6, 2002, pp.1049-1055, |
| COM-02-9457 |
|
|
| |
 |
|
| Paper |
Dimeric Stilbenes from Stem Lianas of Gnetum africanum
|
Ibrahim Iliya, Toshiyuki Tanaka,* Munekazu Iinuma, Zulfiqar Ali, Miyuki Furasawa, and Ken-ichi Nakaya
|
| Vol 57, Issue 6, 2002, pp.1057-1062, |
| COM-02-9471 |
|
|
| |
 |
|
| Paper |
Synthesis of 1,2-Dihydrobenz[c]azepin-3-one via Acid-catalyzed Cyclization of N-Arylmethyl-N-methyl-3-phenylsulfanylacrylamide
|
Yoshie Horiguchi,* Toshiaki Saitoh, Tomoko Kashiwagi, Lisa Katura, Mayumi Itagaki, Jun oda, and Takehiro Sano
|
| Vol 57, Issue 6, 2002, pp.1063-1077, |
| COM-02-9472 |
|
|
| |
 |
|
| Paper |
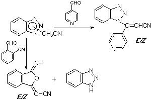
Synthesis of E/Z 3-(1H-Benzotriazol-1-yl)-3-(pyridin-4-yl)acrylonitriles and E/Z 2-(3-Imino-2-benzofuran-1(3H)-ylidene)acetonitriles. An Unusual Case of Displacement of the Benzotriazole Ring
|
Antonio Carta, Paolo Sanna,* and Alessia Bacchi
|
| Vol 57, Issue 6, 2002, pp.1079-1090, |
| COM-02-9474 |
|
|
| |
 |
|
| Paper |
One-Step Synthesis of Optically Active Cyclic Polyamines Containing Helicene
|
Shinobu Honzawa, Shinya Chiba, Hitoshi Okubo, and Masahiko Yamaguchi*
|
| Vol 57, Issue 6, 2002, pp.1091-1099, |
| COM-02-9475 |
|
|
| |
 |
|
| Paper |
Synthesis of 2,4-Disubstituted Indoles via Thermal Cyclization of N-Trifluoroacetyl Enehydrazines
|
Okiko Miyata, Norihiko Takeda, and Takeaki Naito*
|
| Vol 57, Issue 6, 2002, pp.1101-1107, |
| COM-02-9476 |
|
|
| |
 |
|
| Paper |
Synthesis of New Friedländer Synthon and Its Application towards the Construction of Pyrido[3,2-c]acridines
|
Jong Keun Son, Jae Keun Son, and Yurngdong Jahng*
|
| Vol 57, Issue 6, 2002, pp.1109-1115, |
| COM-02-9487 |
|
|
| |
 |
|
| Note |
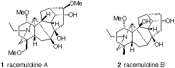
Two New C19-Diterpenoid Alkaloids from Aconitum racemulosum Franch var. Pengzhouense
|
Chong-Sheng Peng, Qiao-Hong Chen, Dong-Lin Chen, Xi-Xian Jian, and Feng-Peng Wang*
|
| Vol 57, Issue 6, 2002, pp.1117-1120, |
| COM-02-9455 |
|
|
| |
 |
|
| Note |
Synthesis of Fused Heterocyclic Ring Systems Related to 6-Amino-1,4-dihydro-3-methyl-1-phenyl-4-thioxothiopyrano[4,3-c]pyrazole-7-carbonitrile
|
Maymona M. Kandeel, Ragaa A. Ahmed, and Mohamed Salah K. Youssef*
|
| Vol 57, Issue 6, 2002, pp.1121-1133, |
| COM-02-9460 |
|
|
| |
 |
|
| Note |
The Reactions of Hydroiodide of 2-Amino-1-substituted Guanidine Derivatives with Aromatic Isothiocyanates
|
Maria Dobosz* and Monika Wujec
|
| Vol 57, Issue 6, 2002, pp.1135-1141, |
| COM-02-9461 |
|
|
| |
 |
|
| Note |
An Efficient Synthesis of N-Boc-D-diphenylalanine from a Chiral Azirdine-2-carboxylate
|
Jae-Won Chang, Hyun-Joon Ha,* Chan Sun Park, Min Sung Kim, and Won Koo Lee*
|
| Vol 57, Issue 6, 2002, pp.1143-1148, |
| COM-02-9489 |
|
|
| |
 |
|
| Review |
Synthesis of 1,2-Oxazines and Their N-Oxides
|
Petros G. Tsoungas
|
| Vol 57, Issue 6, 2002, pp.1149-1178, |
| REV-02-547 |
|
|
| |
 |
|
| Communication |
Effects of Base, Electrophile, and Substrate on the Selective Alkylation of Heteroaromatic Systems
|
Thomas E. Smith,* Michelle S. Mourad, and Alan J. Velander
|
| Vol 57, Issue 7, 2002, pp.1211-1217, |
| COM-02-9479 |
|
|
| |
 |
|
| Communication |
Synthetic Studies toward Hennoxazole A. Use of a Selective Bisoxazole Alkylation as the Key Fragment Coupling
|
Thomas E. Smith* and Emily P. Balskus
|
| Vol 57, Issue 7, 2002, pp.1219-1225, |
| COM-02-9480 |
|
|
| |
 |
|
| Communication |
Selective Protection of 5-Aminobenzotriazole for Controlled Reaction at the Primary Amine
|
Denise McKeown, Callum J. McHugh, Ailie McCabe, W. Ewen Smith, and Duncan Graham*
|
| Vol 57, Issue 7, 2002, pp.1227-1230, |
| COM-02-9497 |
|
|
| |
 |
|
| Communication |
Reactions of 1-Methoxy-3-(2-nitrovinyl)indole with Nucleophiles: An Interesting Solvent Effect and a Novel Preparation of 3-Substituted 1-Methoxyindoles
|
Koji Yamada, Fumio Yamada, and Masanori Somei*
|
| Vol 57, Issue 7, 2002, pp.1231-1234, |
| COM-02-9503 |
|
|
| |
 |
|
| Communication |
Preparatory Study for the Synthesis of the Marine Sponge Alkaloids Asmarines A-F: Synthesis of Their Heterocyclic Portions
|
Masashi Ohba* and Takahiro Tashiro
|
| Vol 57, Issue 7, 2002, pp.1235-1238, |
| COM-02-9512 |
|
|
| |
 |
|
| Communication |
Photo-stimulated Heterolysis of the C(=O)-O Bond in (Z)-N-Acetyl-α-dehydrophenylalanine Aryl Ester Derivatives
|
Hideki Hoshina, Kentaro Nakayama,Tetsutaro Igarashi, and Tadamitsu Sakurai*
|
| Vol 57, Issue 7, 2002, pp.1239-1245, |
| COM-02-9515 |
|
|
| |
 |
|
| Paper |
Effect of the N6-Methyl Group on Adenine Ring on the Intramolecular Base-Pairing of Adenine with Thymine in Various Solvents
|
Toshio Itahara*
|
| Vol 57, Issue 7, 2002, pp.1247-1256, |
| COM-02-9488 |
|
|
| |
 |
|
| Paper |
A New Synthesis of 1,2-Diazetines via Simple Cycloacylation Reactions
|
Daniela Pufky, Rainer Beckert,* Manfred Döring, and Olaf Walter
|
| Vol 57, Issue 7, 2002, pp.1257-1264, |
| COM-02-9490 |
|
|
| |
 |
|
| Note |
Anti HSV-1 Alkaloids from a Feeding Deterrent Marine Sponge of the Genus Aaptos
|
Angelica F. Coutinho, Brian Chanas, Thiago M. L. e Souza, Izabel C. P. P. Frugrulhetti, and Rosângela de A. Epifanio*
|
| Vol 57, Issue 7, 2002, pp.1265-1272, |
| COM-02-9466 |
|
|
| |
 |
|
| Note |
Oxidative Coupling of Indoline-2-thione or Oxindole: Formation of Cyclic and Acyclic Indole Trimers
|
Tomasz Janosik and Jan Bergman*
|
| Vol 57, Issue 7, 2002, pp.1273-1278, |
| COM-02-9477 |
|
|
| |
 |
|
| Note |
5-(3-Quinolinylthio)methyl-tetrahydro-2-furanones from 3,3’-Bis(4-substituted quinolinyl) Disulfides
|
Krzysztof Marciniec, Andrzej Maslankiewicz,* and Stanislaw Boryczka
|
| Vol 57, Issue 7, 2002, pp.1279-1286, |
| COM-02-9482 |
|
|
| |
 |
|
| Note |
Two New Pyranoflavanones from the Stems Derris reticulata
|
Chulabhorn Mahidol, Hunsa Prawat, Wirongrong Kaweetripob, and Somsak Ruchirawat*
|
| Vol 57, Issue 7, 2002, pp.1287-1292, |
| COM-02-9483 |
|
|
| |
 |
|
| Note |
Syntheses of 3-Acylindoles via the Alkylation of the Dianion of 3-Acetylindole
|
Jeffrey H. Byers* and Yong Zhang
|
| Vol 57, Issue 7, 2002, pp.1293-1297, |
| COM-02-9486 |
|
|
| |
 |
|
| Note |
Rapid Synthesis of Acridines Using Microwave
|
Hideko Koshima* and Kosuke Kutsunai
|
| Vol 57, Issue 7, 2002, pp.1299-1302, |
| COM-02-9493 |
|
|
| |
 |
|
| Note |
Pyrrolizine and Indolizine Derivatives from 1,6-Dioxo-2,4-diene by Inter- and Intramolecular Ring Closure
|
Chi Wi Ong,* Ming Chih Lai, Jing Jyh Jan, and Yu An Chang
|
| Vol 57, Issue 7, 2002, pp.1303-1311, |
| COM-02-9494 |
|
|
| |
 |
|
| Note |
Reaction of Lithiotrimethylsilyldiazomethane with α-Oxoketene Dithioacetals
|
Rina Miyabe, Takayuki Shioiri, and Toyohiko Aoyama*
|
| Vol 57, Issue 7, 2002, pp.1313-1318, |
| COM-02-9495 |
|
|
| |
 |
|
| Note |
Synthesis and Anticoccidial Activity of Some Azacyclo Organoborinates
|
Hitoshi Tabuchi, Harumoto Kawaguchi, Hisashi Taniguchi, Hideyuki Imazaki, and Yoshio Hayase*
|
| Vol 57, Issue 7, 2002, pp.1319-1326, |
| COM-02-9496 |
|
|
| |
 |
|
| Review |
Syntheses of (-)-Physostigmine, with Particular Emphasis upon the Clarification of Two Enigmatic Early Synthetic Approaches
|
Brian Robinson
|
| Vol 57, Issue 7, 2002, pp.1327-1352, |
| REV-01-542 |
|
|
| |
 |
|
| Review |
Methods for Preparation of γ- and δ-Oxoacids as Useful Synthons for Heterocycles
|
Ferenc Csende and Géza Stájer*
|
| Vol 57, Issue 7, 2002, pp.1353-1365, |
| REV-02-549 |
|
|
| |
 |
|
| Communication |
Asymmetric Epoxidation of Aldehydes Catalyzed by New C2-Symmetrical Chiral Sulfide
|
Miyuki Ishizaki* and Osamu Hoshino*
|
| Vol 57, Issue 8, 2002, pp.1399-1402, |
| COM-02-9520 |
|
|
| |
 |
|
| Communication |
Photochemical Synthesis of Naphthocyclobutapyrimidines via 1,2-Cycloaddition of 6-Chloro-1,3-dimethyluracil with Naphthalenes
|
Kazue Ohkura, Shun Uchiyama, Kazuya Aizawa, Ken-ichi Nishijima, and Koh-ichi Seki*
|
| Vol 57, Issue 8, 2002, pp.1403-1408, |
| COM-02-9526 |
|
|
| |
 |
|
| Communication |
Facile Synthesis of [5.n.1.01,5]Tricycles Mediated by Intramolecular Pauson-Khand Reaction of 3-Alkynyl-1-alkylidenecyclic Compounds
|
Miyuki Ishizaki,* Mina Masamoto, and Osamu Hoshino*
|
| Vol 57, Issue 8, 2002, pp.1409-1412, |
| COM-02-9536 |
|
|
| |
 |
|
| Paper |
Synthesis and NMR Structural Assignment of 3-Benzoylpyrrolo[2,3-b]quinoxalin-2(4H)-ones
|
Katarzyna Ostrowska,* Marek Zylewski, and Krzysztof Walocha
|
| Vol 57, Issue 8, 2002, pp.1413-1421, |
| COM-02-9499 |
|
|
| |
 |
|
| Paper |
Microwave Assisted Synthesis of New Benzimidazoles
|
Yves Njoya, Narimène Boufatah, Armand Gellis, Pascal Rathelot, Michel P. Crozet, and Patrice Vanelle*
|
| Vol 57, Issue 8, 2002, pp.1423-1432, |
| COM-02-9500 |
|
|
| |
 |
|
| Paper |
A Synthesis of Oxygenated 1-Azaanthraquinones via Diels-Alder Reaction of 2,4-Dioxygenated Quinoline-5,8-diones with 1-Methoxy-3-trimethylsilyloxy-1,3-butadiene
|
Yoshie Horiguchi,* Noriko Fukuda, Mutsumi Takada, and Takehiro Sano
|
| Vol 57, Issue 8, 2002, pp.1433-1444, |
| COM-02-9502 |
|
|
| |
 |
|
| Paper |
Reactions of α-Oxo Ketenes with Amides: Experimental Data and Semiempirical AM1 Molecular Orbital Calculations
|
Emin Saripinar,* Ilhan Ozer Ilhan, and Yunus Akçamur
|
| Vol 57, Issue 8, 2002, pp.1445-1459, |
| COM-02-9504 |
|
|
| |
 |
|
| Paper |
Controlled Synthesis of Electron Deficient Nitro-1H-benzotriazoles
|
Callum J. McHugh, Daniel R. Tackley, and Duncan Graham*
|
| Vol 57, Issue 8, 2002, pp.1461-1470, |
| COM-02-9505 |
|
|
| |
 |
|
| Paper |
New Synthetic Route to Tetracyclic Quinazolin-4(3H)-one Ring System
|
Pramod K. Mohanta and Kyongtae Kim*
|
| Vol 57, Issue 8, 2002, pp.1471-1485, |
| COM-02-9508 |
|
|
| |
 |
|
| Paper |
Asymmetric Nucleophilic Addition Reactions of Aldehydes with Optically Active Dithioacetals and Their Application to Optically Active α-Hydroxy Ketone Synthesis
|
Hideo Taka, Ken-ichi Fujita,* Akihiro Oishi, and Yoichi Taguchi
|
| Vol 57, Issue 8, 2002, pp.1487-1493, |
| COM-02-9516 |
|
|
| |
 |
|
| Note |
New Diterpenoid Alkaloid from Spiraea formosana
|
Tian-Shung Wu,* Chia-Chan Hwang, Ping-Chung Kuo, A. G. Damu, Cheng-Jen Chou, and Chieh-Fu Chen
|
| Vol 57, Issue 8, 2002, pp.1495-1500, |
| COM-02-9509 |
|
|
| |
 |
|
| Note |
Synthesis of 1,4-Benzodiazepine-2,5-dione Derivatives
|
Tong-Ing Ho,* Wen-Shiong Chen, Chi-Wei Hsu, Yeun-Min Tsai, and Jim-Min Fang
|
| Vol 57, Issue 8, 2002, pp.1501-1506, |
| COM-02-9525 |
|
|
| |
 |
|
| Note |
Four Dimeric Stilbenes in Stem Lianas of Gnetum Africanum
|
Ibrahim Iliya, Toshiyuki Tanaka,* Munekazu Iinuma, Zulfiqar Ali, Miyuki Furasawa, Ken-ichi Nakaya, Nobuyasu Matsuura, and Makoto Ubukata
|
| Vol 57, Issue 8, 2002, pp.1507-1512, |
| COM-02-9527 |
|
|
| |
 |
|
| Note |
Synthesis of 2,2’,2”,2”’-(1,2- Ethanediylidene)tetrafuran and Diels-Alder Reaction with Dimethyl Acetylenedicarboxylate
|
Marc-Etienne Schwenter, Kurt Schenk, Rosario Scopelliti, and Pierre Vogel*
|
| Vol 57, Issue 8, 2002, pp.1513-1524, |
| COM-02-9534 |
|
|
| |
 |
|
| Review |
Synthetic Applications of Lewis Acid-Induced N-Methyleneamine Equivalents
|
Hyun-Joon Ha* and Won Koo Lee*
|
| Vol 57, Issue 8, 2002, pp.1525-1538, |
| REV-02-550 |
|
|
| |
 |
|
| Review |
Polyhydroxylated Alkaloids with Lipophilic Moieties as Glycosidase Inhibitors from Higher Plants
|
Makio Shibano, Daisuke Tsukamoto, and Genjiro Kusano*
|
| Vol 57, Issue 8, 2002, pp.1539-1553, |
| REV-02-551 |
|
|
| |
 |
|
| Communication |
Intermolecular Photoreaction of Arenecarbothioamide with 3-Methyl- and 2,4-Dimethylfurans: a Novel Formation of 2-Arylthiophene Derivatives through Photoinduced Reaction
|
Kazuaki Oda,* Hisao Tsujita, and Minoru Machida*
|
| Vol 57, Issue 9, 2002, pp.1587-1590, |
| COM-02-9539 |
|
|
| |
 |
|
| Communication |
Asymmetric Photocyclizations of Chiral Auxiliary-substituted N-Acyl-α-dehydroamino Acids into 1,2-Dihydrobenzoquinolinone Derivatives
|
Kei Maekawa,* Tetsutaro Igarashi, Kanji Kubo, and Tadamitsu Sakurai*
|
| Vol 57, Issue 9, 2002, pp.1591-1597, |
| COM-02-9559 |
|
|
| |
 |
|
| Paper |
A New General Route to Novel Azomethine Ylides for Cycloaddition Reactions
|
François-Xavier Lery, Nicole Kunesch, Pascal George, and Henri-Philippe Husson*
|
| Vol 57, Issue 9, 2002, pp.1599-1614, |
| COM-02-9484 |
|
|
| |
 |
|
| Paper |
On Selective Functionalization of meso-Tetraphenylporphyrin Derivatives by Vicarious Nucleophilic Substitution of Hydrogen
|
Stanislaw Ostrowski,* Agnieszka Mikus, Young Key Shim, Jong-Cheol Lee, Eun-Young Seo, Kee-In Lee, Marian Olejnik
|
| Vol 57, Issue 9, 2002, pp.1615-1626, |
| COM-02-9514 |
|
|
| |
 |
|
| Paper |
Synthesis of Analogs of Wasabi Phytoalexin (Methyl 1-Methoxyindole-3-carboxylate)
|
Koji Yamada, Yukiko Kanbayashi, Saori Tomioka, and Masanori Somei*
|
| Vol 57, Issue 9, 2002, pp.1627-1634, |
| COM-02-9533 |
|
|
| |
 |
|
| Paper |
Synthesis of 2- and 3-Benzoylindoles by Friedel-Crafts Reaction of Indole-2,3-dicarboxylic Anhydrides with Anisoles
|
Yasuyoshi Miki,* Yasuhiko Tsuzaki, Chika Kai, and Hiroko Hachiken
|
| Vol 57, Issue 9, 2002, pp.1635-1643, |
| COM-02-9537 |
|
|
| |
 |
|
| Paper |
Synthesis of 5H-Benzo[b]carbazole-6,11-diones from Benzoylindolecarboxylic Acids
|
Yasuyoshi Miki,* Yasuhiko Tsuzaki, and Hana Matsukida
|
| Vol 57, Issue 9, 2002, pp.1645-1651, |
| COM-02-9538 |
|
|
| |
 |
|
| Note |
Amides from the Seeds of Piper nigrum Linn. and Their Insecticidal Activity
|
Bina S. Siddiqui,* Tahsin Gulzar, and Sabira Begum
|
| Vol 57, Issue 9, 2002, pp.1653-1658, |
| COM-02-9518 |
|
|
| |
 |
|
| Note |
Syntheses of 3-Aminoquinoline-2,4(1H,3H)-diones
|
Stanislav Kafka, Antonín Klásek,* Jirí Polis, and Janez Kosmrlj
|
| Vol 57, Issue 9, 2002, pp.1659-1682, |
| COM-02-9522 |
|
|
| |
 |
|
| Note |
Convenient Preparation of Tacrine Derivatives by the Reduction of 9-Aminoacridines with Nickel-aluminum Alloy
|
Kichinosuke Kamata,* Yoh-ichi Tominaga, Akiyoshi Tori-i, Thies Thiemann, Kazufumi Takahashi, and Shuntaro Mataka*
|
| Vol 57, Issue 9, 2002, pp.1683-1688, |
| COM-02-9523 |
|
|
| |
 |
|
| Note |
A Convenient Synthesis of Highly Conjugated 5-Nitroimidazoles
|
Kamel Benakli, Thierry Terme, José Maldonado, and Patrice Vanelle*
|
| Vol 57, Issue 9, 2002, pp.1689-1695, |
| COM-02-9535 |
|
|
| |
 |
|
| Note |
Unexpected Formation of Pyrrolo[2,1-b]thiazoles by Rearrangement of α-Hydroxydihydro-1,4-thiazines
|
Hoh-Gyu Hahn,* Kee Dal Nam, and Heduck Mah
|
| Vol 57, Issue 9, 2002, pp.1697-1704, |
| COM-02-9540 |
|
|
| |
 |
|
| Review |
The Heterocyclic Natural Products of Gorgonian Corals of Genus Briareum Exclusive of Briarane-type Diterpenoids
|
Ping-Jyun Sung* and Ming-Chyuan Chen
|
| Vol 57, Issue 9, 2002, pp.1705-1715, |
| REV-02-553 |
|
|
| |
 |
|
| Review |
1,3-Dihydro-2,1-benzisothiazole 2,2-Dioxides (Benzosultams) in Organic Synthesis
|
Krzysztof Wojciechowski
|
| Vol 57, Issue 9, 2002, pp.1717-1740, |
| REV-02-554 |
|
|
| |
 |
|
| Communication |
Bifunctionalized Allenes. Part V. 3-Sulfinyl-2,5-dihydro-1,2λ5-oxaphosphol-2-ones and 3-Phosphoryl-1,2λ4-oxathiol-2(5H)-ones from 1-Sulfinyl-substituted Phosphorylated Allenes
|
Valerij Ch. Christov* and Boris Prodanov
|
| Vol 57, Issue 10, 2002, pp.1777-1780, |
| COM-02-9547 |
|
|
| |
 |
|
| Communication |
Palladium Catalyzed Double Substitution Reactions of Iodophenol and Iodoaniline Derivatives with Homo-conjugated Compounds to Form Cyclic Ether and Cyclic Amines through Homo-conjugated Interaction
|
Katsuhiro Saito,* Katsuhiko Ono, Makiko Sano, Shingo Kiso, and Toshihumi Takeda
|
| Vol 57, Issue 10, 2002, pp.1781-1786, |
| COM-02-9564 |
|
|
| |
 |
|
| Communication |
Two Novel 6-Hydroxyanthocyanins in the Flowers of Alstroemeria ‘Westland’
|
Fumi Tatsuzawa,* Norio Saito, Naho Murata, Koichi Shinoda, Atsushi Shigihara, and Toshio Honda
|
| Vol 57, Issue 10, 2002, pp.1787-1792, |
| COM-02-9567 |
|
|
| |
 |
|
| Communication |
Syntheses of (4R, 5S)- and (4S, 5R)-Muricatacins, and (4S, 5R)-Aza-Muricatacin, Unnatural Analogues of the Annonaceous Acetogenin
|
Hiroyuki Konno,* Naoki Hiura, and Moegi Yanaru
|
| Vol 57, Issue 10, 2002, pp.1793-1797, |
| COM-02-9570 |
|
|
| |
 |
|
| Paper |
N-Arylation by Aryl Isocyanates as a General Reaction: Useful Route to Disubstituted S,N-Diarylisothioureas
|
Alan R. Katritzky,* Xiaohong Cai, Vladimir Y. Vvedensky, Boris V. Rogovoy, Behrouz Forood, and Normand Hebert
|
| Vol 57, Issue 10, 2002, pp.1799-1806, |
| COM-02-9521 |
|
|
| |
 |
|
| Paper |
Stereoselective Synthesis of C-6 Substituted Pipecolic Acid Derivatives. Formal Synthesis of (+)-Indolizidine 167B and (+)-Indolizidine 209D
|
Sylvie Carbonnel and Yves Troin*
|
| Vol 57, Issue 10, 2002, pp.1807-1830, |
| COM-02-9529 |
|
|
| |
 |
|
| Paper |
Synthesis of Some Thiophene-fused Azepino[5,4,3-cd]indoles
|
Basem A. Moosa, Kayed A. Abu Safieh, and Mustafa M. El-Abadelah*
|
| Vol 57, Issue 10, 2002, pp.1831-1840, |
| COM-02-9551 |
|
|
| |
 |
|
| Paper |
Regioselective Preparation of Pterin 6-Triflate and Its Application to 6-Substituted Pterin Synthesis
|
Masato Kujime, Kazunari Kudoh, and Shizuaki Murata*
|
| Vol 57, Issue 10, 2002, pp.1841-1850, |
| COM-02-9561 |
|
|
| |
 |
|
| Paper |
About the Factors Which Govern the Ring-Opening of α-Lactams with Primary Amines: II. The Relative Basicity of the Amine
|
Victor Cesare,* Tony Taldone, and István Lengyel
|
| Vol 57, Issue 10, 2002, pp.1851-1868, |
| COM-02-9585 |
|
|
| |
 |
|
| Note |
1H NMR Evidence of C–H---O, C–H---N and C–H---Cl Hydrogen Bonds in New Thiazole Derivatives
|
Francisco Sánchez-Viesca* and Martha Berros
|
| Vol 57, Issue 10, 2002, pp.1869-1879, |
| COM-02-9478 |
|
|
| |
 |
|
| Note |
Improved Synthesis of N-Substituted 2,3-Pyridinedicarboximides with Microwave Irradiation
|
María M. Blanco, Gustavo J. Levin, Celia B. Schapira, and Isabel A. Perillo*
|
| Vol 57, Issue 10, 2002, pp.1881-1890, |
| COM-02-9524 |
|
|
| |
 |
|
| Note |
Fluorinated Heterocyclic Compounds. Synthesis of 5-Amino-, 5-N-Alkylamino-, and 5-N,N-Dialkylamino-3-perfluoroheptyl-1,2,4-oxadiazoles
|
Silvestre Buscemi,* Andrea Pace, Ivana Pibiri, and Nicolò Vivona
|
| Vol 57, Issue 10, 2002, pp.1891-1896, |
| COM-02-9531 |
|
|
| |
 |
|
| Note |
A Photochemical Route to Dibenzonaphthyrones
|
Yvette A. Jackson* and Karla-Sue C. Marriott
|
| Vol 57, Issue 10, 2002, pp.1897-1900, |
| COM-02-9532 |
|
|
| |
 |
|
| Note |
Prenylated Isoflavones from Derris scandens
|
Mayuree Chuankamnerdkarn,* Somyote Sutthivaiyakit, Nopporn Thasana, and Somchai Pisutjaroenpong
|
| Vol 57, Issue 10, 2002, pp.1901-1906, |
| COM-02-9544 |
|
|
| |
 |
|
| Note |
Synthesis of Dihydrothiophene Derivatives as Metabolites of Esonarimod
|
Toshiya Noguchi,* Akira Onodera, Kazuyuki Tomisawa, and Sadakazu Yokomori
|
| Vol 57, Issue 10, 2002, pp.1907-1914, |
| COM-02-9549 |
|
|
| |
 |
|
| Note |
A New Route to Benzo[b]xanthene-6,11,12-trione Derivatives Based on the Photoinduced o-Hydroxybenzoylation of 1,4-Naphthoquinone
|
Kazuhiro Kobayashi,* Akihiro Matsunaga, Masaaki Mano, Osamu Morikawa, and Hisatoshi Konishi
|
| Vol 57, Issue 10, 2002, pp.1915-1918, |
| COM-02-9557 |
|
|
| |
 |
|
| Note |
Synthesis of Heteromacrocycles Containing 2-Imino-5-mercapto-2,3-dihydro-1,3,4-thiadiazoles as a Subunit
|
Nam Sook Cho,* Jin Gap Oh, Hye Jeong Hwang, Jin-Guy Kim, and Il-hwan Suh
|
| Vol 57, Issue 10, 2002, pp.1919-1933, |
| COM-02-9558 |
|
|
| |
 |
|
| Note |
Synthesis of p-Phenylene-Vinylene-Thienylene Oligomers
|
Cuihua Xue and Fen-Tair Luo*
|
| Vol 57, Issue 10, 2002, pp.1935-1946, |
| COM-02-9577 |
|
|
| |
 |
|
| Communication |
Structures and Radical Scavenging Activities of Novel Norstilbene Dimer, Longusone A, and New Stilbene Dimers, Longusols A, B, and C, from Egyptian Herbal Medicine Cyperus longus
|
Toshio Morikawa, Fengming Xu, Hisashi Matsuda, and Masayuki Yoshikawa*
|
| Vol 57, Issue 11, 2002, pp.1983-1988, |
| COM-02-9596 |
|
|
| |
 |
|
| Communication |
A New Simple Method for the Synthesis of Thiophene Derivatives — Generation of Thiocarbonyl Ylides form S-α-(Dimethylphenylsilyl)benzyl Acylates and Their Cycloaddition with Acetylenic Dipolarophiles —
|
Mitsuo Komatsu,* Jinil Choi, Masatoshi Mihara, Yoji Oderaotoshi, and Satoshi Minakata
|
| Vol 57, Issue 11, 2002, pp.1989-1995, |
| COM-02-9616 |
|
|
| |
 |
|
| Paper |
A New Synthesis of Substituted 2,5-Dihydrobenzo[b]oxepines
|
Eng-Chi Wang,* Ming-Kun Hsu, Yu-Li Lin, and Keng-Shiang Huang
|
| Vol 57, Issue 11, 2002, pp.1997-2010, |
| COM-02-9545 |
|
|
| |
 |
|
| Paper |
Crystal and Molecular Structures of Racemic and Chiral 4-Phenyl-1,3-thiazolidine-2-thione
|
Ko-Ki Kunimoto,* Soh-ichi Kitoh, Masaki Ichitani, Norio Funaki, Akio Kuwae, and Kazuhiko Hanai
|
| Vol 57, Issue 11, 2002, pp.2011-2019, |
| COM-02-9556 |
|
|
| |
 |
|
| Paper |
A Synthesis of Substituted 3,6-Dihydro-1H-benzo[c]oxocines via Claisen Rearrangement and Ring-closing Metathesis
|
Eng-Chi Wang,* Chin-Cheng Wang, Ming-Kun Hsu, and Keng-Shiang Huang
|
| Vol 57, Issue 11, 2002, pp.2021-2033, |
| COM-02-9560 |
|
|
| |
 |
|
| Paper |
The Preparation of the Stable Tautomers of 4-Mercapto-3-quinolinesulfonic and 1,4-Dihydro-4-thioxo-3-quinolinesulfonic Acids
|
Leszek Skrzypek* and Kinga Suwinska
|
| Vol 57, Issue 11, 2002, pp.2035-2044, |
| COM-02-9562 |
|
|
| |
 |
|
| Paper |
Synthesis and Reactivity of (Z)-3-Benzoylamino-4-dimethylamino-2-oxo-3-butene. Preparation of 1-Aryl- and 1-Heteroaryl-substituted 4-Benzoyl-amino-5-methyl-1H-pyrazoles
|
Urska Bratusek, Simon Recnik, Jurij Svete,* Ljubo Golic, and Branko Stanovnik*
|
| Vol 57, Issue 11, 2002, pp.2045-2064, |
| COM-02-9566 |
|
|
| |
 |
|
| Paper |
Photocycloaddition of 1,3-Diphenyl-N-methyl Enaminoketonatoboron Difluoride with Simple Olefins
|
Kuniaki Itoh,* Kazuhiko Okazaki, and Yoshito Toyotomi
|
| Vol 57, Issue 11, 2002, pp.2065-2079, |
| COM-02-9575 |
|
|
| |
 |
|
| Paper |
A New Synthesis of 6-Substitiuted Pyrido[2,3-d]pyrimidines
|
Takeshi Kuwada, Kenichi Harada, Junko Nobuhiro, Tominari Choshi, and Satoshi Hibino*
|
| Vol 57, Issue 11, 2002, pp.2081-2090, |
| COM-02-9581 |
|
|
| |
 |
|
| Paper |
Coupling of Heteroaryldiazonium Tetrafluoroborates with 1,3-Dicarbonyl Compounds—regioselective Synthesis of Alkyl 1-Heteroaryl-4-hydroxy-1H-pyrazole-3-carboxylates
|
Simon Recnik, Jurij Svete,* and Branko Stanovnik
|
| Vol 57, Issue 11, 2002, pp.2091-2106, |
| COM-02-9582 |
|
|
| |
 |
|
| Paper |
Synthesis of Tropocryptands Having Heteroatoms in Linker Chains: A New Class of Macrobicyclic Ligands Derived by N-Acylation and N-Alkylation of Tropocoronand
|
Ohki Sato, Yutaka Ono, and Josuke Tsunetsugu*
|
| Vol 57, Issue 11, 2002, pp.2107-2114, |
| COM-02-9597 |
|
|
| |
 |
|
| Paper |
Study of the Reactivity of 5-Alkynyl-4-chloro- and 4-Alkynyl-5-chloropyridazin-3(2H)-ones towards Oxygen and Sulfur Nucleophiles
|
Omar R’kyek, Bert U. W. Maes, Guy L. F. Lemière,* and Roger A. Dommisse
|
| Vol 57, Issue 11, 2002, pp.2115-2128, |
| COM-02-9599 |
|
|
| |
 |
|
| Note |
Allenyl(vinyl)methane Photochemistry. Photochemistry of 2-(3,4-Pentadienylidene)indan-1,3-dione Derivatives
|
Takashi Tsuno* and Kunio Sugiyama
|
| Vol 57, Issue 11, 2002, pp.2129-2135, |
| COM-02-9568 |
|
|
| |
 |
|
| Note |
New Tabernamine Derivatives from Tabernaemontana
|
Toh-Seok Kam* and Kooi-Mow Sim
|
| Vol 57, Issue 11, 2002, pp.2137-2143, |
| COM-02-9573 |
|
|
| |
 |
|
| Note |
High-Throughput Synthesis of Symmetrically 3,5-Disubstituted 4-Amino-1,2,4-triazoles from Aldehydes Using Microwave
|
Hideko Koshima,* Mitsuo Hamada, Makiko Tani, Shunsuke Iwasaki, and Fumika Sato
|
| Vol 57, Issue 11, 2002, pp.2145-2148, |
| COM-02-9584 |
|
|
| |
 |
|
| Note |
Bischler-Napieralski Reaction of N-[2-(2-Bromo-4,5-dialkyloxyphenyl)ethyl]-N-(1-phenylethyl)-2-(2-bromo-4,5-dimethoxyphenyl)acetamides
|
Naomi Hashimoto, Kumiko Miyatani, Keiko Ohkita, Yoshitaka Ohishi,* Jun-ichi Kunitomo, Ikuo Kawasaki, Masayuki Yamashita, and Shunsaku Ohta
|
| Vol 57, Issue 11, 2002, pp.2149-2161, |
| COM-02-9586 |
|
|
| |
 |
|
| Note |
Hantzsch Dihydropyridine: An Effective and Convenient Regioselective Reducing Agent for the 5-Benzylidene-2,4-thiazolidinedione Derivatives
|
Hong Woo Lee,* Bok Young Kim, Joong Bok Ahn, Hoe Joo Son, Jae Wook Lee, Soon Kil Ahn, and Chung Il Hong
|
| Vol 57, Issue 11, 2002, pp.2163-2173, |
| COM-02-9589 |
|
|
| |
 |
|
| Note |
A Novel Flvonol Glucoside from Onion
|
Miyuki Furusawa, Toshiyuki Tanaka,* Ken-ichi Nakaya, Munekazu Iinuma, and Hironori Tuchiya
|
| Vol 57, Issue 11, 2002, pp.2175-2177, |
| COM-02-9593 |
|
|
| |
 |
|
| Review |
Cavitands and Related Container Molecules
|
Wanda Sliwa,* Grazyna Matusiak, and Malgorzata Deska
|
| Vol 57, Issue 11, 2002, pp.2179-2206, |
| REV-02-556 |
|
|
| |
 |
|
| Communication |
Synthesis of New Thiopyrylocyanines Incorporated Thiopyrano[2,3-b]indole Ring as the Main Constituent
|
Yoshinori Tominaga,* Yasuhiro Shigemitsu, and Shun-ichi Hirayama
|
| Vol 57, Issue 12, 2002, pp.2227-2230, |
| COM-02-9612 |
|
|
| |
 |
|
| Communication |
Synthesis, Tautomerism and Calculations of Mesomeric Betaines of Guanine
|
Andreas Schimidt* and Nikoloz Kobakhidze
|
| Vol 57, Issue 12, 2002, pp.2231-2237, |
| COM-02-9634 |
|
|
| |
 |
|
| Paper |
Synthesis and Characterisation of Extended π-Bonding Systems in Cycloimmonium Ylides Derived from the 4,4’-Bipyridine
|
Ludovic Depature* and Gheorghe Surpateanu
|
| Vol 57, Issue 12, 2002, pp.2239-2254, |
| COM-02-9571 |
|
|
| |
 |
|
| Paper |
Heterocyclization of vic-Substituted Hydroxamic Acid Salts of Acetylenylpyrazoles: a New Procedure for the Preparation of Pyrazolo[3,4-c]pyridin-7-ones
|
Sergei F. Vasilevsky,* Elena V. Mshvidobadze, and José Elguero*
|
| Vol 57, Issue 12, 2002, pp.2255-2260, |
| COM-02-9572 |
|
|
| |
 |
|
| Paper |
Palladium-catalyzed Synthesis of 2,2-Dimethyl-3-pyrrolines from α-Amino Allene and Aryl Iodides
|
Takanori Shibata,* Sho Kadowaki, and Kentaro Takagi
|
| Vol 57, Issue 12, 2002, pp.2261-2266, |
| COM-02-9594 |
|
|
| |
 |
|
| Paper |
Synthesis of Novel Tetra- and Pentacyclic Fused Benzimidazole Derivatives
|
Jae Sang Yi and Kyongtae Kim*
|
| Vol 57, Issue 12, 2002, pp.2267-2277, |
| COM-02-9604 |
|
|
| |
 |
|
| Paper |
Synthesis of Optically Active 2-Acetoxy-3-alkylidene-α-lycoranes for a Synthetic Approach toward (+)-Lycorine by Radical Reaction
|
Miyuki Ishizaki,* Yuichiro Kai, and Osamu Hoshino*
|
| Vol 57, Issue 12, 2002, pp.2279-2297, |
| COM-02-9610 |
|
|
| |
 |
|
| Paper |
A Convenient Synthesis of 3-Benzoylisoazoles by 1,3-Dipolar Cycloaddition
|
Hiroyuki Kai,* Minoru Tomida, Toru Nakai, and Akira Takase
|
| Vol 57, Issue 12, 2002, pp.2299-2308, |
| COM-02-9618 |
|
|
| |
 |
|
| Paper |
Isomerization and Application of Aroylnorbornanecarboxylic Acids for Stereoselective Preparation of Heterocycles
|
Ferenc Miklós, Pál Sohár,* Antal Csámpai, Reijo Sillanpää, Mária Péter, and Géza Stájer*
|
| Vol 57, Issue 12, 2002, pp.2309-2320, |
| COM-02-9619 |
|
|
| |
 |
|
| Paper |
An Efficient Synthesis of N-Alkyl-4-substituted-3H-pyridine-2,6-dione. Synthesis of Isoguvacine and MDL-11,939
|
Meng-Yang chang, Shui-Tein Chen,* and Nein-Chen Chang
|
| Vol 57, Issue 12, 2002, pp.2321-2334, |
| COM-02-9620 |
|
|
| |
 |
|
| Paper |
Synthesis of 7-Aminopyrazolo[3,4-c]pyridine as a Probe for the Preparation of compounds of Pharmacological Interest
|
Vassilios N. Kourafalos, Panagiotis Marakos, Nicole Pouli,* A. Terzis, and Leroy B. Townsend*
|
| Vol 57, Issue 12, 2002, pp.2335-2343, |
| COM-02-9621 |
|
|
| |
 |
|
| Paper |
Chemistry of Renieramycins. Part 2. Partial Reduction and Nucleophilic Substitution of Hexahydro-1,5-imino-4-oxo-3-benzazocine-7,10-dione: Promising Method to Construct Renieramycin J from Renieramycin G via Renieramycin E
|
Yu-ichi Koizumi, Akinori Kubo, Khanit Suwanborirux, and Naoki Saito*
|
| Vol 57, Issue 12, 2002, pp.2345-2355, |
| COM-02-9625 |
|
|
| |
 |
|
| Note |
A New Access to the Cleavage of the N-19 Bond of Norditerpenoid Alkaloids and Their Derivatives by Formation of Oxaziridines
|
Qiao-Hong Chen, Liang Xu, and Feng-Peng Wang*
|
| Vol 57, Issue 12, 2002, pp.2357-2363, |
| COM-02-9580 |
|
|
| |
 |
|
| Note |
Tautomerism and X-ray Structure of Dihydro-5H-1,3,4-benzotriazepin-5-ones
|
Jalal A. Zahra, Bassam A. Abu Thaher, Mustafa M. El-Abadelah,* and Martti Klinga
|
| Vol 57, Issue 12, 2002, pp.2365-2371, |
| COM-02-9587 |
|
|
| |
 |
|
| Note |
Preparation and Structure of 3,4,8,9-Tetrachloro-2,5,7,10-tetrahydro[1,6]dithiecine
|
David L. Eaton, John P. Selegue,* John Anthony, and Brian O. Patrick
|
| Vol 57, Issue 12, 2002, pp.2373-2381, |
| COM-02-9588 |
|
|
| |
 |
|
| Note |
Synthesis of 4-(1,4-Diaryl-2H-cyclopent[d]pyridazin-2-yl)benzenesulfonamides
|
Mark Blankenbuehler* and Sean Parkin
|
| Vol 57, Issue 12, 2002, pp.2383-2391, |
| COM-02-9591 |
|
|
| |
 |
|
| Note |
Reactivities of 2-Aminomethylimidazole: an Approach for the Synthesis of Imidazo[1,5-a]imidazole
|
Sujin Park and Yonghan Kang*
|
| Vol 57, Issue 12, 2002, pp.2393-2400, |
| COM-02-9608 |
|
|
| |
 |
|
| Note |
Phenanthroindolizidine Alkaloids and Their Cytotoxicity from the Leaves of Ficus septica
|
Pei-Lin Wu,* K. V. Rao, Chia-Hao Su, Cheng-Sheng Kuoh, and Tian-Shung Wu*
|
| Vol 57, Issue 12, 2002, pp.2401-2408, |
| COM-02-9615 |
|
|
| |
 |
|
| Note |
A New Tricyclic Iridoid Glucoside from the Thai Medicinal Plant, Rothmannia wittii
|
Tripetch Kanchanapoom, Sapsuang Klai-on, Ryoji Kasai, Hideaki Otsuka, and Kazuo Yamasaki*
|
| Vol 57, Issue 12, 2002, pp.2409-2412, |
| COM-02-9622 |
|
|
| |
 |
|
| Review |
Formation of Five- and Six-membered Heterocyclic Ring by Radical Cyclization
|
Krishna C. Majumdar* and P. K. Basu
|
| Vol 57, Issue 12, 2002, pp.2413-2439, |
| REV-02-557 |
|
|
| |
 |
|
| 197 data found. 1 - 197 listed |
|
|
|
|