| 222 data found. 1 - 222 listed |
|
|
| Communication |
Benzodioxole Chemistry. 5. Dramatic Substituent Effect in the Reaction of Carbonyl-bridged Cyclic Carbonates with Methoxide Ion
|
William S. Grove and Ernest A. Harrison Jr.*
|
| Vol 63, Issue 1, 2004, pp.1-4, |
| COM-03-9911 |
|
|
| |
 |
|
| Communication |
Improvement in the Regioselectivity in the Ruthenium-catalyzed Metathesis Reaction of 2-Azabicyclo[2.2.1]hept-5-en-3-one (ABH) with Allyltrimethylsilane
|
Minoru Ishikura,* Miyako Hasunuma, and Makoto Saijo
|
| Vol 63, Issue 1, 2004, pp.5-8, |
| COM-03-9924 |
|
|
| |
 |
|
| Communication |
New Synthesis and Biologically Active Molecular Design of Deazapteridine-Steroid Hybrid Compounds
|
Tomohisa Nagamatsu,* Hiroki Yamada, and Kazuyuki Shiromoto
|
| Vol 63, Issue 1, 2004, pp.9-16, |
| COM-03-9925 |
|
|
| |
 |
|
| Communication |
Synthesis of Optically Active Tetrahydro-3-benzazepine-2-carboxylic Acid Derivatives via the Ring Expansion Reaction of Isoquinolines and Enzymatic Resolution
|
Yuji Koseki, Hidefumi Ozawa, Katsuaki Kitahara, Ichiro Kato, Hiroto Sato, Haruhiko Fukaya, and Tatsuo Nagasaka*
|
| Vol 63, Issue 1, 2004, pp.17-22, |
| COM-03-9928 |
|
|
| |
 |
|
| Paper |
Synthesis of N-Allyl and N-Propadienylacridones Using Phase-Transfer Catalysis
|
Lisbet Xuárez, Roland F. Pellón,* Norma D’Accorso, Verónica Montesano, and Mirtha Fasio
|
| Vol 63, Issue 1, 2004, pp.23-28, |
| COM-01-9163 |
|
|
| |
 |
|
| Paper |
Bipyrrole Derivatives as New DNA-Minor Groove Binders
|
Mikimasa Tanada, Yoshihiro Shibata, Minoru Maeda, and Shigeki Sasaki*
|
| Vol 63, Issue 1, 2004, pp.29-39, |
| COM-03-9890 |
|
|
| |
 |
|
| Paper |
Indium-mediated Reductive Inter-molecular Coupling Reaction of 2-Nitroaniline with Aromatic Aldehydes to Benzimidazoles
|
Byeong Hyo Kim,* Rongbi Han, Ji Sook Kim, Young Moo Jun, Woonphil Baik, and Byung Min Lee
|
| Vol 63, Issue 1, 2004, pp.41-54, |
| COM-03-9903 |
|
|
| |
 |
|
| Paper |
Synthesis and Structural Studies of (2-Oxo-2,3-dihydroimidazo[1,2-a]pyridin-3-yl)acetic Acids
|
Anton V. Dolzhenko,* Nina V. Kolotova, Vladislav O. Kozminykh, Wai-Keung Chui,* Paul W. S. Heng, and Viktor N. Khrustalev
|
| Vol 63, Issue 1, 2004, pp.55-62, |
| COM-03-9909 |
|
|
| |
 |
|
| Paper |
Preparation and Structure of Diexo-Oxanorbornane-fused 1,3-Heterocycles
|
Ferenc Miklós, Iván Kanizsai, Steffen Thomas, Erich Kleinpeter, Reijo Sillanpää, and Géza Stájer*
|
| Vol 63, Issue 1, 2004, pp.63-74, |
| COM-03-9916 |
|
|
| |
 |
|
| Paper |
Synthetic Studies on Isoquinoline Derivatives with Multidrug Resistance (MDR) Modulating Activity
|
| Chen Ma,* Su-Dong Cho, J. R. Falck, and Dong-Soo Shin |
| Vol 63, Issue 1, 2004, pp.75-85, |
| COM-03-9918 |
|
|
| |
 |
|
| Note |
One-Pot Synthesis of Tetra-substituted Imidazoles on Silica Gel under Microwave Irradiation
|
Yu Xu, Yan-Zhi Liu, Lei Rui, Lei Liu, and Qing-Xiang Guo*
|
| Vol 63, Issue 1, 2004, pp.87-93, |
| COM-03-9896 |
|
|
| |
 |
|
| Note |
Synthesis of 2-Substituted 3,4-Dihydroquinazoline Derivatives via Regioselective Addition of a Carbon Nucleophile to a Carbodiimide
|
Bum Hoon Lee, Jae Yeol Lee,* Bong Young Chung, and Yong Sup Lee*
|
| Vol 63, Issue 1, 2004, pp.95-105, |
| COM-03-9901 |
|
|
| |
 |
|
| Note |
Terpenoid Metabolites of the Marine Octocoral Eunicea laciniata
|
Kelly I. Marville, William F. Reynolds, R. Lynn Sealy, and Winston F. Tinto*
|
| Vol 63, Issue 1, 2004, pp.107-113, |
| COM-03-9902 |
|
|
| |
 |
|
| Note |
Two New Bicoumarins from Clausena excavata
|
Yuko Takemura, Kinuko Kanao, Asami Konoshima, Motoharu Ju-ichi,* Chihiro Ito, and Hiroshi Furukawa, Harukuni Tokuda, and Hoyoku Nishino
|
| Vol 63, Issue 1, 2004, pp.115-121, |
| COM-03-9907 |
|
|
| |
 |
|
| Note |
Three New Lycoctonine-Type C19-Diterpenoid Alkaloids from Delphinium giraldii
|
Xian-Li Zhou, Qiao-Hong Chen, and Feng-Peng Wang*
|
| Vol 63, Issue 1, 2004, pp.123-128, |
| COM-03-9915 |
|
|
| |
 |
|
| Note |
A New Resveratrol Hexamer from Upuna borneensis
|
Tetsuro Ito,* Toshiyuki Tanaka, Zulfiqar Ali, Yukihiro Akao, Yoshinori Nozawa, Yoshikazu Takahashi, Ryuichi Sawa, Ken-ichi Nakaya, Jin Murata, Dedy Darnaedi, and Munekazu Iinuma
|
| Vol 63, Issue 1, 2004, pp.129-136, |
| COM-03-9917 |
|
|
| |
 |
|
| Note |
Preparation and Optical Resolution of a New Helical Lactone Carrying the 2,8-Dioxabicyclo[3.3.0]octane Ring System
|
Makoto Yamaye,* Yusuke Ikeda, Namiko Cho(Toh), Yoshinori Miura, Tetsutaro Yoshinaga, Katsuya Mukae, and Toshiaki Tsuru
|
| Vol 63, Issue 1, 2004, pp.137-143, |
| COM-03-9919 |
|
|
| |
 |
|
| Review |
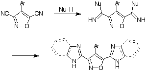
Structural Revision in Pyrazole Chemistry
|
Devinder Kumar* and Shiv P. Singh*
|
| Vol 63, Issue 1, 2004, pp.145-173, |
| REV-03-569 |
|
|
| |
 |
|
| Communication |
Selective Phototransformation of Hydroxy-substituted Aromatic Nitrones into N,N-Diarylformamide Derivatives Showing a Novel Conformational Isomerism
|
Harunobu Kondo, Kenta Tanaka , Kanji Kubo, Tetsutaro Igarashi, and Tadamitsu Sakurai*
|
| Vol 63, Issue 2, 2004, pp.241-247, |
| COM-03-9942 |
|
|
| |
 |
|
| Paper |
On the Synthesis and Characterization of 3-Arylamino-7-nitro-2H-1,4-benzoxazines
|
Roxana Barbieru, Walter Grahn, Horst Hartmann,* Dominic Pratt, and Peter G. Jones
|
| Vol 63, Issue 2, 2004, pp.249-258, |
| COM-03-9885 |
|
|
| |
 |
|
| Paper |
Synthesis and Structural Studies of 3-Acylamino-4-amino-2,3-dihydro-2-iminothiazole-5-carboxylates and 4-Acylhydrazino-2-aminothiazole-5-carboxylates
|
Maria Teresa Cocco,* Cenzo Congiu, Valentina Onnis, and Sandra Ianelli
|
| Vol 63, Issue 2, 2004, pp.259-270, |
| COM-03-9910 |
|
|
| |
 |
|
| Paper |
The Asymmetric Synthesis of Linear Dihydropyrano Coumarins for Alzheimer’s Disease
|
Shi Shun, Ling-Yi Kong,* Han-Qing Zhang, shan-An He, and Masatake Niwa
|
| Vol 63, Issue 2, 2004, pp.271-282, |
| COM-03-9913 |
|
|
| |
 |
|
| Paper |
Facile Synthesis of Biologically Active Heterocycles by Indium-induced Reactions of Aromaic Nitro Compounds in Aqueous Ethanol
|
Bimal K. Banik,* Indrani Banik, Susanta Samajdar, and Mary Wilson
|
| Vol 63, Issue 2, 2004, pp.283-296, |
| COM-03-9914 |
|
|
| |
 |
|
| Paper |
Etherificaiton of Heterocyclic Compounds by Nucleophilic Aromatic Substitutions under Green Chemistry Conditions
|
Matthieu Lloung, André Loupy,* Sylvain Marque, and Alain Petit
|
| Vol 63, Issue 2, 2004, pp.297-308, |
| COM-03-9921 |
|
|
| |
 |
|
| Paper |
Reaction of 2-Benzotelluropyrylium Salts with Organocopper Reagnets: Introduction of a Carbon Functional Group at the C-1 Position of the Telluropyrylium Cation Ring
|
Haruki Sashida,* Hirohito Satoh, and Kazuo Ohyanagi
|
| Vol 63, Issue 2, 2004, pp.309-317, |
| COM-03-9944 |
|
|
| |
 |
|
| Paper |
Novel Synthesis, Properties, and Structural Characteristics of 1,6-Dialkyl-pyrimido[5,4-e][n](2,4)pyridinophane-5,7-(1H,6H)-diones
|
Makoto Nitta,* Hiromi Kanda, Hiroyuki Yamamoto, and Shin-ichi Naya
|
| Vol 63, Issue 2, 2004, pp.319-331, |
| COM-03-9945 |
|
|
| |
 |
|
| Paper |
Synthesis and Complexing Properties of Crownophanes Possessing Carboxyl Group
|
Seiichi Inokuma, Takashi Funaki, Daisuke Hara, and Jun Nishimura*
|
| Vol 63, Issue 2, 2004, pp.333-346, |
| COM-03-9955 |
|
|
| |
 |
|
| Paper |
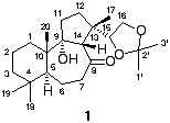
New Cytotoxic Norditerpene Dilactones from Leaves of Podocarpus macrophyllus var. maki
|
Hyun-Sun Park, Noriyuki Kai, Haruhiko Fukaya, Yutaka Aoyagi, and Koichi Takeya*
|
| Vol 63, Issue 2, 2004, pp.347-357, |
| COM-03-9970 |
|
|
| |
 |
|
| Note |
Lipoxygenase Inhibiting Flavonoids from Indigofera hetrantha
|
Aziz-ur-Rehman, Abdul Malki,* Naheed Riaz, Habib Ahmad, Sarfraz Ahmad Nawaz, and Muhammad Iqubal Choudhary
|
| Vol 63, Issue 2, 2004, pp.359-366, |
| COM-03-9922 |
|
|
| |
 |
|
| Note |
An Efficient Synthesis of 6,6-Dimethyl-2-(4-nitrophenyl)-1-(R-phenyl)-4,5,6,7-tetrahydro-1H-4-indolones Using a Solid Sulfated Zirconia as Catalyst
|
Guillermo Negrón,* Deyanira Ángeles, Leticia Lomas, Ángeles Martínez, Manuel Ramírez, and Roberto Marínez
|
| Vol 63, Issue 2, 2004, pp.367-371, |
| COM-03-9923 |
|
|
| |
 |
|
| Note |
Synthesis of 1H-Indazoles by Reductive Cyclization of o-Nitro-ketoximes
|
David K. O’Dell and Kenneth M. Nicholas*
|
| Vol 63, Issue 2, 2004, pp.373-382, |
| COM-03-9926 |
|
|
| |
 |
|
| Note |
A New diterpene of Leonotis nepetaefolia
|
Dionne M. Boalino and Winston F. Tinto*
|
| Vol 63, Issue 2, 2004, pp.383-387, |
| COM-03-9927 |
|
|
| |
 |
|
| Note |
Three New Mexicanolides from the Stem Bark of Swietenia mahogani Jacq.
|
Mona M. G. Saad, Tetsuo Iwagawa, Hiroaki Okamura, Matsumi Doe, and Munehiro Nakatani*
|
| Vol 63, Issue 2, 2004, pp.389-399, |
| COM-03-9932 |
|
|
| |
 |
|
| Note |
Alkali Metal-mediated Synthesis of 1- and 4-Substituted N-Alkyl-1,2,3,4-tetrahydroisoquinolines
|
Ugo Azzena,* Luisa Pisano, and Mario Pittalis
|
| Vol 63, Issue 2, 2004, pp.401-409, |
| COM-03-9936 |
|
|
| |
 |
|
| Note |
Palladium-catalyzed Carbonylation of Polychlorinated Pyridines. A Simple Laboratory Approach to Metal Catalyzed Carbonylation Reactions
|
John W. Hull, Jr.* and Chen W. Wang
|
| Vol 63, Issue 2, 2004, pp.411-417, |
| COM-03-9946 |
|
|
| |
 |
|
| Review |
Glycolurils
|
Wanda Sliwa,* Grazyna Matusiak, and Jerzy Peszke
|
| Vol 63, Issue 2, 2004, pp.419-443, |
| REV-03-573 |
|
|
| |
 |
|
| Communication |
Dodecasubstituted Porphyrins — An Easily Accessible Type of Dendritic Porphyrins with Tunable Properties
|
Claudia Ryppa and Mathias O. Senge*
|
| Vol 63, Issue 3, 2004, pp.505-508, |
| COM-03-9962 |
|
|
| |
 |
|
| Communication |
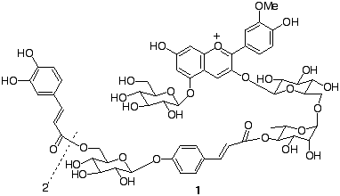
Acylated Peonidin 3-Rutinoside-5-glucosides from Commercial Petunia Cultivars with Pink Flowers
|
Fumi Tatsuzawa, Yukiko Toya, Hitoshi Watanabe, Yuji Hirayama, Koichi Shinoda, Ritsuko Hara, Hiroko Seki, and Toshio Ando*
|
| Vol 63, Issue 3, 2004, pp.509-517, |
| COM-03-9963 |
|
|
| |
 |
|
| Paper |
Synthesis and Spectroscopic Differentiation of 2- and 4-Alkoxythiotetronic Acids
|
Gautham Shenoy, Pilho Kim, Michael Goodwin, Quynh-Anh Nguyen, Clifton E. Barry, 3rd, and Cynthia S. Dowd*
|
| Vol 63, Issue 3, 2004, pp.519-527, |
| COM-03-9947 |
|
|
| |
 |
|
| Paper |
Synthesis and Cytotoxic Evaluation of Certain Tricyclic Benzo[g]quinolin-4(1H)-one and Benzo[g]quinoline-4,9,10-trione Derivatives
|
Shu-Lin Hsu, Yeh-Long Chen, and Cherng-Chyi Tzeng*
|
| Vol 63, Issue 3, 2004, pp.529-537, |
| COM-03-9948 |
|
|
| |
 |
|
| Paper |
Synthetic Studies on Azaspiracid, a Novel Shellfish Poison: Attempts to Construct the ABCD Ring System
|
Yuichi Ishikawa and Shigeru Nishiyama*
|
| Vol 63, Issue 3, 2004, pp.539-565, |
| COM-03-9952 |
|
|
| |
 |
|
| Paper |
Synthesis and Photochromic Properties of Methoxy Substituted 2,2-Diaryl-2H-naphtho[1,2-b]pyrans
|
Christopher D. Gabbutt, John D. Hepworth, B. Mark Heron,* David A. Thomas, Colin Kilner, and Steven M. Partington
|
| Vol 63, Issue 3, 2004, pp.567-582, |
| COM-03-9956 |
|
|
| |
 |
|
| Paper |
Green Chemistry Approaches to the Synthesis of 5-Arylidenethiobarbituric Acids by a Condensation Reactions between Aromatic Aldehydes and Thiobarbituric Acid: Comparison of Water, Microwave Irradiation, and Grinding
|
Jun Lu,* Yingying Li, Yinjuan Bai, and Min Tian
|
| Vol 63, Issue 3, 2004, pp.583-589, |
| COM-03-9957 |
|
|
| |
 |
|
| Paper |
Reaction of [1,4]Benzodioxinopyridazines with Sodium Methoxide and Amines
|
Etsuo Oishi,* Chitose Sugiyama, Ken-ichi Iwamoto, and Ikuo Kato
|
| Vol 63, Issue 3, 2004, pp.591-608, |
| COM-03-9961 |
|
|
| |
 |
|
| Paper |
Synthesis of 5-Substituted Ethyl 3-Oxo-2H-pyrazolo[4,3-c]pyridine-7-carboxylates
|
David Bevk, Renata Jakse, Amalija Colobic, Ljubo Golic, Anton Meden, Jurij Svete,* and Branko Stanovnik*
|
| Vol 63, Issue 3, 2004, pp.609-629, |
| COM-03-9964 |
|
|
| |
 |
|
| Paper |
Synthesis of Aromatic Ring Fused Pyrrole Derivatives by Palladium-catalyzed Annulation of o-Iodoarylamines with Allyl Acetate
|
Chang Sung Hong, Jae Yong Seo, Eul Kgun Yum,* and Nack-Do Sung
|
| Vol 63, Issue 3, 2004, pp.631-639, |
| COM-03-9965 |
|
|
| |
 |
|
| Paper |
Leptosins O-S, Cytotoxic Metabolites of a Strain of Leptosphaeria Sp. Isolated from a Marine Alga
|
Takeshi Yamada, Chika Iwamoto, Naoko Yamagaki, Takako Yamanouchi, Katsuhiko Minoura, Sanji Hagishita, and Atsushi Numata*
|
| Vol 63, Issue 3, 2004, pp.641-653, |
| COM-03-9967 |
|
|
| |
 |
|
| Paper |
Syntheses of 1,2,3,4,6,7,12,12b-Octahydroindolo[2,3-a]quinolizine and Harmicine Using a Chiral 1-Allyl-1,2,3,4-tetrahydro-β-carboline as the Starting Material
|
Takashi Itoh, Michiko Miyazaki, Kazuhiro Nagata, Shigeru Nakamura, and Akio Ohsawa*
|
| Vol 63, Issue 3, 2004, pp.655-661, |
| COM-03-9968 |
|
|
| |
 |
|
| Paper |
Density Functional Theory Study of the Preferred Conformation of Geissoschizine
|
Juriffah Ariffin, Hiromitsu Takayama, Mariko Kitajima, Norio Aimi,* and Chikara Kaneko
|
| Vol 63, Issue 3, 2004, pp.663-670, |
| COM-03-9971 |
|
|
| |
 |
|
| Note |
Synthesis and Characterization of Potential Photolabeling Probes for Studying the Antiviral Mechanisms of EICAR
|
Qiongyou Wu, Jinqiao Wan, Yi Xia, Jiehua Zhou, Fanqi Qu, and Ling Peng*
|
| Vol 63, Issue 3, 2004, pp.671-679, |
| COM-03-9930 |
|
|
| |
 |
|
| Note |
Diastereoselective Synthesis of Substituted 2-Phenyltetrahydropyrans as Useful Precursors of Aryl C-Glycosides via Selenoetherification
|
Michelangelo Gruttadauria,* Carmela Aprile, Paolo Lo Meo, Serena Riela, and Renato Noto
|
| Vol 63, Issue 3, 2004, pp.681-690, |
| COM-03-9959 |
|
|
| |
 |
|
| Note |
Quassinoid Xylosides, Javanicosides G and H, from Seeds of Brucea javanica
|
Ik Hwi Kim, Yukio Hitotsuyanagi, and Koichi Takeya*
|
| Vol 63, Issue 3, 2004, pp.691-697, |
| COM-03-9966 |
|
|
| |
 |
|
| Note |
Practical Synthesis of DQ-113, a New Quinolone Antibacterial Agent, by Using the Intramolecular Horner-Wadsworth-Emmons Reaction
|
Hiroaki Inagaki, Toshiyuki Takeda, Rie N. Miyauchi, Katsuhiro Kawakami, Hisashi Takahashi, and Makoto Takemura*
|
| Vol 63, Issue 3, 2004, pp.699-706, |
| COM-03-9972 |
|
|
| |
 |
|
| Note |
A Convenient Synthesis of Trifluoromethylpyridazines from 3-Hydrazono-1,1,1-trifluoroalkan-2-ones
|
Yasuhiro Kamitori* and Tomoko Sekiyama
|
| Vol 63, Issue 3, 2004, pp.707-713, |
| COM-03-9975 |
|
|
| |
 |
|
| Communication |
Well-divided and pH-Dependent Bimodal Chemiluminescence of 2-Methyl-6-phenyl-8-(4-substituted phenyl)imidazo[1,2-a]pyrazin-3(7H)-ones Induced by Superoxide Anion
|
Ryota Saito,* Chizuru Inoue, and Akira Katoh
|
| Vol 63, Issue 4, 2004, pp.759-764, |
| COM-03-9977 |
|
|
| |
 |
|
| Communication |
Anodic Oxidation of Tetrahydro-β-carboline Derivatives: Formal Oxidation of Protonated Tertiary Amines
|
Loïc Planas, Thierry Martens, Florence Billon-Souquet, and Jacques Royer*
|
| Vol 63, Issue 4, 2004, pp.765-771, |
| COM-03-9989 |
|
|
| |
 |
|
| Communication |
Use of Deoxo-Fluor for Double Cyclization to Bis-thiazolines. Limitations of This Agent for the Synthesis of Oxazolines
|
Laura Scarone, Diver Sellanes, Eduardo Manta, Peter Wipf, and Gloria Serra*
|
| Vol 63, Issue 4, 2004, pp.773-778, |
| COM-03-9996 |
|
|
| |
 |
|
| Communication |
Synthesis of CMP-sialic Acid Mimics That Have 5-Fluorouracil for Cytosine and the C-Terminal's Peptide Bond for the Phosphate Group: Targeting Inhibitors of Sialyltransferases
|
Shinji Nakahara, Toru Tanaka, Kazuharu Noguchi, Kenji Nozaki, Shuichi Tsuji, Tsuyoshi Miura, and Tetsuya Kajimoto*
|
| Vol 63, Issue 4, 2004, pp.779-784, |
| COM-04-10009 |
|
|
| |
 |
|
| Communication |
Synthesis of Microcarpalide, a Microfilament Disrupting Agent
|
Ken Ishigami and Takeshi Kitahara*
|
| Vol 63, Issue 4, 2004, pp.785-790, |
| COM-04-10016 |
|
|
| |
 |
|
| Paper |
A Simple and Efficient Synthesis of New 6-Arylimino-6H-indolo[2,1-b]quinazolin-12-ones under Microwave Irradiation
|
Javad Azizian,* Ali A. Mohammadi, F. Ardakani, Ali R. Karimi, and Mohammad R. Mohammadizadeh
|
| Vol 63, Issue 4, 2004, pp.791-795, |
| COM-03-9937 |
|
|
| |
 |
|
| Paper |
An Interaction of 2-Thiazoleacetonitriles with N-(2-Chloroacetyl)anthranilic Acid Ester
|
Elizaveta V. Resnyanska, Anton V. Tverdokhlebov,* Andrey A. Tolmachev, Yulian M. Volovenko, and Tatyana V. Shokol
|
| Vol 63, Issue 4, 2004, pp.797-807, |
| COM-03-9973 |
|
|
| |
 |
|
| Paper |
Some Reactions of 3-Phenyl-8-triphenylphosphoimino-1-azaazulene
|
Noritaka Abe,* Kentaro Nagamatsu, Kenji Tahara, and Hiroyuki Fujii
|
| Vol 63, Issue 4, 2004, pp.809-818, |
| COM-03-9982 |
|
|
| |
 |
|
| Paper |
Synthesis of 2,3,8-Trisubstituted 7H-Isoindolo[5,6-g]quinoxaline-5,7,9,11(8H)-tetraones
|
Heesoon Lee,* Sungmoon Cho, Byeonggil Choi, Kwon Namgoong, and Jae-Kyung Jung
|
| Vol 63, Issue 4, 2004, pp.819-826, |
| COM-03-9984 |
|
|
| |
 |
|
| Paper |
Investigation of Intramolecular Pauson-Khand Reaction of 2-Aryl-1,6- and 1-Methyl-1,7-enynes (exo-Olefins) and 1-Phenyl-1-octen-7-yne (endo-Olefin)
|
Miyuki Ishizaki,* Hiroshi Satoh, Osamu Hoshino, Kiyoshi Nishitani, and Hiroshi Hara*
|
| Vol 63, Issue 4, 2004, pp.827-844, |
| COM-03-9993 |
|
|
| |
 |
|
| Note |
Conodusarine, a New Biologically Active Bisindole Alkaloid from Tabernaemontana divaricata
|
Toh-Seok Kam* and Huey-Shen Pang
|
| Vol 63, Issue 4, 2004, pp.845-850, |
| COM-03-9943 |
|
|
| |
 |
|
| Note |
Sequential Bromination-Rearrangement of Push-pull Thiazolidines Induced by Pyridinium Hydrobromide Perbromide under Homogenous Reaction Conditions
|
Rade Markovic,* Marija Baranac, and Zdravko Dzambaski
|
| Vol 63, Issue 4, 2004, pp.851-860, |
| COM-03-9980 |
|
|
| |
 |
|
| Note |
A New Tricyclic 6-7-5-Ring Diterpene from Pliocene Fossil Tsuga dumosa
|
You-Xing Zhao, Cheng-Sen Li, Xiao-Dong Luo, and Jun Zhou*
|
| Vol 63, Issue 4, 2004, pp.861-864, |
| COM-03-9981 |
|
|
| |
 |
|
| Note |
A Convenient Oxidation Method of the Benzylic 10-Position in 4,5-Epoxymorphinan
|
Hiromasa Horikiri and Kuniaki Kawamura*
|
| Vol 63, Issue 4, 2004, pp.865-870, |
| COM-03-9985 |
|
|
| |
 |
|
| Note |
Two Lignan Glycosides from Vitis thunbergii
|
Yue-Hua He, De-Qiang Dou, Kenji Terashima, Yoshiaki Takaya, and Masatake Niwa*
|
| Vol 63, Issue 4, 2004, pp.871-877, |
| COM-03-9991 |
|
|
| |
 |
|
| Note |
A New Pterocarpan from Erythrina fusca
|
Pranorm Khaomek, Nijsiri Ruangrungsi,* Ekarin Saifah, Nongluksna Sriubolmas, Chikara Ichino, Hiroaki Kiyohara, and Haruki Yamada
|
| Vol 63, Issue 4, 2004, pp.879-884, |
| COM-03-9994 |
|
|
| |
 |
|
| Note |
Synthesis of the ABCD Ring System of Azaspiracid, a Marine Poison from Mytilus edulis
|
Yuichi Ishikawa and Shigeru Nishiyama*
|
| Vol 63, Issue 4, 2004, pp.885-893, |
| COM-03-10000 |
|
|
| |
 |
|
| Note |
Briaexcavatolide W, a New Diterpenoid from Briareum excavatum
|
Shwu-Li Wu, Ping-Jyun Sung, Jui-Hsin Su, Guey-Horng Wang, and Jyh-Horng Sheu*
|
| Vol 63, Issue 4, 2004, pp.895-898, |
| COM-04-10004 |
|
|
| |
 |
|
| Note |
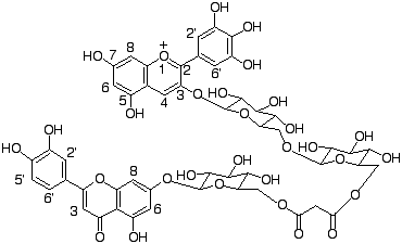
(Delphinidin 3-Gentiobiosyl) (Luteorin 7-Glucosyl) Malonate from the Flowers of Eichhornia crassipes
|
Kenjiro Toki, Norio Saito, Shinya Tsutsumi, Chihiro Tamura, Atsushi Shigihara, and Toshio Honda*
|
| Vol 63, Issue 4, 2004, pp.899-902, |
| COM-04-10013 |
|
|
| |
 |
|
| Review |
Syntheses of Heterocyclic Compounds under Microwave Irradiation
|
Yu Xu and Qing-Xiang Guo*
|
| Vol 63, Issue 4, 2004, pp.903-974, |
| REV-03-574 |
|
|
| |
 |
|
| Communication |
Formation of 3-Pyrrolin-2-ones via 5-Endo-trig Cyclization
|
Ruri Naitoh, Yayoi Nakamura, Emi Katano, Yohoko Nakamura, Emi Okada, and Morio Asaoka*
|
| Vol 63, Issue 5, 2004, pp.1009-1012, |
| COM-04-10018 |
|
|
| |
 |
|
| Communication |
Convenient Synthesis of Pulchellalactam, a CD45 Protein Tyrosine Phosphatase Inhibitor from the Marine Fungus Corollospora pulchella, and Its Related Compounds
|
Jun-ichiro Bessho, Yasuhiko Shimotsu, Sachiko Mizumoto, Nobuyuki Mase, Hidemi Yoda, and Kunihiko Takabe*
|
| Vol 63, Issue 5, 2004, pp.1013-1016, |
| COM-04-10030 |
|
|
| |
 |
|
| Communication |
Palladium(II)-catalyzed Stereocontrolled Cyclization via Hemiacetal Intermediates: Total Synthesis of 5-Epi-prelactone C
|
Masahiro Miyazawa, Magsarjav Narantsetseg, Hajime Yokoyama, Seiji Yamaguchi, and Yoshiro Hirai*
|
| Vol 63, Issue 5, 2004, pp.1017-1021, |
| COM-04-10034 |
|
|
| |
 |
|
| Communication |
A Novel Secondary Metabolite from Lethariella sernanderi
|
Kaoru Kinoshita, Kazuhiko Takatori, Takao Narui, Chicita F. Culberson, Masahiro Hasumi, Yuuichi Nishino, Kiyotaka Koyama, and Kunio Takahashi*
|
| Vol 63, Issue 5, 2004, pp.1023-1026, |
| COM-04-10055 |
|
|
| |
 |
|
| Paper |
Palladium-catalyzed Cyclocarbonylation of Unsaturated Alcohols and Amines. Chemoselective Synthesis of Heterocycle-substituted γ- and δ-Lactones and Lactams
|
Catia Granito, Luigino Troisi,* and Ludovico Ronzini
|
| Vol 63, Issue 5, 2004, pp.1027-1044, |
| COM-03-9978 |
|
|
| |
 |
|
| Paper |
Synthesis of 3-Ferrocenyl-3,3a,4,5-tetrahydro-2H-benzo[g]indazoles
|
Elena Klimova, Tatiana Klimova,* Teresa Ramírez Apan, Antonio Neito Camacho, Rafael Moreno Esparza, Carlos Damian Zea, and Marcos Martínez García
|
| Vol 63, Issue 5, 2004, pp.1045-1056, |
| COM-03-9999 |
|
|
| |
 |
|
| Paper |
KF-Alumina Immobilized in Ionic Liquids: A Novel Heterogeneous Base for Heterocyclization of Alkylsulfanylphenylamines into 1,4-Benzothiazine
|
Bhupender S. Chhikara, Anil K. Mishra, and Vibha Tandon*
|
| Vol 63, Issue 5, 2004, pp.1057-1065, |
| COM-04-10003 |
|
|
| |
 |
|
| Paper |
Facile Synthesis of 4H-1,3-Benzoselenazines by the Aryne Reaction
|
U. Narasimha Rao, Ramadas Sathunuru, and Edward R. Biehl*
|
| Vol 63, Issue 5, 2004, pp.1067-1075, |
| COM-04-10006 |
|
|
| |
 |
|
| Paper |
Organic Reactions in Ionic Liquids: A Simple Highly Regioselective or Regiospecific Substitutions of Benzotriazole
|
Zhang-Gao Le, Zhen-Chu Chen,* Yi Hu, and Qin-Guo Zheng
|
| Vol 63, Issue 5, 2004, pp.1077-1081, |
| COM-04-10010 |
|
|
| |
 |
|
| Paper |
Synthesis of Fluorescent Derivatization Reagents: Reaction of Isatin with 3-Aryl-7-diethylaminocoumarins and Their Fluorescent Properties
|
Naozumi Nishizono,* Kazuaki Oda, Yutaka Kato, Kosei Ohno, Masaru Minami, and Minoru Machida
|
| Vol 63, Issue 5, 2004, pp.1083-1091, |
| COM-04-10021 |
|
|
| |
 |
|
| Paper |
Synthesis of Substituted 1,4-Benzoxazepin-3-one Derivatives
|
Yann Davion, Gérald Guillaumet, Jean-Michel Léger, Christian Jarry, Brigitte Lesur, and Jean-Yves Mérour*
|
| Vol 63, Issue 5, 2004, pp.1093-1112, |
| COM-04-10022 |
|
|
| |
 |
|
| Paper |
A New Synthetic Route to YM087, an Arginine Vasopressin Antagonist
|
Takashi Tsunoda,* Akihiro Tanaka, Toshiyasu Mase, and Shuichi Sakamoto
|
| Vol 63, Issue 5, 2004, pp.1113-1122, |
| COM-04-10025 |
|
|
| |
 |
|
| Paper |
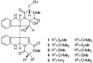
Gliocladins A - C and Glioperazine ; Cytotoxic Dioxo- or Trioxopiperazine Metabolites from a Gliocladium Sp. Separated from a Sea Hare
|
Yoshihide Usami,* Junko Yamaguchi, and Atsushi Numata
|
| Vol 63, Issue 5, 2004, pp.1123-1129, |
| COM-04-10037 |
|
|
| |
 |
|
| Paper |
Synthesis of Isotope Labeled Me(3a)-13C-Physostigmine and Debromoflustramine B
|
Martha S. Morales-Ríos,* Norma F. Santos-Sánchez, Yolanda Mora-Pérez, and Pedro Joseph-Nathan
|
| Vol 63, Issue 5, 2004, pp.1131-1142, |
| COM-04-10041 |
|
|
| |
 |
|
| Note |
Pyridazine Derivatives and Related Compounds Part 10. Reactions of 3-Diazopyrazolo[3,4-c]pyridazine with Reactive Methylene Compounds and Other Groups
|
Ali Deeb* and Mahmoud Kotb
|
| Vol 63, Issue 5, 2004, pp.1143-1151, |
| COM-03-9960 |
|
|
| |
 |
|
| Note |
A Convenient Synthesis of Some New 1,3,4-Benzothiadiazepin-5-ones
|
Jalal A. Zahara, Bassam A. Abu Thaher, Mustafa M. El-Abadelah,* and Roland Boese
|
| Vol 63, Issue 5, 2004, pp.1153-1163, |
| COM-03-9974 |
|
|
| |
 |
|
| Note |
A Solvent-free Method for Substituted Imidazolidin-4-ones Synthesis
|
Jirí Pospísil and Milan Potácek*
|
| Vol 63, Issue 5, 2004, pp.1165-1173, |
| COM-03-9997 |
|
|
| |
 |
|
| Note |
Synthesis of 1,2,3-Triazoles
|
Dolly, Belen Batanero, and Fructuoso Barba*
|
| Vol 63, Issue 5, 2004, pp.1175-1180, |
| COM-04-10012 |
|
|
| |
 |
|
| Note |
A New Diterpene Alkaloid from Aconitum brunneum Hand-Mazz
|
Liming Gao, Xiaomei Wei, Xiaoling Jin, and Li Yang*
|
| Vol 63, Issue 5, 2004, pp.1181-1184, |
| COM-04-10017 |
|
|
| |
 |
|
| Note |
Synthesis of New Medium Ring Aromatic Lactones via Halocyclization of 2-Hydroxyphenylalkanoic Acid Allylic Esters
|
David P. Brown* and Lalitha Krishnamurthy
|
| Vol 63, Issue 5, 2004, pp.1185-1192, |
| COM-04-10027 |
|
|
| |
 |
|
| Review |
Synthesis of Heterocyclic Compounds from the Reactions of Dehydroacetic Acid (DHA) and Its Derivatives
|
Om Prakash,* Ajay Kumar, and Shiv P. Singh
|
| Vol 63, Issue 5, 2004, pp.1193-1220, |
| REV-03-572 |
|
|
| |
 |
|
| Communication |
Studies of Isoindoles. 12. A Structural Revision of the 1:2 Mannich Type Condensation Reaction Product Formed from o-Phthalaldehyde and Substituted Aniline
|
Ichiro Takahashi,* Rika Miyamoto, Kenji Nishiuchi, Minoru Hatanaka, Akihito Yamano, Akiyo Sakushima, and Shinzo Hosoi*
|
| Vol 63, Issue 6, 2004, pp.1267-1271, |
| COM-04-10032 |
|
|
| |
 |
|
| Communication |
A Novel Ring-opening Reaction of (Z)-2-Methyl-4-arylmethylene-5(4H)-oxazolone Derivatives with Acylhydrazines
|
Kei Maekawa, Yoshitaka Kanno, Kanji Kubo, Tetsutaro Igarashi, and Tadamitsu Sakurai*
|
| Vol 63, Issue 6, 2004, pp.1273-1279, |
| COM-04-10061 |
|
|
| |
 |
|
| Paper |
Chemistry of Polyhalogenated Nitrobutadienes, 1: A New Synthesis of Perfunctionalized 3-Amino-4-nitrothiophenes
|
Viktor A. Zapol′skii, Jan C. Namyslo, Arnold E. W. Adam, and Dieter E. Kaufmann*
|
| Vol 63, Issue 6, 2004, pp.1281-1298, |
| COM-04-10020 |
|
|
| |
 |
|
| Paper |
Functionalization of the Ring A in Some Benzo[g]pyridazino[1,2-b]phthalazine-6,13-dione Derivatives Related to Anthracyclinones
|
Rafael Jiménez, Ana M. Sanz, Fernando Gómez-Contreras,* M. Carmen Cano, María J. R. Yunta, Mercedes Pardo, and Lucrecia Campayo
|
| Vol 63, Issue 6, 2004, pp.1299-1310, |
| COM-04-10036 |
|
|
| |
 |
|
| Paper |
Synthesis and NMR Spectroscopic Investigations with 3-Amino-, 3-Hydroxy-, and 3-Methoxy-4-acyl-1-phenyl-2-pyrazolin-5-ones
|
Wolfgang Holzer* and Linda Hallak
|
| Vol 63, Issue 6, 2004, pp.1311-1334, |
| COM-04-10046 |
|
|
| |
 |
|
| Paper |
Regioselective Cleavage of Trisubstituted Epoxy-Linkage Using Lithium Trialkylborohydride Reagents: A New Route to the Key Intermediate of Maxacalcitol
|
Hitoshi Shimizu,* Kazuki Shimizu, Noboru Kubodera, Kenichi Yakushijin, and David A. Horne
|
| Vol 63, Issue 6, 2004, pp.1335-1343, |
| COM-04-10053 |
|
|
| |
 |
|
| Paper |
A Study of Structure and Dynamics of Prochiral N-C Axis for Asymmetric Transition Metal Catalysis, with Phosphorous-31 (V) by 3D NMR Spectroscopy Combined with MO Calculation
|
Yohko Sakamoto,* Kazuhiro Kondo, Maiko Tokunaga, Kumiko Kazuta, Hiroko Fujita, Yasuoki Murakami, and Toyohiko Aoyama
|
| Vol 63, Issue 6, 2004, pp.1345-1357, |
| COM-04-10056 |
|
|
| |
 |
|
| Paper |
Intramolecular Pauson-Khand Reaction of 3-Alkynyl-1-alkylidenecycles: A Convenient Synthesis of [5.n.1.01,5] Tricyclic Compounds
|
Miyuki Ishizaki,* Mina Masamoto, Osamu Hoshino, Kiyoshi Nishitani, and Hiroshi Hara*
|
| Vol 63, Issue 6, 2004, pp.1359-1374, |
| COM-04-10057 |
|
|
| |
 |
|
| Paper |
Kwakhurin, a Unique Isoflavone with Rejuvenating Activity from “Kwao Keur”: Further Characterization by 2D-NMR Spectrometry and Synthesis of Triisopropylkwakhurin
|
Misako Iwasaki, Toshiko Watanabe,* Tsutomu Ishikawa, Sunee Chansakaow, Yoshihiro Higuchi, and Satoshi Tahara
|
| Vol 63, Issue 6, 2004, pp.1375-1392, |
| COM-04-10060 |
|
|
| |
 |
|
| Paper |
Synthesis, Properties, and Redox Ability of Optically Active 3-Carbamoyl-1,6-dimethylpyrimido[4,5-c]pyridazine-5,7(1H,6H)-dione and Related Pyrimido-annulated Pyridine Analogues
|
Shin-ichi Naya, Kohtaro Shibayama, and Makoto Nitta*
|
| Vol 63, Issue 6, 2004, pp.1393-1408, |
| COM-04-10063 |
|
|
| |
 |
|
| Note |
Synthesis and Reactivity of a New Pyranoquinoxaline
|
Lamouri Hammal, Mokhtar Fodili, Mohamed Amari, Nawel Khier, Bellara Nedjar-Kolli,* Chantal André, Pascal Hoffmann, and Jacques Périé
|
| Vol 63, Issue 6, 2004, pp.1409-1416, |
| COM-04-10040 |
|
|
| |
 |
|
| Note |
Microwave-assisted One-Pot Three Component Synthesis of Some New 4(3H)-Quinazolinone Derivatives
|
Minoo Dabiri,* Peyman Salehi, Mohammad S. Khajavi, and Ali A. Mohammadi
|
| Vol 63, Issue 6, 2004, pp.1417-1421, |
| COM-04-10042 |
|
|
| |
 |
|
| Note |
Synthesis of the New Pyrazolo[4,3-c]pyrrolizine Skeleton via Intramolecular Nitrilimine Cycloaddition
|
Giorgio Molteni*
|
| Vol 63, Issue 6, 2004, pp.1423-1428, |
| COM-04-10050 |
|
|
| |
 |
|
| Note |
Two New Naphthalenyl Glucosides and a New Phenylbutyric Acid Glucoside from the Fruit of Juglans mandshurica
|
Lijuan Liu, Wei Li, Kazuo Koike, and Tamotsu Nikaido*
|
| Vol 63, Issue 6, 2004, pp.1429-1436, |
| COM-04-10054 |
|
|
| |
 |
|
| Note |
Two New Lignan Glycosides from Schisandra rubriflora
|
Ganpeng Li, Jingfeng Zhao, Yongqiang Tu, Xiaodong Yang, Hongbin Zhang, and Liang Li*
|
| Vol 63, Issue 6, 2004, pp.1437-1441, |
| COM-04-10058 |
|
|
| |
 |
|
| Note |
A Bioactive Alkaloid from the Flowers of Trollius chinensis
|
Ru Feng Wang, Xiu Wei Yang, Chao Mei Ma, Shao Qing Cai,* Jian Nong Li, and Yukihiro Shoyama
|
| Vol 63, Issue 6, 2004, pp.1443-1448, |
| COM-04-10062 |
|
|
| |
 |
|
| Note |
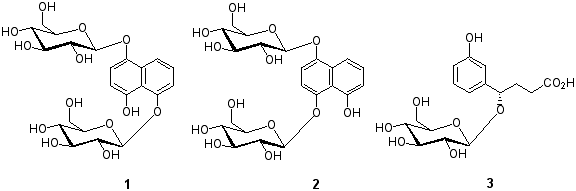
An Acylated Pelargonidin 3-Sophoroside from the Pale-brownish Red Flowers of Ipomoea nil
|
Kenjiro Toki, Norio Saito, Yasumasa Morita, Atsushi Hoshino, Shigeru Iida, Atsushi Shigihara, and Toshio Honda*
|
| Vol 63, Issue 6, 2004, pp.1449-1454, |
| COM-04-10076 |
|
|
| |
 |
|
| Review |
Synthesis and Reactions of N-Ethynyl-heterocycles
|
Alan R. Katritzky,* Rong Jiang, and Sandeep K. Singh
|
| Vol 63, Issue 6, 2004, pp.1455-1475, |
| REV-04-575 |
|
|
| |
 |
|
| Communication |
Direct Conversion of 2-Acetamido-2-deoxysugars to 1,2-Oxazoline Derivatives by Dehydrative Cyclization in Water
|
Jun-ichi Kadokawa, Mitsumasa Mito, Satoshi Takahashi, Masato Noguchi, and Shin-ichiro Shoda*
|
| Vol 63, Issue 7, 2004, pp.1531-1535, |
| COM-04-10065 |
|
|
| |
 |
|
| Communication |
Synthesis and Characterization of Hexakis(4-pyridylethynyl)benzene and Hexakis(5-pyrimidylethynyl)benzene
|
Masakazu Ohkita,* Chihaya Adachi, Miki Kawano, and Takanori Suzuki
|
| Vol 63, Issue 7, 2004, pp.1537-1540, |
| COM-04-10073 |
|
|
| |
 |
|
| Communication |
Efficient Photochemical Oxetane Formation from 2-Pyrones and Benzophenones in the Solid State
|
Tetsuro Shimo, Ryoji Yamaguchi, Yuka Odo, and Kenichi Somekawa*
|
| Vol 63, Issue 7, 2004, pp.1541-1545, |
| COM-04-10088 |
|
|
| |
 |
|
| Paper |
Characterization of the Oxidation Products of (-)-Epigallocatechin Gallate, a Bioactive Tea Polyphenol, on Incubation in Neutral Solution
|
Tsutomu Hatano,* Mami Hori, Miwako Kusuda, Takayo Ohyabu, Hideyuki Ito, and Takashi Yoshida
|
| Vol 63, Issue 7, 2004, pp.1547-1554, |
| COM-04-10039 |
|
|
| |
 |
|
| Paper |
Facile Methods for Preparation Thiazolopyridine and Tetrahydrothiazolopyridine Derivatives
|
Noriyasu Haginoya,* Satoshi Komoriya, Ken Osanai, Toshiharu Yoshino, Tsutomu Nagata, Masatoshi Nagamochi, Ryo Muto, Mitsuhiro Yamaguchi, Takayasu Nagahara, and Hideyuki Kanno
|
| Vol 63, Issue 7, 2004, pp.1555-1561, |
| COM-04-10071 |
|
|
| |
 |
|
| Paper |
Dendritic Cyclotriphosphazene Derivative with Hexaxis(alkylazobenzene) Substitution as Photo-sensitive Trigger
|
Makoto Takafuji, Tomohiro Shirosaki, Taisuke Yamada, Toshihiko Sakurai, Dzhamil Alekperov, Galina Popova, Takashi Sagawa, and Hirotaka Ihara*
|
| Vol 63, Issue 7, 2004, pp.1563-1572, |
| COM-04-10077 |
|
|
| |
 |
|
| Paper |
Iodoenolcyclization of 2-Allyl Substituted β-Keto Esters under Thermodynamic Conditions
|
Roberto Antonioletti,* Savina Malancona, and Paolo Bovicelli
|
| Vol 63, Issue 7, 2004, pp.1573-1576, |
| COM-04-10081 |
|
|
| |
 |
|
| Paper |
Synthesis and Electrochemical Properties of π-Extended N-Arylpyrrolo[3,4-d]tetrathiafuluvalenes
|
Bingzhu Yin,* Yonghua Yang, Zhiqi Cong, and Kimiaki Imafuku*
|
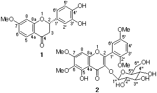
| Vol 63, Issue 7, 2004, pp.1577-1584, |
| COM-04-10083 |
|
|
| |
 |
|
| Paper |
Synthesis of N-Butyl Side Chain Hydroxylated Metabolites of Roxifiban, a Platelet Glycoprotein IIb/IIIa Receptor Antagonist
|
Jung-Hui Sun,* George C. Emmett, Janice L. Hytrek, Jia-Sheng Yan, A. Christine Tabaka-Blom, and Christopher A. Teleha
|
| Vol 63, Issue 7, 2004, pp.1585-1599, |
| COM-04-10087 |
|
|
| |
 |
|
| Paper |
Novel Syntheses of 1-Hydroxy-6- and -5-nitroindole-3-carbaldehydes, and Their Derivatives as Daikon-Phytoalexin Analogs
|
Koji Yamada, Saori Tomioka, Norihiko Tanizawa, and Masanori Somei*
|
| Vol 63, Issue 7, 2004, pp.1601-1611, |
| COM-04-10104 |
|
|
| |
 |
|
| Note |
Microwave-assisted One-Pot Synthesis of Tri-substituted Imidazoles on Solid Support
|
Yu Xu, Li-Feng Wan, Hojatollah Salehi, Wei Deng, and Qing-Xiang Guo*
|
| Vol 63, Issue 7, 2004, pp.1613-1618, |
| COM-04-10045 |
|
|
| |
 |
|
| Note |
Fluorinated Heterocyclic Compounds. A Photochemical Approach to a Synthesis of Fluorinated Quinazolin-4-ones
|
Silvestre Buscemi,* Andrea Pace, Antonio Palumbo Piccionello, Ivana Pibiri, and Nicolò Vivona
|
| Vol 63, Issue 7, 2004, pp.1619-1628, |
| COM-04-10059 |
|
|
| |
 |
|
| Note |
Synthesis of a New Imidazo[4,5-b]pyridin-5-one via a Vicarious Nucleophilic Substitution of Hydrogen
|
Maxime D. Crozet, Clément Suspène, Mustapha Kaafarani, Michel P. Crozet, and Patrice Vanelle*
|
| Vol 63, Issue 7, 2004, pp.1629-1635, |
| COM-04-10069 |
|
|
| |
 |
|
| Note |
Novel Heterocycles: 4-Methyl-2H-pyrano[6,5-f]cycloalka[2,1-b]2H-chromen-2-ones
|
Qian Zhang, Ying Chen, Yi Xia, Zhengyu Yang, Peng Xia*
|
| Vol 63, Issue 7, 2004, pp.1637-1643, |
| COM-04-10070 |
|
|
| |
 |
|
| Note |
Thermal Behavior of Dipolarophile-containing 2-Azidocarbonylpyrroles and -indoles
|
Giorgio Molteni
|
| Vol 63, Issue 7, 2004, pp.1645-1650, |
| COM-04-10079 |
|
|
| |
 |
|
| Note |
Synthesis and 1,3-Dipolar Cycloaddition Reactions of New Pyrazolo[1,5,4-ef][1,5]bezodiazepines
|
Latifa Bouissane, Said El Kazzouli, El Mostapha Rakib,* Mostafa Khouili, Abdellah Hannioui, Mohammed Benchidmi, El Mokhtar Essassi, and Gérald Guillaumet
|
| Vol 63, Issue 7, 2004, pp.1651-1658, |
| COM-04-10082 |
|
|
| |
 |
|
| Note |
Chemical Behavior of 3,5-Dicyanoisoxazoles
|
Mina Tamura, Tae Nishimura, Nagatoshi Nishiwaki,* and Masahiro Ariga*
|
| Vol 63, Issue 7, 2004, pp.1659-1665, |
| COM-04-10085 |
|
|
| |
 |
|
| Note |
Chemiluminescent Autoxidation of α-Silyl Carbanions Derived from 9-Silyl-10-methylacridanes
|
Jiro Motoyoshiya,* Kunihiko Tokutake, Motoki Kuroe, Sachiko Yoshioka, Yoshinori Nishii, and Hiromu Aoyama
|
| Vol 63, Issue 7, 2004, pp.1667-1672, |
| COM-04-10094 |
|
|
| |
 |
|
| Note |
Synthesis of Protected (Purin-6-yl)glycines via Pd-Catalyzed α-Arylation of Ethyl N-(Diphenylmethylidene)glycinate with 6-Iodopurines
|
Michal Hocek*
|
| Vol 63, Issue 7, 2004, pp.1673-1677, |
| COM-04-10096 |
|
|
| |
 |
|
| Note |
Reactions of 5-Hydroxymethyl-1H-indole-4,7-dione with Enamines for the First Construction of 1H,5H-Pyrano[3,4-f]indole-4,9-dione Derivatives
|
Kazuhiro Kobayashi,* Hideo Tanaka, Koujirou Tanaka, Kazutaka Hayashi, Osamu Morikawa, and Hisatoshi Konishi
|
| Vol 63, Issue 7, 2004, pp.1679-1683, |
| COM-04-10102 |
|
|
| |
 |
|
| Review |
Construction of Pyrrolo[3,2-c]quinolines — Recent Advences in the Synthesis of the Martinelline Alkaloids
|
Miklós Nyerges
|
| Vol 63, Issue 7, 2004, pp.1685-1712, |
| REV-04-576 |
|
|
| |
 |
|
| Communication |
A New Method for Regioselective Synthesis of a Broad-Spectrum Parenteral S-3578-Related Cephalosporin Bearing an Imidazo[4,5-b]pyridinium Derivative at C-3’
|
Hidenori Yoshizawa, Katsuki Yokoo, Takashi Nomura, Takafumi Ohara, Koji Ishikura,* and Yasuhiro Nishitani
|
| Vol 63, Issue 8, 2004, pp.1757-1763, |
| COM-04-10097 |
|
|
| |
 |
|
| Communication |
Synthesis of 5-Methylindole-4,7-quinone through a New Construction of the Functionalized Indole Ring Based on the Allene-mediated Electrocyclic Reaction Involving the Pyrrole [b]-Bond
|
Maho Hirayama, Tominari Choshi, Teppei Kumemura, Shigeo Tohyama, Junko Nobuhiro, and Satoshi Hibino*
|
| Vol 63, Issue 8, 2004, pp.1765-1770, |
| COM-04-10138 |
|
|
| |
 |
|
| Paper |
Synthesis of Benzofurans from Isovanillin via C-Propenylation-O-Vinylation and Ring-closing Metathesis
|
Tzu-Wei Tsai, Eng-Chi Wang,* Keng-Shiang Huang, Sie-Rong Li, You-Feng Wang, Yu-Li Lin, and Yung-Hua Chen
|
| Vol 63, Issue 8, 2004, pp.1771-1781, |
| COM-04-10074 |
|
|
| |
 |
|
| Paper |
Condensation of 4-Hydroxy-2-thiazolines with 1,2-Phenylenediamine as a Novel Effective Route to Thiazolo[3,4-a]quinoxalines
|
Vakhid A. Mamedov,* Ilsiyar Z. Nurkhametova, Aidar T. Gubaidullin, Igor A. Litvinov, and Sadao Tsuboi*
|
| Vol 63, Issue 8, 2004, pp.1783-1792, |
| COM-04-10084 |
|
|
| |
 |
|
| Paper |
Synthesis of Hydroxyquinoline Derivatives, Aminohydroxychromene, Aminocoumarin and Their Antibacterial Activities
|
Alaa S. Abd-El-Aziz,* Ahmed M. El-Agrody, Ahmed H. Bedair, T. Christopher Corkery, and Athar Ata
|
| Vol 63, Issue 8, 2004, pp.1793-1812, |
| COM-04-10089 |
|
|
| |
 |
|
| Paper |
Novel Synthesis of 3-Substituted Derivatives of (Alkyliden-1-yl)-3H-benzo[b]thiophen-2-ones
|
Sukanta Kamila and Edward R. Biehl*
|
| Vol 63, Issue 8, 2004, pp.1813-1819, |
| COM-04-10099 |
|
|
| |
 |
|
| Paper |
New Resveratrol Dimer Glucosides and Trimers in Stem and Root of Welwitschia mirabilis
|
Hiroko Murata, Toshiyuki Tanaka,* Ibrahim Iliya, Miyuki Furasawa, Tetsuro Ito, Ken-ichi Nakaya, and Munekazu Iinuma
|
| Vol 63, Issue 8, 2004, pp.1821-1828, |
| COM-04-10100 |
|
|
| |
 |
|
| Paper |
Synthesis of Functionalized 1H-Pyrazolo[4,3-e][1,2,4]triazines and Their Fused Derivatives via Ipso-Substitution of Methylsulfonyl Group with O-, N-, S- and C-Nucleophiles
|
Mariusz Mojzych and Andrzej Rykowski *
|
| Vol 63, Issue 8, 2004, pp.1829-1838, |
| COM-04-10108 |
|
|
| |
 |
|
| Paper |
SnCl4-Promoted Ethenylation Reaction of Hydroxylated Heteroarenes
|
Kensuke Akamatsu, Ryo Amemiya, and Masahiko Yamaguchi*
|
| Vol 63, Issue 8, 2004, pp.1839-1847, |
| COM-04-10116 |
|
|
| |
 |
|
| Paper |
Synthesis of Minosamycin and 5,8-Dihydroxy-4,7-dimethloxy-2,6-dimethylisoquinolinium Iodide
|
Shinsuke Nakahara* and Akinori Kubo
|
| Vol 63, Issue 8, 2004, pp.1849-1854, |
| COM-04-10126 |
|
|
| |
 |
|
| Paper |
Allylic Dehydration, Retro-Pinacol, Pinacol-like and Enamide Reactions: Synthesis of New Isoquinolines
|
Rufine Akué-Gédu, Anne Bourry, Fabrice Camus, Bernadette Norberg, François Durant, Daniel Couturier, Marc DeBacker, and Benoît Rigo*
|
| Vol 63, Issue 8, 2004, pp.1855-1873, |
| COM-04-10134 |
|
|
| |
 |
|
| Note |
Iridoid Galactosides and a Benzofuran Type Sesquiterpene from Buddleja crispa
|
Ijaz Ahmad, Nighat Afza, Itrat Anis, Abdul Malik,* Itrat Fatima, Azhar-ul-Haq, and Rasool Bakhsh Tareen
|
| Vol 63, Issue 8, 2004, pp.1875-1881, |
| COM-04-10067 |
|
|
| |
 |
|
| Note |
Synthesis of Novel 5H-Pyrazolo[4,3-c]quinolines
|
Olexiy V. Silin, Timur I. Savchenko, Sergiy M. Kovalenko, Viktor M. Nikitchenko, and Alexandre V. Ivachtchenko*
|
| Vol 63, Issue 8, 2004, pp.1883-1890, |
| COM-04-10092 |
|
|
| |
 |
|
| Note |
Two New Sesquiterpene Pyridine Alkaloids from Maytenus chuchuhuasca
|
Osamu Shirota,* Setsuko Sekita, Motoyoshi Satake, Hiroshi Morita, Koichi Takeya, and Hideji Itokawa
|
| Vol 63, Issue 8, 2004, pp.1891-1896, |
| COM-04-10110 |
|
|
| |
 |
|
| Note |
A Convenient Method for the Preparation of Some New Derivatives of 1,3,5-Triazine under Solvent-free
|
Davood Azarifar,* Mohammad Ali Zolfigol, and Ali Forghaniha
|
| Vol 63, Issue 8, 2004, pp.1897-1901, |
| COM-04-10114 |
|
|
| |
 |
|
| Review |
Formation of Five- and Six-membered Heterocyclic Rings by Radical Cyclization
|
Krishna C. Majumdar,* Partha P. Mukhopadhyay, and Pradipta K. Basu
|
| Vol 63, Issue 8, 2004, pp.1903-1958, |
| REV-04-577 |
|
|
| |
 |
|
| Communication |
Synthesis of Molecular Tweezers Bearing Two Porphyrins and Its Complexation toward Electron Acceptors
|
Hajime Iwamoto, Masaki Yamaguchi, Saki Hiura, and Yoshimasa Fukazawa*
|
| Vol 63, Issue 9, 2004, pp.2005-2011, |
| COM-04-10145 |
|
|
| |
 |
|
| Paper |
KAl(SO4)2·12H2O: An Efficient Catalyst for the Stereoselective Synthesis of cis-Isoquinolonic Acids
|
Javad Azizian,* Ali A. Mohammadi, Ali R. Karimi, Mohammad R. Mohammadizadeh, and M. Koohshari
|
| Vol 63, Issue 9, 2004, pp.2013-2017, |
| COM-04-10121 |
|
|
| |
 |
|
| Paper |
Synthesis of 2,3-Dihydro-4(1H)-quinazolinones
|
Jaime Escalante,* Patricia Flores, and Jaime M. Priego
|
| Vol 63, Issue 9, 2004, pp.2019-2032, |
| COM-04-10130 |
|
|
| |
 |
|
| Paper |
New Pyridinium Chiral Ionic Liquids
|
Cosmin Patrascu, Claudia Sugisaki, Christophe Mingotaud, Jean-Daniel Marty, Yves Génisson, and Nancy Lauth - de Viguerie*
|
| Vol 63, Issue 9, 2004, pp.2033-2041, |
| COM-04-10133 |
|
|
| |
 |
|
| Paper |
Sarcodifurines A and B, Two New Furoquinolines from Sarcomelicope follicularis
|
Elizabeth Chosson,* Anne-Emmanuelle Hay, Angele Chiaroni, Anne Favel, François Tillequin, Marc Litaudon, and Elisabeth Seguin
|
| Vol 63, Issue 9, 2004, pp.2043-2050, |
| COM-04-10146 |
|
|
| |
 |
|
| Paper |
Formation of a Sixteen-membered Ring by Condensation of N,N ’-Dimesityl-propane-1,3-diamine with Triethyl Orthoformate and Ammonium Tetrafluoroborate
|
Andreas L. Paulsen and Robert Madsen*
|
| Vol 63, Issue 9, 2004, pp.2051-2056, |
| COM-04-10155 |
|
|
| |
 |
|
| Paper |
Conformational Analysis of Tricyclic Ketolide TE-802 and Its Analogues
|
Masato Kashimura,* Keita Matsumoto, Toshifumi Asaka, and Shigeo Morimoto
|
| Vol 63, Issue 9, 2004, pp.2057-2070, |
| COM-04-10161 |
|
|
| |
 |
|
| Note |
Synthesis of 5-Benzoyl-6-trifluoromethyl-1,2-dihydro-3H-pyrrolo[1,2-a]pyrrole-1-carboxylic Acid
|
Adrián Covarrubias Zúñiga
|
| Vol 63, Issue 9, 2004, pp.2071-2077, |
| COM-04-10124 |
|
|
| |
 |
|
| Note |
Study on Syntheses and Structure of a New Kind of Bis-heterocyclic Thiadiazine Derivatives Containing Pyrazolone
|
Guang-Fei Liu, Lang Liu, Dian-Zeng Jia,* Bang-Hua Peng, Xin Hu, and Kai-Bei Yu
|
| Vol 63, Issue 9, 2004, pp.2079-2086, |
| COM-04-10129 |
|
|
| |
 |
|
| Note |
New O-Terpenoidal Coumarins from Clausena excavata
|
Hong Ping He, Yue Mao Shen, Zhi Zhi Du, Yi Bin Zhao, and Xiao Jiang Hao*
|
| Vol 63, Issue 9, 2004, pp.2087-2090, |
| COM-04-10140 |
|
|
| |
 |
|
| Note |
A New Prenylated Flavone from the Leaves of Glycyrrhiza uralensis Cultivated in China
|
Hong Bai, Wei Li, Kazuo Koike, Yuping Pei, Deqiang Dou, Yingjie Chen, Yinghua Wang, and Tamotsu Nikaido*
|
| Vol 63, Issue 9, 2004, pp.2091-2095, |
| COM-04-10150 |
|
|
| |
 |
|
| Note |
Enantioselective Hydrogenation of 3,4-Dihydro-β-carbolines Catalyzed by Ir Complexes of Diphosphine
|
Toshiaki Morimoto,* Naoaki Suzuki, and Kazuo Achiwa
|
| Vol 63, Issue 9, 2004, pp.2097-2100, |
| COM-04-10154 |
|
|
| |
 |
|
| Note |
Two Sesquiterpene-Coumarins from the Roots of Ferula marmarica
|
Mohamed H. Abd El-Razek, Fang-Rong Chang, Chih-Chuang Liaw, Mahmoud I. Nassar, Hui-Chi Huang, Yung-Husan Chen, Yu-Liang Yang, and Yang-Chang Wu*
|
| Vol 63, Issue 9, 2004, pp.2101-2109, |
| COM-04-10157 |
|
|
| |
 |
|
| Note |
Synthesis of Mycalamide Analogs
|
Shunya Takahashi, Akihiro Okada, and Tadashi Nakata*
|
| Vol 63, Issue 9, 2004, pp.2111-2122, |
| COM-04-10162 |
|
|
| |
 |
|
| Note |
Eurycomalin A, a New Dimeric Dihydrobenzofuran from Eurycoma longifolia
|
Ping-Chung Kuo, Chung-Ren Su, Amooru G. Damu, and Tian-Shung Wu*
|
| Vol 63, Issue 9, 2004, pp.2123-2129, |
| COM-04-10167 |
|
|
| |
 |
|
| Review |
Rotaxanes Containing Quaternary Azaaromatic Moieties
|
Wanda Sliwa* and Barbara Bachowska
|
| Vol 63, Issue 9, 2004, pp.2131-2158, |
| REV-04-579 |
|
|
| |
 |
|
| Communication |
Novel 3-Aminothieno[2,3-b]pyridine Synthesis via a Silicon-directed Anionic Cyclization
|
Jason S. Parnes* and Mercedes Delgado
|
| Vol 63, Issue 10, 2004, pp.2199-2202, |
| COM-04-10119 |
|
|
| |
 |
|
| Communication |
Alkatrienyl Sulfoxides and Sulfones. Part. VI. Cheletropic Addition of Sulfur Dioxide to 1- and 3-Vinylallenyl Sulfoxides and Sulfones
|
Valerij Ch. Christov* and Ivaylo K. Ivanov
|
| Vol 63, Issue 10, 2004, pp.2203-2206, |
| COM-04-10152 |
|
|
| |
 |
|
| Communication |
Synthesis and Properties of Pyrazino[2,3-g]quinoxaline Derivatives: Blue and Green Fluorescent Materials with Electron Affinity
|
Katsuhiko Ono,* Yutaka Okazaki, Masakazu Ohkita, Katsuhiro Saito,* and Yoshiro Yamashita
|
| Vol 63, Issue 10, 2004, pp.2207-2210, |
| COM-04-10173 |
|
|
| |
 |
|
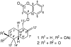
| Communication |
Absolute Stereostructures of Acylated Khellactone-Type Coumarins from Angelica furcijuga
|
Toshio Morikawa, Hisashi Matsuda, Teruki Ohgushi, Norihisa Nishida, Tomoko Ishiwada, and Masayuki Yoshikawa
|
| Vol 63, Issue 10, 2004, pp.2211-2215, |
| COM-04-10188 |
|
|
| |
 |
|
| Paper |
1,3-Dipolar Cycloaddition Reactions to Galanthamine Nitrone: An Entry to 4a,5,9,10-Tetrahydro-6H,14aH-benzofuro[3a,3,2-ef]isoxazolo[3,2-a][2]benzazepines
|
Margit Hemetsberger, Matthias Treu, Christian Hametner, Ulrich Jordis, Kurt Mereiter, and Johannes Fröhlich*
|
| Vol 63, Issue 10, 2004, pp.2217-2224, |
| COM-02-9485 |
|
|
| |
 |
|
| Paper |
Three Component Synthesis of Some γ-Spiroiminolactones under Microwave-assisted Solvent-free Conditions
|
Javad Azizian,* Ali R. Karimi, Ali A. Mohammadi, and Mohammad R. Mohammadizadeh
|
| Vol 63, Issue 10, 2004, pp.2225-2229, |
| COM-04-10125 |
|
|
| |
 |
|
| Paper |
Kinetics of the Thermal Decomposition of Substituted Cyclic Organic Peroxides in Toluene Solution: Substituent Effects on the Reaction Rates and the Activation Parameters of the Unimolecular Reactions
|
Adriana I. Cañizo,* Gladys N. Eyler, Carmen M. Mateo, Elida E. Alvarez, and Rosa K. Nesprías
|
| Vol 63, Issue 10, 2004, pp.2231-2241, |
| COM-04-10128 |
|
|
| |
 |
|
| Paper |
Synthesis, Oxidation and Dehydrogenation of Cyclic N,O- and N,S-Acetals. Part 1. Transformation of N,S-Acetals: 3-Acyl-1,3,4-thiadiazolines
|
László Somogyi
|
| Vol 63, Issue 10, 2004, pp.2243-2267, |
| COM-04-10137 |
|
|
| |
 |
|
| Paper |
2-(1,3,5-Dithiazinan-5-yl)ethanol Heterocycles, Structure and Reactivity
|
Juan Carlos Gálvez-Ruiz, Javier C. Jean-Gaspar, Indira G. Castellanos-Arzola, Rosalinda Contreras, and Angelina Flores-Parra*
|
| Vol 63, Issue 10, 2004, pp.2269-2285, |
| COM-04-10151 |
|
|
| |
 |
|
| Paper |
New Preparative Route to Hetaryldienes and Azadienes
|
Ildikó Nagy, György Hajós,* and Zsuzsanna Riedl
|
| Vol 63, Issue 10, 2004, pp.2287-2307, |
| COM-04-10158 |
|
|
| |
 |
|
| Paper |
An Efficient Synthesis of Benzene Fused Six-, Seven- and Eight-membered Rings Containing Nitrogen and Sulfur by Benzyne Ring Closure Reaction
|
Chandrani Mukherjee and Ed Biehl*
|
| Vol 63, Issue 10, 2004, pp.2309-2318, |
| COM-04-10169 |
|
|
| |
 |
|
| Paper |
A New Synthesis of Thiazole Derivatives via Ring Transformation of 6-Imino-6H-1,3-thiazine Hydroperchlorates
|
Detlef Briel
|
| Vol 63, Issue 10, 2004, pp.2319-2328, |
| COM-04-10174 |
|
|
| |
 |
|
| Paper |
Synthesis of 1-Methyl-3-methylthio- and 1-Methyl-3-methylsulfinyl-4-substituted 2-(1H)-Quinolinones
|
Elwira Chrobak and Andrzej Maslankiewicz*
|
| Vol 63, Issue 10, 2004, pp.2329-2340, |
| COM-04-10181 |
|
|
| |
 |
|
| Paper |
Synthesis of 2-Chloro-8-(2-pyridyl)-1-azaazulene and Its Metal Complexes
|
Noritaka Abe,* Eri Hashimoto, Hiroyuki Fujii, Yoshiko Murakami, Shoji Tagashira, and Akikazu Kakehi
|
| Vol 63, Issue 10, 2004, pp.2341-2348, |
| COM-04-10182 |
|
|
| |
 |
|
| Paper |
Synthesis of (-)-Tuliparin B Utilizing 2-Bromo-1-alkenes Conveniently Synthesized from the 3-O-Substituted 1,2-Dibromoalkane System by Regioselective Elimination
|
Tadaaki Ohgiya and Shigeru Nishiyama*
|
| Vol 63, Issue 10, 2004, pp.2349-2354, |
| COM-04-10183 |
|
|
| |
 |
|
| Paper |
Synthesis of Cribrostatin 6
|
Shinsuke Nakahara* and Akinori Kubo
|
| Vol 63, Issue 10, 2004, pp.2355-2362, |
| COM-04-10196 |
|
|
| |
 |
|
| Note |
Two New C19-Diterpenoid Alkaloids from Aconitum nagarum var. lasiandrum
|
Hong Ji, Dong-Lin Chen, and Feng-Peng Wang*
|
| Vol 63, Issue 10, 2004, pp.2363-2370, |
| COM-04-10135 |
|
|
| |
 |
|
| Note |
Effect of Sodium Naphthalenide, a Key Set Reagent, on 3-Substituted Indoles
|
Avijit Banerji*, Debasish Bandyopadhyay, and Bidyut Basak
|
| Vol 63, Issue 10, 2004, pp.2371-2377, |
| COM-04-10142 |
|
|
| |
 |
|
| Note |
Formation of Unnatural Cyclic Amino Acid Equivalent from the Simple Cyclic Hydrazine
|
Duk Keun An, Hye-Min Kim, Min Sung Kim, Seung Kyu Kang, Jae Du Ha, Sung Soo Kim, Joong-Kwon Choi, and Jin Hee Ahn*
|
| Vol 63, Issue 10, 2004, pp.2379-2383, |
| COM-04-10153 |
|
|
| |
 |
|
| Note |
Enantioselective Synthesis of (S)-3-(4-Thiazolyl)-2-tert-butoxycarbonylaminopropionic Acid: A Chiral Building Block for Renin Inhibitor
|
Yoshifumi Yuasa, Haruki Tsuruta, and Yoko Yuasa*
|
| Vol 63, Issue 10, 2004, pp.2385-2392, |
| COM-04-10178 |
|
|
| |
 |
|
| Review |
Transition Metal Complexes in Organic Synthesis, Part 73. Synthetic Routes to Naturally Occurring Furocarbazoles
|
Wolfgang Fröhner, Micha P. Krahl, Kethiri R. Reddy, and Hans-Joachim Knölker*
|
| Vol 63, Issue 10, 2004, pp.2393-2407, |
| REV-04-585 |
|
|
| |
 |
|
| Paper |
Synthesis of 4-Methoxybenzylamino Derivatives of Dibenzothiadiazepinedioxide
|
Nicolas Lebegue,* Sebastien Gallet, Nathalie Flouquet, Pascal Carato, Stéphanie Giraudet, and Pascal Berthelot
|
| Vol 63, Issue 11, 2004, pp.2457-2463, |
| COM-04-10095 |
|
|
| |
 |
|
| Paper |
A Xanthone-based Macrocyclic Receptor and Its Possible Applications
|
José V. Hernández, Ana I. Oliva, Francisco M. Muñiz, Luis Simón, César Raposo, and Joaquín R. Morán*
|
| Vol 63, Issue 11, 2004, pp.2465-2473, |
| COM-04-10139 |
|
|
| |
 |
|
| Paper |
Mononuclear Heterocyclic Rearrangement: Synthesis of [5:5] Bicyclic [c]-Fused 3-Aminopyrazoles via the N-N Bond Formation Strategy
|
David A. Berry, Tun-Cheng Chien, and Leroy B. Townsend*
|
| Vol 63, Issue 11, 2004, pp.2475-2494, |
| COM-04-10144 |
|
|
| |
 |
|
| Paper |
Synthesis of N-Bridgehead Fused Bicyclic β-Lactams through Organometal-mediated Transformations of 1,2-Dialkenylaziridines
|
Paolo Davoli, Alberto Spaggiari, Elisa Ciamaroni, Arrigo Forni, Giovanni Torre, and Fabio Prati*
|
| Vol 63, Issue 11, 2004, pp.2495-2514, |
| COM-04-10166 |
|
|
| |
 |
|
| Paper |
A General and Efficient Method for Synthesis of Functionalized Ethylenediamine Derivatives
|
Donghong Li, Junsheng Hao, Wei Guo,* and Chizhong Xia*
|
| Vol 63, Issue 11, 2004, pp.2515-2522, |
| COM-04-10172 |
|
|
| |
 |
|
| Paper |
Synthesis of the Novel Bicyclic Oxepinopyrimidine and Fluorinated Pyrrolidinopyrimidines
|
Sanja Batinac, Draginja Mrvos Sermek, Mario Cetina, Kresimir Pavelic, Mladen Mintas, and Silvana Raic-Malic*
|
| Vol 63, Issue 11, 2004, pp.2523-2536, |
| COM-04-10176 |
|
|
| |
 |
|
| Paper |
The 4-Methoxybenzyl (PMB) Function as a Versatile Protecting Group in the Synthesis of N-Unsubstituted Pyrazolones
|
Gernot A. Eller and Wolfgang Holzer*
|
| Vol 63, Issue 11, 2004, pp.2537-2555, |
| COM-04-10190 |
|
|
| |
 |
|
| Paper |
1-Aryl-3-alkyl-1,4,5,6-tetrahydropyrimidinium Salts. Part 2. Reactions with Nucleophiles
|
María B. García, Mariana Zani, Isabel A. Perillo, and Liliana R. Orelli*
|
| Vol 63, Issue 11, 2004, pp.2557-2572, |
| COM-04-10191 |
|
|
| |
 |
|
| Paper |
New Neolignan and Phenylpropanoid Glycosides in Juniperus communis var. Depressa
|
Tsutomu Nakanishi, Naoki Iida, Yuka Inatomi, Hiroko Murata, Akira Inada, Jin Murata, Frank A. Lang, Munekazu Iinuma, Toshiyuki Tanaka*
|
| Vol 63, Issue 11, 2004, pp.2573-2580, |
| COM-04-10205 |
|
|
| |
 |
|
| Paper |
The Absolute Structures of Dihydroepiheveadride, as Characteristic Antifungal Agent against Filamentous Fungi, and Its Related Compounds from Unidentified Fungus IFM 52672
|
Tomoo Hosoe, Kazutaka Fukushima, Takeshi Itabashi, Koohei Nozawa, Kayoko Takizawa, and Ken-ichi Kawai*
|
| Vol 63, Issue 11, 2004, pp.2581-2589, |
| COM-04-10207 |
|
|
| |
 |
|
| Note |
Characterization of a 3,4-Dihydro-1,3,4-triphosphacyclopenta[a]indene as an Isomer of a Mes*-substituted 1,3,6-Triphosphafulvene (Mes* = 2,4,6-t-Bu3C6H2)
|
Shigekazu Ito, Hideaki Miyake, Hiroki Sugiyama, and Masaaki Yoshifuji*
|
| Vol 63, Issue 11, 2004, pp.2591-2596, |
| COM-04-10177 |
|
|
| |
 |
|
| Note |
m-Chloroperbenzoic Acid Oxidation of Corynanthe-Type Indole Alkaloid, Mitragynine, Afforded Unusual Dimerization Products
|
Hayato Ishikawa, Mariko Kitajima, and Hiromitsu Takayama*
|
| Vol 63, Issue 11, 2004, pp.2597-2604, |
| COM-04-10186 |
|
|
| |
 |
|
| Note |
Tetrazolium N-Aminides
|
Dietrich Moderhack* and Matthias Noreiks
|
| Vol 63, Issue 11, 2004, pp.2605-2614, |
| COM-04-10192 |
|
|
| |
 |
|
| Note |
Star-shaped Threefold Dihydropyridine and Xanthene Derivatives
|
Dirk Sielemann, Andreas Winter, and Nikolaus Risch*
|
| Vol 63, Issue 11, 2004, pp.2615-2621, |
| COM-04-10195 |
|
|
| |
 |
|
| Note |
A Synthesis of a Novel Heterocyclic System: 2H-Furo[3,2-b][1,4]benzothiazin-2-one
|
Anton V. Dolzhenko and Wai-Keung Chui*
|
| Vol 63, Issue 11, 2004, pp.2623-2626, |
| COM-04-10208 |
|
|
| |
 |
|
| Review |
Molecular Rearrangements of 1-Oxa-2-azoles as an Expedient Route to Fluorinated Heterocyclic Compounds
|
Andrea Pace, Ivana Pibiri, Silvestre Buscemi, and Nicolò Vivona*
|
| Vol 63, Issue 11, 2004, pp.2627-2648, |
| REV-04-584 |
|
|
| |
 |
|
| Communication |
Isolation and Identification of Phototropism-regulating Substances Benzoxazinoids from Maize Coleoptiles
|
Tsuyoshi Hasegawa, Kosumi Yamada,* Hideyuki Shigemori, Kensuke Miyamoto, Junichi Ueda, and Koji Hasegawa
|
| Vol 63, Issue 12, 2004, pp.2707-2712, |
| COM-04-10212 |
|
|
| |
 |
|
| Communication |
Selective Recognition of Rotaxanes for an Alkali Metal Ion
|
Yuji Tokunaga,* Suzuka Kakuchi, and Youji Shimomura
|
| Vol 63, Issue 12, 2004, pp.2713-2718, |
| COM-04-10217 |
|
|
| |
 |
|
| Communication |
Rapid Access to Glucopyranosyl-1,2,3-triazoles via Cu(I)-Catalyzed Reactions in Water
|
Rakesh A. Akula, David P. Temelkoff, Nicole D. Artis, and Peter Norris*
|
| Vol 63, Issue 12, 2004, pp.2719-2725, |
| COM-04-10218 |
|
|
| |
 |
|
| Paper |
Synthesis of New Potential HIV-1 Integrase Inhibitors
|
Stefania Ferro, Angela Rao, Maria Zappala, Alba Chimirri, Maria Letizia Barreca, Myriam Witvrouw, Zeger Debyser, and Pietro Monforte*
|
| Vol 63, Issue 12, 2004, pp.2727-2734, |
| COM-04-10193 |
|
|
| |
 |
|
| Paper |
Useful Synthesis of 2,3,6-Tri- and 2,3,5,6-Tetrasubstituted Pyridine Derivatives from Aspartic Acid
|
Yasuchika Yonezawa, Akihito Konn, and Chung-gi Shin*
|
| Vol 63, Issue 12, 2004, pp.2735-2746, |
| COM-04-10206 |
|
|
| |
 |
|
| Paper |
Stereoselective Synthesis of 1-Substituted 1,2,3,4-Tetrahydro-β-carbolines by Asymmetric Electrophilic α-Amidoalkylation Reactions
|
Ulrich Weber, Cornelia Hoesl, W. Ponikwar, M. Suter, Heinrich Nöth, and Klaus T. Wanner*
|
| Vol 63, Issue 12, 2004, pp.2747-2767, |
| COM-04-10213 |
|
|
| |
 |
|
| Paper |
Synthesis of 2-Arylbenzothiazoles and Imidazoles Using Scandium Triflate as a Catalyst for Both a Ring Closing and an Oxidation Steps
|
Takashi Itoh, Kazuhiro Nagata, Hiroyuki Ishikawa, and Akio Ohsawa*
|
| Vol 63, Issue 12, 2004, pp.2769-2783, |
| COM-04-10215 |
|
|
| |
 |
|
| Paper |
Preparation of Benzothiopyrano[2,3-b]indoles by the Reaction of 1,3-Dihydroindole-2-thiones with Certain Dienophiles
|
Sukanta Kamila and Ed Biehl*
|
| Vol 63, Issue 12, 2004, pp.2785-2795, |
| COM-04-10219 |
|
|
| |
 |
|
| Paper |
Synthesis of 1,4:3,6-Dianhydro-D-mannitol 2,5-(Hydrogen Phosphate) and Its Usage in Palladium-catalyzed Hydroxycarbonylation of Styrene
|
Biao Jiang,* Zuo-Gang Huang, and Ke-Jun Cheng
|
| Vol 63, Issue 12, 2004, pp.2797-2803, |
| COM-04-10222 |
|
|
| |
 |
|
| Paper |
Facile Synthesis of 5-Acyl-2-amino-1,3-thiazole by the Reaction of Thiaazadienes with α-Haloketones
|
Ramadas Sathunuru and Ed Biehl*
|
| Vol 63, Issue 12, 2004, pp.2805-2812, |
| COM-04-10231 |
|
|
| |
 |
|
| Paper |
A New Method for the Preparation of Nitrogen-containing Heterocycles Using Diphenylsulfonium Triflates
|
Hiroyuki Yamanaka, Yoshinobu Yamane, and Teruaki Mukaiyama*
|
| Vol 63, Issue 12, 2004, pp.2813-2826, |
| COM-04-10232 |
|
|
| |
 |
|
| Note |
Organopalladium Complex Containing 5-Amino-3H-1,3,4-thiadiazolin-2-ones as Metalloreceptor for DNA/RNA Nucleobases
|
Nam Sook Cho,* Chun Ho Lee, Yeong-Joon Kim, Jae Soo Choi, and Sung Kwon Kang
|
| Vol 63, Issue 12, 2004, pp.2827-2836, |
| COM-04-10201 |
|
|
| |
 |
|
| Note |
Two New Bicoumarins from the Leaves of Murraya exotica
|
Naoko Teshima, Mayumi Tsugawa, Akiko Tateishi, Mariko Tokumaru, Rie Matsubara, Tetsutaro Kimachi, Motoharu Ju-ichi,* Chihiro Ito, and Hiroshi Furukawa
|
| Vol 63, Issue 12, 2004, pp.2837-2843, |
| COM-04-10210 |
|
|
| |
 |
|
| Note |
Synthesis of N1-Demethyl-20-deethylsuaveoline, the Structure Proposed for Sellowiine
|
Masashi Ohba* and Itaru Natsutani
|
| Vol 63, Issue 12, 2004, pp.2845-2850, |
| COM-04-10211 |
|
|
| |
 |
|
| Note |
Thiazolidinone-annulated Pyrrolobenzodiazepines. Syntheses and Properties of a New Ring System
|
Andreas Schmidt,* Abbas Gholipour Shilabin, and Martin Nieger
|
| Vol 63, Issue 12, 2004, pp.2851-2858, |
| COM-04-10227 |
|
|
| |
 |
|
| Note |
Palladium(II)-mediated Nucleophilic Cyanation of 4-Substituted Quinoline 1-Oxide in the Presence of Trimethylsilyl Cyanide and an Oxidant
|
Yoshinobu Tagawa,* Yoshitaka Higuchi, Kenji Yamagata, Kazuhiko Shibata, and Daisuke Teshima
|
| Vol 63, Issue 12, 2004, pp.2859-2862, |
| COM-04-10228 |
|
|
| |
 |
|
| Note |
Electrophilic Reaction of N-Lewis Acid and N-Oxide Lewis Acid Complexes of 4-Methylpyridines and Their N-Oxides through Base-induced Deprotonation
|
Yoshinobu Tagawa,* Manami Nomura, Kenji Yamagata, Daisuke Teshima, Kazuhiko Shibata, and Yohinobu Goto
|
| Vol 63, Issue 12, 2004, pp.2863-2868, |
| COM-04-10229 |
|
|
| |
 |
|
| Note |
Synthesis and Absorption Properties of Zinc-Phthalocyanines with Photoresponsive Azobenzene Groups
|
Ki-Jong Han and Kwang-Yol Kay*
|
| Vol 63, Issue 12, 2004, pp.2869-2874, |
| COM-04-10230 |
|
|
| |
 |
|
| Review |
Heterocycles Directly Linked to 3-Position of 1-Benzopyran-4-ones
|
Chandra Kanta Ghosh
|
| Vol 63, Issue 12, 2004, pp.2875-2898, |
| REV-04-586 |
|
|
| |
 |
|
| 222 data found. 1 - 222 listed |
|
|
|
|