| 65 data found. 1 - 65 listed |
|
|
|
|
Curriculum Vitae
|
|
| Vol 58, Issue 1, 2002, pp.1-2, |
| 2002-58-0001 |
|
|
| |
|
|
|
Preface
|
Peter Beak
|
| Vol 58, Issue 1, 2002, pp.3-4, |
| 2002-58-0003 |
|
|
| |
|
|
|
Tribute to Professor Albert I. Meyers
|
Kiyoshi Tomioka
|
| Vol 58, Issue 1, 2002, pp.5-8, |
| 2002-58-0005 |
|
|
| |
|
|
|
Publications
|
|
| Vol 58, Issue 1, 2002, pp.9-42, |
| 2002-58-0009 |
|
|
| |
|
| Communication |
Highly Functionalized Pyrans Designed for Multipoint Side Chain Attachment to the F-Ring Sector of Spongistatin 1 (Altohyrtin A)
|
Il Hwan Cho and Leo A. Paquette*
|
| Vol 58, Issue 1, 2002, pp.43-46, |
| COM-01-S(M)6 |
|
|
| |
6GA.gif) |
|
| Communication |
Selective Synthesis of β-Amino Esters and β-Lactams by Rhodium-catalyzed Reformatsky-Type Reaction
|
Kazuo Kanai, Hitoshi Wakabayashi, and Toshio Honda*
|
| Vol 58, Issue 1, 2002, pp.47-51, |
| COM-02-S(M)10 |
|
|
| |
10GA.gif) |
|
| Communication |
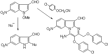
Nucleophilic Substitution Reactions of 1-Methoxy-6-nitroindole-3-carbaldehyde
|
Koji Yamada, Fumio Yamada, Takei Shiraishi, Saori Tomioka, and Masanori Somei*
|
| Vol 58, Issue 1, 2002, pp.53-56, |
| COM-02-S(M)14 |
|
|
| |
14GA.gif) |
|
| Communication |
Stereocontrolled Synthesis of a Highly Functionalized 1,7-Dioxaspiro[4.4]nonane Derivative Related to Antibiotic Pseurotins
|
Shin-ya Aoki, Takahiro Ohi, Kazuya Shimizu, Ryota Shiraki, Ken-ichi Takao, and Kin-ichi Tadano*
|
| Vol 58, Issue 1, 2002, pp.57-61, |
| COM-02-S(M)15 |
|
|
| |
15GA.gif) |
|
| Communication |
Electrochemical Oxidations of 1,3-Dihydro-1,3-diazaazulanones and Effects of Reaction Temperature
|
Katsuhiro Saito,* Yosuke Ueda, Ayako Kawamura, Akiyoshi Kajita, Hiroyuki Ishiguro, Takayasu Ido, Katsuhiko Ono, and Yasutaka Awadu
|
| Vol 58, Issue 1, 2002, pp.63-70, |
| COM-02-S(M)19 |
|
|
| |
19GA.gif) |
|
| Communication |
Chiral Ligand-controlled Catalytic Asymmetric Epoxidation of Enone with Hydroperoxide
|
Yoshihito Tanaka, Katsumi Nishimura, and Kiyoshi Tomioka*
|
| Vol 58, Issue 1, 2002, pp.71-73, |
| COM-02-S(M)21 |
|
|
| |
21GA.gif) |
|
| Communication |
Regioselective Synthesis of 2,3,5-Trisubstituted Indoles from p-Sulfinylaniline by Dual Use of the Sulfinyl Group
|
Shuji Akai, Norihito Kawashita, Nobuyoshi Morita, Yuka Nakamura, Kiyosei Iio, and Yasuyuki Kita*
|
| Vol 58, Issue 1, 2002, pp.75-78, |
| COM-02-S(M)27 |
|
|
| |
27GA.gif) |
|
| Communication |
Solid-Phase Synthesis of 2-(4-Carbamoylpyrazolyl)-4-alkylamino-6-aminopyrimidine Derivatives
|
Makoto Haruta, Akio Ejima, Hiroshi Tanaka, and Takashi Takahashi*
|
| Vol 58, Issue 1, 2002, pp.79-83, |
| COM-02-S(M)31 |
|
|
| |
31GA.gif) |
|
| Communication |
Facile Asymmetric Synthesis of Aziridine Derivatives via the Diastereoselective Reaction of Chiral Imines with Dimethylsulfonium Methylide
|
Kimio Higashiyma,* Masataka Matsumura, Ayako Shiogama, Takayasu Yamauchi, and Sigeru Ohmiya
|
| Vol 58, Issue 1, 2002, pp.85-88, |
| COM-02-S(M)32 |
|
|
| |
32GA.gif) |
|
| Communication |
Synthesis of Substituted Pyrroles from N-Vinylic Phosphazenes Derived from β-Amino Acids and α-Bromo Ketones
|
Francisco Palacios,* Esther Herrán, and Gloria Rubiales
|
| Vol 58, Issue 1, 2002, pp.89-92, |
| COM-02-S(M)36 |
|
|
| |
36GA.gif) |
|
| Communication |
Cationic Copper(II)-Oxazoline-Sulfoxide Catalysts: Application to Asymmetric Diels-Alder Reactions
|
Kazuhiro Watanabe, Takashi Hirasawa, and Kunio Hiroi*
|
| Vol 58, Issue 1, 2002, pp.93-97, |
| COM-02-S(M)38 |
|
|
| |
38GA.gif) |
|
| Communication |
Total Synthesis of (—)-Halicholactone
|
Taichi Takahashi, Hidenori Watanabe, and Takeshi Kitahara*
|
| Vol 58, Issue 1, 2002, pp.99-104, |
| COM-02-S(M)41 |
|
|
| |
41GA.gif) |
|
| Communication |
Mechanistic Studies on the Reactions of Bis(alkylthio)carbenes with Vinyl Isocyanates
|
James H. Rigby,* Nancy A. Neale, H. Bernhard Schlegel
|
| Vol 58, Issue 1, 2002, pp.105-113, |
| COM-02-S(M)47 |
|
|
| |
47GA.gif) |
|
| Communication |
Concise Syntheses of Harmicine and a Pyrrolidinoisoquinoline Derivative Using Chiral 1-Allyl Adducts of β-Carboline and Isoquinoline as Starting Materials
|
Takashi Itoh, Michiko Miyazaki, Kazuhiro Nagata, Masashi Yokoya, Shigeru Nakamura, and Akio Ohsawa*
|
| Vol 58, Issue 1, 2002, pp.115-118, |
| COM-02-S(M)49 |
|
|
| |
49GA.gif) |
|
| Communication |
An Asymmetric Synthesis of 3-Aryl-1,4-oxazin-2-ones: Synthesis of a Key Intermediate of an NK1 Receptor Antagonist
|
Paul N. Devine,* Bruce S. Foster, Edward J. J. Grabowski, and Paul J. Reider
|
| Vol 58, Issue 1, 2002, pp.119-123, |
| COM-02-S(M)54 |
|
|
| |
54GA.gif) |
|
| Communication |
A Practical Synthesis of (+)-Biotin through Palladium Hydroxide on Charcoal-catalyzed Fukuyama Coupling Reaction
|
Yoshikazu Mori and Masahiko Seki*
|
| Vol 58, Issue 1, 2002, pp.125-127, |
| COM-02-S(M)57 |
|
|
| |
57GA.gif) |
|
| Communication |
Inter- and Intramolecular [4+2] Cycloaddition of Nitroalkenes with Allenylsilanes. A Case of Unexpected Regioselectivity
|
Scott E. Denmark* and Laurent Gomez
|
| Vol 58, Issue 1, 2002, pp.129-136, |
| COM-02-S(M)58 |
|
|
| |
58GA.gif) |
|
| Communication |
Studies on a Chirality of Orellanine. Spectral Nonequivalence of Atropisomers of Tetra-O-methylorellanine and Related Compounds Induced by Chiral Solvating Agents
|
Róza Antkowiak, Wieslaw Z. Antkowiak,* and Barbara Nowak-Wydra
|
| Vol 58, Issue 1, 2002, pp.137-146, |
| COM-02-S(M)61 |
|
|
| |
61GA.gif) |
|
| Communication |
An Efficient Multicomponent Reaction Involving the Interception of the Zwitterionic Intermediate between DMAD and Isocyanides with Some Active Methylene Compounds
|
Vijay Nair,* A. U. Vinod, R. Ramesh, Rajeev S. Menon, Luxmi Varma, Saumini Mathew, and Angele Chiaroni
|
| Vol 58, Issue 1, 2002, pp.147-151, |
| COM-02-S(M)62 |
|
|
| |
62GA.gif) |
|
| Paper |
Extension of the SAR in the 1,2-Diaminocyclohexane Phenylacetamide Template
|
Shikai Zhao, Stephen A. Mizsak, Jeremiah P. Freeman, and Jacob Szmuszkovicz*
|
| Vol 58, Issue 1, 2002, pp.153-157, |
| COM-01-S(M)1 |
|
|
| |
1GA.gif) |
|
| Paper |
Aryl-Aryl Coupling Reaction Catalyzed by a Palladium Reagent Prepared from Pd(OAc)2 and n-Bu3P
|
Takashi Harayama,* Akihiro Hori, Yuichiro Nakano, Toshihiko Akiyama, Hitoshi Abe, and Yasuo Takeuchi
|
| Vol 58, Issue 1, 2002, pp.159-164, |
| COM-01-S(M)3 |
|
|
| |
3GA.gif) |
|
| Paper |
Synthesis and Fluorescence Properties of 4,5-, 4,6- and 5,6-Disubstituted Benzofurazan (2,1,3-Benzoxadiazole) Compounds
|
Natsuko Okiyama, Seiichi Uchiyama, Maki Onoda, Kazuhiro Imai, and Tomofumi Santa*
|
| Vol 58, Issue 1, 2002, pp.165-173, |
| COM-01-S(M)4 |
|
|
| |
4GA.gif) |
|
| Paper |
Studies on the Selective Intramolecular Biaryl Coupling Reaction of 2-Tryflyloxy-6-halobenzanilides Using a Palladium Reagent
|
Takashi Harayama,* Hiroko Toko, Kyoko Kubota, Hiromi Nishioka, Hitoshi Abe, and Yasuo Takeuchi
|
| Vol 58, Issue 1, 2002, pp.175-181, |
| COM-01-S(M)5 |
|
|
| |
5GA.gif) |
|
| Paper |
Diels-Alder Cycloaddition of Highly Substituted Pyran-2-ones with Maleic Anhydride
|
Kristof Kranjc, Ivan Leban, Slovenko Polanc, and Marijan Kocevar*
|
| Vol 58, Issue 1, 2002, pp.183-190, |
| COM-01-S(M)7 |
|
|
| |
7GA.gif) |
|
| Paper |
Diastereoselective Reactions of a Homoenolate Generated from (S)-N-(1-Phenylethyl)-3-(trimethylsilyl)propanamide: Enantioselective Synthesis of (+)-Massoialactone
|
Naoko Sadayori, Asako Kawatoh, Ryoko Sakurazawa, Tomoko Utsumi, Miharu Inagaki, and Morio Asaoka*
|
| Vol 58, Issue 1, 2002, pp.191-202, |
| COM-02-S(M)8 |
|
|
| |
8GA.gif) |
|
| Paper |
Sulfur-containing Heterocycles Derived by Reaction of N-Thioacylamino Alcohols with Lawesson’s Reagent and Saponification of N-Thioacylamino Esters
|
Takehiko Nishio* and Hiroshi Sekiguchi
|
| Vol 58, Issue 1, 2002, pp.203-212, |
| COM-02-S(M)9 |
|
|
| |
9GA.gif) |
|
| Paper |
Some Unexpected Reactions of 2,2-Bis(trifluoromethyl)-1,3-oxazolidin-5-ones
|
Gábor Radics, Hartmut Schedel, Elisabeth Heistracher, Joachim Sieler, Lothar Hennig, and Klaus Burger*
|
| Vol 58, Issue 1, 2002, pp.213-225, |
| COM-02-S(M)11 |
|
|
| |
11GA.gif) |
|
| Paper |
A New Construct of the cis-3a-Aryloctahydroindole Skeleton via the [4+2] Cycloaddition of Furanyl Carbamates
|
Albert Padwa,* Cheryl K. Eidell, and Stephen M. Lynch
|
| Vol 58, Issue 1, 2002, pp.227-242, |
| COM-02-S(M)12 |
|
|
| |
12GA.gif) |
|
| Paper |
Multi-component Reactions of 2-Isopropylideneaziridines: Application to the Synthesis of Enantiopure Neopentylamines
|
Jerome F. Hayes, Michael Shipman,* Alexandra M. Z. Slawin, and Heather Twin
|
| Vol 58, Issue 1, 2002, pp.243-250, |
| COM-02-S(M)13 |
|
|
| |
13GA.gif) |
|
| Paper |
Imino Ene Reactions of Enantiopure N-Sulfinylimino Esters: Asymmetric Synthesis of 1-Oxo-1 λ4-isothiazolidine-3-carboxylates
|
Franklin A. Davis,* Junya Qu, Vaidyanathan Srirajan, Reni Joseph, and Donald D. Titus
|
| Vol 58, Issue 1, 2002, pp.251-258, |
| COM-02-S(M)16 |
|
|
| |
16GA.gif) |
|
| Paper |
Studies on the Synthesis of Kijanolide: Synthesis of an Advanced Seco-acid Intermediate
|
William R. Roush,* Hou Chen, and Melissa L. Reilly
|
| Vol 58, Issue 1, 2002, pp.259-282, |
| COM-02-S(M)17 |
|
|
| |
17GA.gif) |
|
| Paper |
Synthesis and Reactions of 3- and 8-Ethynyl-1-azaazulenes
|
Hiroyuki Fujii, Noritaka Abe,* Noritaka Umeda, and Akikazu Kakehi
|
| Vol 58, Issue 1, 2002, pp.283-292, |
| COM-02-S(M)18 |
|
|
| |
18GA.gif) |
|
| Paper |
Asymmetric Synthesis of 4,6-Disubstituted 1,2,3,4,5,6-Hexahydro-5-hydroxypyrimidin-2-ones as Potential HIV-Protease-Inhibitors
|
Dieter Enders* and Lars Wortmann
|
| Vol 58, Issue 1, 2002, pp.293-299, |
| COM-02-S(M)20 |
|
|
| |
20GA.gif) |
|
| Paper |
Preparation of Novel Heteroisoindoles from Nitropyridines and Nitropyridones
|
Takashi Murashima,* Keiji Nishi, Ken-ichi Nakamoto, Atsushi Kato, Ryuji Tamai, Hidemitsu Uno, and Noboru Ono*
|
| Vol 58, Issue 1, 2002, pp.301-310, |
| COM-02-S(M)22 |
|
|
| |
22GA.gif) |
|
| Paper |
4H-[1,2,3]-Thiadiazolo[3,4-a]benzimidazoliumides
|
Alan R. Katritzky,* George N. Nikonov, Dmytro O. Tymoshenko, and Peter J. Steel
|
| Vol 58, Issue 1, 2002, pp.311-316, |
| COM-02-S(M)23 |
|
|
| |
23GA.gif) |
|
| Paper |
Preparation of 2’,3’-Methano-carbocyclic Nucleosides through the Addition of Diazomethane to 2-Azabicyclo[2.2.1]hept-5-en-3-one
|
Minoru Ishikura,* Atsushi Murakami, and Nobuya Katagiri
|
| Vol 58, Issue 1, 2002, pp.317-324, |
| COM-02-S(M)24 |
|
|
| |
24GA.gif) |
|
| Paper |
A New Deprotection Procedure for the N-Methoxymethyl Group of N-Methoxymethyl-heterocyclic Compounds
|
Takeshi Kuwada, Miyako Fukui, Maho Hirayama, Junko Nobuhiro, Tominari Choshi, and Satoshi Hibino*
|
| Vol 58, Issue 1, 2002, pp.325-332, |
| COM-02-S(M)26 |
|
|
| |
26GA.gif) |
|
| Paper |
Silica Gel-catalyzed Regio- and Stereoselective Reactions of Thiocarbonyl Compounds with Optically Active Monosubstituted Oxiranes
|
Changchun Fu, Anthony Linden, and Heinz Heimgartner*
|
| Vol 58, Issue 1, 2002, pp.333-345, |
| COM-02-S(M)28 |
|
|
| |
28GA.gif) |
|
| Paper |
Hydroamination of Alkynes Catalyzed by Palladium/Benzoic Acid
|
Leopold Mpaka Lutete, Isao Kadota, Akinori Shibuya, and Yoshinori Yamamoto*
|
| Vol 58, Issue 1, 2002, pp.347-357, |
| COM-02-S(M)29 |
|
|
| |
29GA.gif) |
|
| Paper |
Quinolone Analogues 5. Synthesis of 1-Methylpyridazino[3,4-b]quinoxalin-4(1H)-ones
|
Yoshihisa Kurasawa,* Jun Takizawa, Yuka Maesaki, Ayaka Kawase, Yoshihisa Okamoto, and Ho Sik Kim
|
| Vol 58, Issue 1, 2002, pp.359-369, |
| COM-02-S(M)30 |
|
|
| |
30GA.gif) |
|
| Paper |
Synthesis of Linear and Cyclic Hexapeptides with Nε-(1,2-Dihydro-1-hydroxy-2-oxopyrimidin-4-yl)-L-lysyl-β-alanyl as the Repeating Unit and Properties of Their Iron(III) Complexes
|
Akira Katoh,* Yuichi Inoue, Hitoshi Nagashima, Yasushi Hikita, Junko Ohkanda, and Ryota Saito
|
| Vol 58, Issue 1, 2002, pp.371-381, |
| COM-02-S(M)34 |
|
|
| |
34GA.gif) |
|
| Paper |
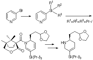
Synthesis of Sterically Demanding 3-Silylpyridines and Their Use in Asymmetric Synthesis with Chiral N-Acyliminium Ions
|
Cornelia E. Hoesl, Jörg Pabel, Kurt Polborn, and Klaus Th. Wanner*
|
| Vol 58, Issue 1, 2002, pp.383-392, |
| COM-02-S(M)35 |
|
|
| |
35GA.gif) |
|
| Paper |
Formation of Heterocyclic Derivatives of α-Amino Acids Using Vicinal Tricarbonyl Methodology
|
Harry H. Wasserman,* Yun Oliver Long, Rui Zhang, and Jonathan Parr
|
| Vol 58, Issue 1, 2002, pp.393-403, |
| COM-02-S(M)37 |
|
|
| |
37GA.gif) |
|
| Paper |
A New Synthetic Approach to Azuleno[1,2-c]thiophenes
|
Kimiaki Imafuku* and Dao-Lin Wang
|
| Vol 58, Issue 1, 2002, pp.405-419, |
| COM-02-S(M)39 |
|
|
| |
39GA.gif) |
|
| Paper |
A Synthesis of (1S,2R,8R,8aR)-8-Hydroxy-1,2-(isopropylidinedioxy)indolizidin-5-one from D-Ribose: Improved Access to (-)-Swainsonine and Its Analogs
|
William H. Pearson,* Yi Ren, and Jeremiah D. Powers
|
| Vol 58, Issue 1, 2002, pp.421-430, |
| COM-02-S(M)40 |
|
|
| |
40GA.gif) |
|
| Paper |
Aryl Radical Cyclization of Chiral 3-Allyl-2-(2-bromophenyl)-1,3-oxazolidines with Tributyltin Hydride
|
Takayasu Yamauchi, Jumpei Sugiyama, and Kimio Higashiyama*
|
| Vol 58, Issue 1, 2002, pp.431-447, |
| COM-02-S(M)42 |
|
|
| |
42GA.gif) |
|
| Paper |
Studies on (1S)-N-(1-Phenylethyl)phthalimide: Synthesis of Both Chiral Spiro Indane and Benzazepine Derivatives
|
Abderrahim Chihab-Eddine, Adam Daïch,* Abderrahim Jilale, and Bernard Decroix
|
| Vol 58, Issue 1, 2002, pp.449-456, |
| COM-02-S(M)43 |
|
|
| |
43GA.gif) |
|
| Paper |
New Chiral Ligands, Pyridinooxathianes, for Palladium-catalyzed Asymmetric Allylic Alkylation
|
Yuko Okuyama, Hiroto Nakano,* Chizuko Kabuto, Erica Nozawa, Kouichi Takahashi, and Hiroshi Hongo
|
| Vol 58, Issue 1, 2002, pp.457-469, |
| COM-02-S(M)44 |
|
|
| |
44GA.gif) |
|
| Paper |
Total Synthesis and Absolute Configuration of Radiosumin, a Strong Trypsin Inhibitor from the Blue-Green Alga Plectonema radiosum
|
Hirohide Noguchi, Toyohiko Aoyama,* and Takayuki Shioiri*
|
| Vol 58, Issue 1, 2002, pp.471-504, |
| COM-02-S(M)45 |
|
|
| |
45GA.gif) |
|
| Paper |
Synthesis and Reactions of Enantiopure 1-Acyl-2-[triaryl(alkyl)silyl]-2,3-dihydro-4-pyridones
|
Daniel L. Comins,* Michael O. Killpack, Emilie Despagnet, and Emmanuel Zeller
|
| Vol 58, Issue 1, 2002, pp.505-519, |
| COM-02-S(M)46 |
|
|
| |
46GA.gif) |
|
| Paper |
Dendroamide A, Nostocyclamide and Related Cyclopeptides from Cyanobacteria. Total Synthesis, together with Organised and Metal-templated Assembly from Oxazole and Thiazole-based Amino Acids
|
Anna Bertram and Gerald Pattenden*
|
| Vol 58, Issue 1, 2002, pp.521-561, |
| COM-02-S(M)48 |
|
|
| |
48GA.gif) |
|
| Paper |
The Synthesis of Spirooxindole Pyrrolidines via an Asymmetric Azomethine Ylide [1,3]-Dipolar Cycloaddition Reaction
|
Paul R. Sebahar and Robert M. Williams*
|
| Vol 58, Issue 1, 2002, pp.563-575, |
| COM-02-S(M)51 |
|
|
| |
51GA.gif) |
|
| Paper |
A Synthesis of Some Novel 2-Phenyl- and 5-Bromo-substituted Aplysinopsin Analogues
|
Lovro Selic, Simon Recnik, and Branko Stanovnik*
|
| Vol 58, Issue 1, 2002, pp.577-585, |
| COM-02-S(M)53 |
|
|
| |
53GA.gif) |
|
| Paper |
Simple Synthesis of Racemic Pyrrolo[2,3-b]indoles: Formal Total Synthesis of (±)-Physostigmine
|
Riichiro Tsuji, Masako Nakagawa, and Atsushi Nishida*
|
| Vol 58, Issue 1, 2002, pp.587-593, |
| COM-02-S(M)56 |
|
|
| |
56GA.gif) |
|
| Paper |
Thermodynamically Controlled Photocycloaddition of 5-Fluoro-1,3-dimethyluracil to Naphthalenes
|
Kazue Ohkura, Tatsuyuki Sugaoi, Akiyo Sakushima, Ken-ichi Nishijima, Yuji Kuge, and Koh-ichi Seki*
|
| Vol 58, Issue 1, 2002, pp.595-600, |
| COM-02-S(M)59 |
|
|
| |
59GA.gif) |
|
| Paper |
Thiazoline Ring Formation from 2-Methylcysteines and 2-Halomethylalanines
|
Brant L. Kedrowski and Clayton H. Heathcock*
|
| Vol 58, Issue 1, 2002, pp.601-634, |
| COM-02-S(M)60 |
|
|
| |
60GA.gif) |
|
| Note |
An Efficient Synthesis of a Key Intermediate for Vasopressin V2 Receptor Agonist OPC-51803 by Lipase-catalyzed Enantioselective Transesterification
|
Tadaaki Ohtani, Kazuyoshi Kitano,* Jun Matsubara, Seiji Morita, Yoshikazu Kawano, Makoto Komatsu, Masahiko Bando, Masaru Kido, Minoru Uchida, and Fujio Tabusa
|
| Vol 58, Issue 1, 2002, pp.635-643, |
| COM-02-S(M)25 |
|
|
| |
25GA.gif) |
|
| Note |
Asymmetric Trimethylsilylcyanation of Acetophenone Catalyzed by Cinchona Alkaloids
|
Michael C. K. Choi, Shu-Sun Chan, Man-Kong Chan, Jong Chul Kim, and Kiyoshi Matsumoto*
|
| Vol 58, Issue 1, 2002, pp.645-654, |
| COM-02-S(M)50 |
|
|
| |
50GA.gif) |
|
| Note |
A Concise Synthesis of a Potential Key Intermediate for 12-epi-Mycalamide A
|
Marcellino Rudyanto, Masahiro Toyota,* Natsuko Kagawa, and Masataka Ihara*
|
| Vol 58, Issue 1, 2002, pp.655-658, |
| COM-02-S(M)55 |
|
|
| |
55GA.gif) |
|
| Note |
Multicomponent Reactions: Synthesis of Spirocyclic Tetrahydropyran Derivatives by Prins Cyclization
|
Arun K. Ghosh,* Dongwoo Shin, and Gary Schiltz
|
| Vol 58, Issue 1, 2002, pp.659-666, |
| COM-02-S(M)63 |
|
|
| |
63GA.gif) |
|
| Review |
Nitrogen-containing Heterocycles via Palladium-catalyzed Reaction of Alkynes with Organic Halides or Triflates
|
Sandro Cacchi,* Giancarlo Fabrizi, and Luca M. Parisi
|
| Vol 58, Issue 1, 2002, pp.667-682, |
| REV-02-SR(M)1 |
|
|
| |
1GA.gif) |
|
| 65 data found. 1 - 65 listed |
|
|
|
|