| 236 data found. 1 - 236 listed |
|
|
| Communication |
Synthetic Studies on Azacyclotribenzylenes
|
Kenta Hayashi, Shoko Inoue, Hanae Shimizu, Akiko Kobayashi, Miyuki Ishizaki, Yutaka Matsuoka, Kiyoshi Nishitani, and Hiroshi Hara*
|
| Vol 65, Issue 1, 2005, pp.1-4, |
| COM-04-10249 |
|
|
| |
 |
|
| Communication |
Enantioselective Synthesis of Poison-Frog Alkaloid 237D and Determination of Absolute Stereochemistry
|
Naoki Toyooka,* Masashi Kawasaki, Hideo Nemoto,* John W. Daly, Thomas F. Spande, and H. Martin Garraffo
|
| Vol 65, Issue 1, 2005, pp.5-8, |
| COM-04-10269 |
|
|
| |
 |
|
| Paper |
The Thorpe-Ingold Effect in Glutarimide Derivatives. Part II
|
Michal Pawlowski, Jan K. Maurin, Andrzej Leniewski, Krystyna Wojtasiewicz, and Zbigniew Czarnocki*
|
| Vol 65, Issue 1, 2005, pp.9-22, |
| COM-04-10120 |
|
|
| |
 |
|
| Paper |
Mild, Selective and High-Yield Oxidation of Hantzsch 1,4-Dihydropyridines with Lead(IV) Acetate
|
Mladen Litvic,* Ivica Cepanec, Mirela Filipan, Karmen Kos, Anamarija Bartolincic, Vinka Druskovic, Mohamed Majed Tibi, and Vladimir Vinkovic
|
| Vol 65, Issue 1, 2005, pp.23-35, |
| COM-04-10194 |
|
|
| |
 |
|
| Paper |
First Isolation of Both Indolylcarbinols and Diindolylalkanes from Microwave-assisted Acid (Clay)-catalysed Reaction of Indoles with Diethyl Ketomalonate
|
Manas Chakrabarty,* Sulakshana Karmakar, and Yoshihiro Harigaya
|
| Vol 65, Issue 1, 2005, pp.37-48, |
| COM-04-10200 |
|
|
| |
 |
|
| Paper |
Synthesis and Structure of New Heterocyclic Derivatives of Curcumin
|
M. Concepción Lozada, Raúl G. Enríquez,* Carlos E. Lobato, Benjamín Ortíz, Manuel Soriano, Dino Gnecco, and William F. Reynolds
|
| Vol 65, Issue 1, 2005, pp.49-58, |
| COM-04-10209 |
|
|
| |
 |
|
| Paper |
3-Benzoyl-2-isopropyl-4-alkyloxazolidin-5-ones as Efficient and Inexpensive Sources of Enantiopure α,α-Dialkyl α-Amino Acids and α,β-Dialkyl α,β-Diaminopropionic Acids
|
Susana Rojas-Lima,* Omar Téllez-Zenteno, Heraclio López-Ruiz, Lizeth Loubet-González, and Alejandro Alvarez-Hernandez
|
| Vol 65, Issue 1, 2005, pp.59-75, |
| COM-04-10214 |
|
|
| |
 |
|
| Paper |
Synthesis and Cyclization Reaction of Pyrazolin-5-one Derivatives
|
Jae-Chul Jung, E. Blake Watkins, and Mitchell A. Avery*
|
| Vol 65, Issue 1, 2005, pp.77-94, |
| COM-04-10216 |
|
|
| |
 |
|
| Paper |
New Total Synthesis of Dendroamide A from Dehydrodi- and tripeptides
|
Yasuchika Yonezawa, Naoki Tani, and Chung-gi Shin*
|
| Vol 65, Issue 1, 2005, pp.95-105, |
| COM-04-10233 |
|
|
| |
 |
|
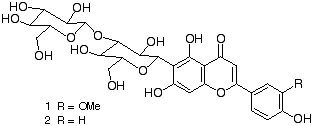
| Paper |
Three Glucosides from Lycopodium clavatum
|
Motoo Tori*, Yoshie Mukai, Katsuyuki Nakashima, and Masakazu Sono
|
| Vol 65, Issue 1, 2005, pp.107-115, |
| COM-04-10239 |
|
|
| |
 |
|
| Paper |
Electron Transfer-initiated and Highly Selective Photocyclization of N-Acyl-α-dehydroarylalaninamides to 3,4-Dihydroquinolinone Derivatives
|
Kei Maekawa, Kunio Fujita, Katsuyuki Iizuka, Tetsutaro Igarashi, and Tadamitsu Sakurai*
|
| Vol 65, Issue 1, 2005, pp.117-131, |
| COM-04-10242 |
|
|
| |
 |
|
| Note |
Chemoselective Multicomponent Condensation of 1,3-Cyclohexanedione, Urea or Thiourea with Aldehydes: One-Pot Synthesis of Two Families of Fused Heterobicyclic and Spiro-fused Heterobicyclic Aliphatic Rings
|
Yulin Zhu, Yuanjiang Pan,* and Shenlin Huang
|
| Vol 65, Issue 1, 2005, pp.133-142, |
| COM-04-10112 |
|
|
| |
 |
|
| Note |
One-Pot Synthesis of Alkyl Indeno[1,2-b]quinoxalin-11-ylideneacetates under Solvent-free Conditions
|
Javad Azizian,* Mohammad R. Mohammadizadeh, Narges Karimi, Ali A. Mohammadi, and Ali R. Karimi
|
| Vol 65, Issue 1, 2005, pp.143-148, |
| COM-04-10168 |
|
|
| |
 |
|
| Note |
Stereoselective Gram-Scale Synthesis of (S)-5,5-Dimethyl-4-phenyloxazolidin-2-one
|
Shigeo Sugiyama,* Satoshi Arai, and Keitaro Ishii*
|
| Vol 65, Issue 1, 2005, pp.149-159, |
| COM-04-10220 |
|
|
| |
 |
|
| Note |
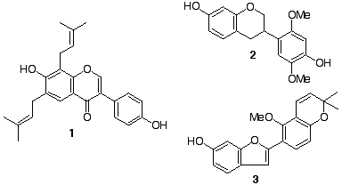
A New Phloroglucinol Dimer from Mallotus pallidus
|
Kittisak Likhitwitayawuid* and Butsarakham Supudompol
|
| Vol 65, Issue 1, 2005, pp.161-164, |
| COM-04-10221 |
|
|
| |
 |
|
| Note |
Preparation of New Vindoline Derivatives by Palladium-catalyzed Cross-Coupling Reaction
|
Melinda Fekete, Pal Kolonits, and Lajos Novak*
|
| Vol 65, Issue 1, 2005, pp.165-171, |
| COM-04-10224 |
|
|
| |
 |
|
| Note |
Stilbenoids from Leaves of Upuna borneensis
|
Tetsuro Ito,* Ibrahim Iliya, Toshiyuki Tanaka, Ken-ichi Nakaya, Yukihiro Akao, Yoshinori Nozawa, Jin Murata, Dedy Darnaedi, and Munekazu Iinuma
|
| Vol 65, Issue 1, 2005, pp.173-179, |
| COM-04-10226 |
|
|
| |
 |
|
| Note |
An Improved Method for Chlorination of Nitrogen-containing π-Deficient Heteroaromatics Using Triphenylphosphine and Trichloroisocyanuric Acid
|
Osamu Sugimoto* and Ken-ichi Tanji*
|
| Vol 65, Issue 1, 2005, pp.181-185, |
| COM-04-10245 |
|
|
| |
 |
|
| Note |
A Facile Synthesis of Asymmetrical 2,3-Dicyano-substituted Tetrathiafulvalene Derivatives
|
Tie Chen, Chunlan Wang, Zhiqi Cong, Bingzhu Yin,* and Kimiaki Imafuku*
|
| Vol 65, Issue 1, 2005, pp.187-193, |
| COM-04-10268 |
|
|
| |
 |
|
| Review |
Survey of Briarane-related Diterpenoids — Part II
|
Ping-Jyun Sung,* Pi-Chen Chang, Lee-Shing Fang, Jyh-Horng Sheu, Wei-Chen Chen, Yu-Pei Chen, and Mei-Ru Lin
|
| Vol 65, Issue 1, 2005, pp.195-204, |
| REV-04-589 |
|
|
| |
 |
|
| Communication |
Isolation and Identification of an Allelochemical Exuded from Germinating Pea (Pisum sativum) Seeds
|
Keiko Higashinakasu, Kosumi Yamada,* Hideyuki Shigemori, and Koji Hasegawa
|
| Vol 65, Issue 2, 2005, pp.267-271, |
| COM-04-10277 |
|
|
| |
 |
|
| Communication |
Palladium(0)-catalyzed Amino-Heck Reaction of γ,δ-Unsaturated Ketone N,N,N-Trimethylhydrazonium Salts
|
Mitsuru Kitamura, Hideyuki Yanagisawa, Motoki Yamane, and Koichi Narasaka*
|
| Vol 65, Issue 2, 2005, pp.273-277, |
| COM-04-10280 |
|
|
| |
 |
|
| Paper |
Base-induced Generation of Aryl(1,2,3-triazol-1-yl)carbenes from 1-[(N-Phenylsulfonyl)benzohydrazonoyl]-1,2,3-triazoles and Their Ring Enlargement to 3-Aryl-1,2,4-triazines
|
Yuumo Tanaka,* Shuji Oda, Suketaka Ito, and Akikazu Kakehi
|
| Vol 65, Issue 2, 2005, pp.279-286, |
| COM-04-10234 |
|
|
| |
 |
|
| Paper |
The Sesquiterpenoids from Cynara scolymus
|
Xiaoli Li, Pingli Qian, Zeyuan Liu, Yu Zhao, Gang Xu, Deding Tao, Qinshi Zhao,* and Handong Sun
|
| Vol 65, Issue 2, 2005, pp.287-291, |
| COM-04-10240 |
|
|
| |
 |
|
| Paper |
Synthesis of the Amidite Reagent to Built Bipyridine Units into DNA Backbone
|
Toshihiro Ihara,* Yoshinori Shirasaka, Yoshinobu Sato, Yusuke Kitamura, Kenji Okada, Masato Tazaki, and Akinori Jyo
|
| Vol 65, Issue 2, 2005, pp.293-301, |
| COM-04-10258 |
|
|
| |
 |
|
| Paper |
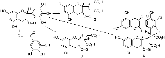
The Structural Variation in the Incubation Products of (-)-Epigallocatechin Gallate in Neutral Solution Suggests Its Breakdown Pathways
|
Tsutomu Hatano,* Takayo Ohyabu, and Takashi Yoshida
|
| Vol 65, Issue 2, 2005, pp.303-310, |
| COM-04-10259 |
|
|
| |
 |
|
| Paper |
New Application of Triphosgene in a Convenient Synthesis of 3-Aryl-1,3-benzoxazine-2,4-diones from Anacardic Acids
|
Inês Sabioni Resck,* Maria Lucilia dos Santos, and Luiz Antonio Soares Romeiro
|
| Vol 65, Issue 2, 2005, pp.311-318, |
| COM-04-10261 |
|
|
| |
 |
|
| Paper |
The First Synthesis of (S)-(+)-Cacalol
|
Shin Tanikawa, Michiko Ono, and Hiroyuki Akita*
|
| Vol 65, Issue 2, 2005, pp.319-327, |
| COM-04-10262 |
|
|
| |
 |
|
| Paper |
A Synthetic Route To Pyridazino[4,5-b]-1,8-naphthyridines, a New Tetraazaheterocyclic System
|
Juan Vilar, Carlos Peinador, and José Ma Quintela*
|
| Vol 65, Issue 2, 2005, pp.329-336, |
| COM-04-10265 |
|
|
| |
 |
|
| Paper |
Efficient Synthesis of New Potentially Bioactive Tricyclic Pyridinones
|
Caroline Cstera, Maxime D. Crozet, Michel P. Crozet, and Patrice Vanelle*
|
| Vol 65, Issue 2, 2005, pp.337-343, |
| COM-04-10285 |
|
|
| |
 |
|
| Note |
Synthesis of Bitriazolyl Compounds via Huisgen Reaction
|
Yi Xia, Fanqi Qu, Wei Li, Qiongyon Wu, and Ling Peng*
|
| Vol 65, Issue 2, 2005, pp.345-352, |
| COM-04-10202 |
|
|
| |
 |
|
| Note |
Alumina-Ammonium Acetate as an Efficient Reagent for the One-Pot Synthesis of cis-2,4,5-Triarylimidazolines from Aromatic Aldehydes
|
Babak Kaboudin* and Fariba Saadati
|
| Vol 65, Issue 2, 2005, pp.353-357, |
| COM-04-10203 |
|
|
| |
 |
|
| Note |
Synthesis and Characterization of a New Series of 3-(4-Antipyrinyl)-2-thiohydantoin Derivatives
|
Chun-Ming Ma, Jian-Ping Li,* and Peng-Zhi Zheng
|
| Vol 65, Issue 2, 2005, pp.359-364, |
| COM-04-10236 |
|
|
| |
 |
|
| Note |
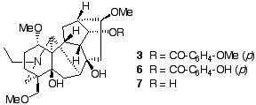
Structural Revision of Hemsleyadine and New Alkaloids Hemsleyanines A, B from Aconitum hemsleyanium var. circinacum
|
Feng Gao and Feng-Peng Wang*
|
| Vol 65, Issue 2, 2005, pp.365-370, |
| COM-04-10237 |
|
|
| |
 |
|
| Note |
Electrochemical Dehydrogenation of 1,2,3,4-Tetrahydroisoquinoline to 3,4-Dihydroisoquinoline
|
Mitsuhiro Okimoto,* Yukio Takahashi, Kaori Numata, and Gaku Sasaki
|
| Vol 65, Issue 2, 2005, pp.371-375, |
| COM-04-10247 |
|
|
| |
 |
|
| Note |
Syntheses of Pyrrolo- and Furo-1,4-dihydropyridine Derivatives
|
Keizo Matsuo,* Masami Adachi, Tatsuko Takagi, Sachiko Ueno, Takahiko Arase, and Fumie Kuroi
|
| Vol 65, Issue 2, 2005, pp.377-386, |
| COM-04-10252 |
|
|
| |
 |
|
| Note |
Fluorinated Heterocyclic Compounds. A Photochemical Approach to a Synthesis of Polyfluoroaryl-1,2,4-triazoles
|
Silvestre Buscemi,* Andrea Pace, Antonio Palumbo Piccionello, Ivana Pibiri, and Nicolò Vivona
|
| Vol 65, Issue 2, 2005, pp.387-394, |
| COM-04-10255 |
|
|
| |
 |
|
| Note |
Synthesis of Lupinine
|
Meng-Yang Chang,* Huo-Mu Tai,* Ching-Han Lin, and Nein-Chen Chang
|
| Vol 65, Issue 2, 2005, pp.395-402, |
| COM-04-10274 |
|
|
| |
 |
|
| Note |
Practical Syntheses of the Adhesion Molecule Inhibitor ER-49890 and Its Stereoisomer
|
Toshihiko Kaneko,* Fumihiro Ozaki, Richard S. J. Clark, Yuki Komatsu, and Kazuo Okano
|
| Vol 65, Issue 2, 2005, pp.403-410, |
| COM-04-10279 |
|
|
| |
 |
|
| Review |
Some Aspects of the Willgerodt-Kindler Reaction and Connected Reactions
|
Giovanni Purrello
|
| Vol 65, Issue 2, 2005, pp.411-449, |
| REV-04-587 |
|
|
| |
 |
|
| Review |
Synthesis and Reactivity of Thioaurones over the Past One Hundred Years
|
Marek T. Konieczny* and Wojciech Konieczny
|
| Vol 65, Issue 2, 2005, pp.451-464, |
| REV-04-590 |
|
|
| |
 |
|
| Communication |
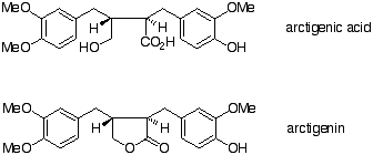
A New Synthetic Entry to Furofuranoid Lignans, Methyl Piperitol and Fargesin
|
Hidemi Yoda,* Yuji Suzuki, Daisuke Matsuura, and Kunihiko Takabe
|
| Vol 65, Issue 3, 2005, pp.519-522, |
| COM-04-10296 |
|
|
| |
 |
|
| Communication |
Conformational Analysis of Dinaphthalene-1-carboxylate Complex of SnIV(tetraphenylporphyrin)
|
Hajime Iwamoto and Yoshimasa Fukazawa*
|
| Vol 65, Issue 3, 2005, pp.523-529, |
| COM-04-10306 |
|
|
| |
 |
|
| Communication |
Studies toward the Synthesis of Furanocembrane Bipinnatin J: Synthesis of a 2,3,5-Trisubstituted Furfuryl Ether Intermediate
|
Masayoshi Tsubuki,* Kazunori Takahashi, Ken Sakata, and Toshio Honda*
|
| Vol 65, Issue 3, 2005, pp.531-540, |
| COM-04-10317 |
|
|
| |
 |
|
| Paper |
Antitumor Agents 238. Anti-tubulin and in vitro Cytotoxic Effects of N-Substituted Allocolchicinoids
|
Kyoko Nakagawa-Goto, M. Katherine Jung, Ernest Hamel, Chin-Chung Wu, Kenneth F. Bastow, Arnold Brossi, Shunsaku Ohta, and Kuo-Hsiung Lee*
|
| Vol 65, Issue 3, 2005, pp.541-550, |
| COM-04-10244 |
|
|
| |
 |
|
| Paper |
Syntheses, Spectroscopic Properties, and Cu(I) Complexes of All Possible Symmetric Bi-1,10-phenanthrolines
|
Shinji Toyota,* Akito Goto, Keiko Kaneko, and Takumi Umetani
|
| Vol 65, Issue 3, 2005, pp.551-562, |
| COM-04-10273 |
|
|
| |
 |
|
| Paper |
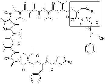
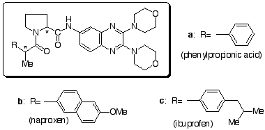
Absolute Stereo-structure of Kendarimide A, a Novel MDR Modulator, from a Marine Sponge
|
Naoyuki Kotoku, Liwei Cao, Shunji Aoki, and Motomasa Kobayashi*
|
| Vol 65, Issue 3, 2005, pp.563-578, |
| COM-04-10287 |
|
|
| |
 |
|
| Paper |
Synthesis of 2-Substituted Thiopyrano[3,2-b][1,4]benzoxazine-2,3-dicarboxylic Acid Dimethyl Esters
|
Sukanta Kamila, Hongming Zhang, Dumming Zhu, and Edward R. Biehl*
|
| Vol 65, Issue 3, 2005, pp.579-589, |
| COM-04-10291 |
|
|
| |
 |
|
| Paper |
Nitrone 1,3-Dipolar Cycloadditions to Enol Ethers Catalyzed by Lewis Acids. An Access to β-Amino Acids
|
Branislav Dugovic, Tomás Wiesenganger, Lubor Fisera,* Christian Hametner, and Nada Prónayová
|
| Vol 65, Issue 3, 2005, pp.591-605, |
| COM-04-10297 |
|
|
| |
 |
|
| Paper |
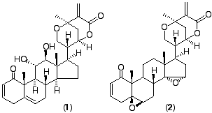
Briarane Diterpenes from a Gorgonian Briareum Sp.
|
Tetsuo Iwagawa,* Kazutaka Babazono, Munehiro Nakatani, Matsumi Doe, Yoshiki Morimoto, and Kaoru Takemura
|
| Vol 65, Issue 3, 2005, pp.607-617, |
| COM-04-10300 |
|
|
| |
 |
|
| Paper |
Synthesis of 2-(3-Iminoisoindolin-1-ylidene)carboxylate Derivatives by Reactions of Ester Magnesium Enolates with Phthalonitrile Derivatives
|
Kazuhiro Kobayashi,* Kiyoto Honma, Shizuka Kondo, Osamu Morikawa, and Hisatoshi Konishi
|
| Vol 65, Issue 3, 2005, pp.619-623, |
| COM-04-10309 |
|
|
| |
 |
|
| Paper |
Syntheses and Tautomerisations of Amino-substituted and Pyrimidine-annulated Pyrrolobenzodiazepines
|
Andreas Schmidt,* Abbas Gholipour Shilabin, and Martin Nieger
|
| Vol 65, Issue 3, 2005, pp.625-632, |
| COM-04-10310 |
|
|
| |
 |
|
| Note |
Two New Alkaloids from Dendrobium chrysanthum
|
Li Yang, Chaofeng Zhang, Hong Yang, Mian Zhang, Zhengtao Wang,* and Luoshan Xu
|
| Vol 65, Issue 3, 2005, pp.633-636, |
| COM-04-10251 |
|
|
| |
 |
|
| Note |
A Synthesis and Reactivity of 1,4-Dihydro-4-thioxo-3-quinolinesulfonamides
|
Leszek Skrzypek
|
| Vol 65, Issue 3, 2005, pp.637-642, |
| COM-04-10270 |
|
|
| |
 |
|
| Note |
A Phosphino-substituted Isoindole Obtained by Cyclization of a Thiourea Derivative
|
Jorge R. Angulo-Cornejo, Arancha Carbayo, Elva Cueva-Talledo, José V. Cuevas, Gabriel García-Herbosa,* and Asunción Muñoz
|
| Vol 65, Issue 3, 2005, pp.643-647, |
| COM-04-10286 |
|
|
| |
 |
|
| Note |
Hypervalent Iodine(III) Sulfonate Mediated Synthesis of 5-Benzoyldihydro-2(3H)-furanone in Ionic Solvent
|
Rei-Sheu Hou, Huey-Min Wang, Yu-Chien Lin, and Ling-Ching Chen*
|
| Vol 65, Issue 3, 2005, pp.649-656, |
| COM-04-10301 |
|
|
| |
 |
|
| Note |
Molybdatophosphoric Acid/NaNO2/Wet SiO2 as an Efficient System for Oxidation of 1,4-Dihydropyridines under Mild and Heterogeneous Conditions
|
Khodabakhsh Niknam,* Mohammah Ali Zolfigol,* Seyed Mehdi Razavian, and Iraj Mohammadpoor-Baltork
|
| Vol 65, Issue 3, 2005, pp.657-660, |
| COM-04-10302 |
|
|
| |
 |
|
| Note |
A New Flavone from Lycopodium japonicum
|
Jian Yan, Lirong Sun, Xianming Zhang, and Minghua Qiu*
|
| Vol 65, Issue 3, 2005, pp.661-666, |
| COM-04-10314 |
|
|
| |
 |
|
| Review |
Nucleoside Chemistry in Crop Protection
|
Clemens Lamberth
|
| Vol 65, Issue 3, 2005, pp.667-695, |
| REV-04-591 |
|
|
| |
 |
|
| Review |
Synthesis of Benzo[c]phenanthridine Alkaloids Using a Palladium-catalyzed Aryl-Aryl Coupling Reaction
|
Takashi Harayama
|
| Vol 65, Issue 3, 2005, pp.697-713, |
| REV-04-594 |
|
|
| |
 |
|
| Communication |
Asymmetric Synthesis of Homoisoflavanone Using Lipase-catalyzed Reaction
|
Masashi Kawasaki,* Naoki Toyooka, Yoshinori Matsui, Akira Tanaka, Michimasa Goto, Hiroko Kakuda, Shigeki Kawabata, and Tadashi Kometani
|
| Vol 65, Issue 4, 2005, pp.761-765, |
| COM-05-10347 |
|
|
| |
 |
|
| Paper |
A One-Pot Synthesis of 3,4-Dihydropyrimidin-2-(1H)-ones from Primary Alcohols Promoted by Bi(NO3)3·5H2O in Two Different Media: Organic Solvent and Ionic Liquid
|
Ahmad R. Khosropour,* Mohammd M. Khodaei,* Mojtaba Beygzadeh, and Mahbubeh Jokar
|
| Vol 65, Issue 4, 2005, pp.767-773, |
| COM-04-10257 |
|
|
| |
 |
|
| Paper |
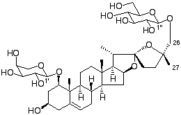
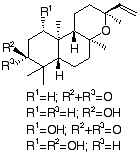
Four New Steroidal Saponins from the Rhizomes of Helleborus orientalis
|
Kazuki Watanabe, Hiroshi Sakagami, and Yoshihiro Mimaki*
|
| Vol 65, Issue 4, 2005, pp.775-785, |
| COM-04-10319 |
|
|
| |
 |
|
| Paper |
Synthesis and Comparative Cytostatic Activity of the New N-7 Acyclic Purine Nucleoside Analogues with Natural N-9 Regioisomers
|
Svjetlana Prekupec, Blanka Kalokira, Mira Grdisa, Kresimir Pavelic, Erik De Clercq, Mladen Mintas, and Silvana Raic-Malic*
|
| Vol 65, Issue 4, 2005, pp.787-796, |
| COM-04-10320 |
|
|
| |
 |
|
| Paper |
Hydrogen Bonding and Conformation of 5-Substituted Dipyrromethanes — A Solid State Study
|
Mathias O. Senge
|
| Vol 65, Issue 4, 2005, pp.797-808, |
| COM-05-10322 |
|
|
| |
 |
|
| Paper |
New Labdane-Type Diterpenoids from Croton oblongifolius and Their Cytotoxic Activity
|
Chaiyo Chaichantipyuth,* Amorn Petsom, Pagorn Taweechotipatr, Nongnuj Muangsin, Narongsak Chaichit, Songchan Puthong, Sophon Roengsumran, Masatoshi Kawahata, Toshiko Watanabe, and Tsutomu Ishikawa
|
| Vol 65, Issue 4, 2005, pp.809-822, |
| COM-05-10327 |
|
|
| |
 |
|
| Paper |
Yb(OTf)3-catalyzed Vinylogous Mannich Reaction of Trialkylsilyloxyfuran
|
Sylvain Oudeyer, Bruno Dudot, and Jacques Royer*
|
| Vol 65, Issue 4, 2005, pp.823-841, |
| COM-05-10335 |
|
|
| |
 |
|
| Paper |
Novel Synthetic Route of Coelenterazines -2-: Synthesis of Various Dehydrocoelenterazine Analogs
|
Nobuhiro Kondo, Masaki Kuse, Thumnoon Mutarapat, Nopporn Thasana, and Minoru Isobe*
|
| Vol 65, Issue 4, 2005, pp.843-856, |
| COM-05-10351 |
|
|
| |
 |
|
| Note |
Withanolides from Datura innoxia
|
Bina S. Siddiqui,* Shamsul Arfeen, Farhana Afshan, and Sabira Begum
|
| Vol 65, Issue 4, 2005, pp.857-863, |
| COM-04-10256 |
|
|
| |
 |
|
| Note |
Microwave-assisted Aromatization of 1,3,5-Trisubstituted 2-Pyrazolines by Silica-supported N-Bromosuccinimide as a Useful Reagent under Solvent Free ‘Dry’ Condition
|
Davood Azarifar* and Behrooz Maleki
|
| Vol 65, Issue 4, 2005, pp.865-870, |
| COM-04-10276 |
|
|
| |
 |
|
| Note |
Two New Isoflavonoids and a New 2-Arylbenzofuran from the Roots of Erythrina variegata
|
Hitoshi Tanaka,* Masaru Sudo, Miyuki Hirata, Magoichi Sako, Masaru Sato, Ih-Sheng Chen, and Toshio Fukai
|
| Vol 65, Issue 4, 2005, pp.871-877, |
| COM-05-10321 |
|
|
| |
 |
|
| Note |
Synthesis of Benzoporphyrins with One or Two Meso-Substitutents via Substitution Reactions
|
Mathias O. Senge* and Ines Bischoff
|
| Vol 65, Issue 4, 2005, pp.879-886, |
| COM-05-10323 |
|
|
| |
 |
|
| Note |
Eremopetasitenin A3 and 8-Oxoeremophil-6-en-12-oic Acid from Petasites japonicus ssp. giganteus
|
Motoo Tori,* Moeko Kume, Katsuyuki Nakashima, Masakazu Sono, and Masami Tanaka
|
| Vol 65, Issue 4, 2005, pp.887-891, |
| COM-05-10337 |
|
|
| |
 |
|
| Note |
Isolation of New Isoflavonolignans, Butesuperins A and B, from a Thai Miracle Herb, Butea superba
|
Kai Ma, Tsutomu Ishikawa,* Hiroko Seki, Kazuo Furihata, Hiroshi Ueki, Shizuo Narimatsu, Yoshihiro Higuchi, and Chaiyo Chaichantipyuth
|
| Vol 65, Issue 4, 2005, pp.893-900, |
| COM-05-10350 |
|
|
| |
 |
|
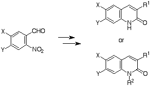
| Review |
Fused Quinolines. Recent Synthetic Approaches to Azoloquinolines. A Review
|
Mohamed Abass
|
| Vol 65, Issue 4, 2005, pp.901-965, |
| REV-04-592 |
|
|
| |
 |
|
| Communication |
Total Synthesis and Structure Reinvestigation of So-called Isochimonanthine
|
Yohei Matsuda, Mariko Kitajima, and Hiromitsu Takayama*
|
| Vol 65, Issue 5, 2005, pp.1031-1033, |
| COM-05-10360 |
|
|
| |
 |
|
| Paper |
Cu(I)-catalyzed Formation of D-Mannofuranosyl 1,4-Disubstituted 1,2,3-Triazolecarbohybrids
|
Penny L. Miner, Timothy R. Wagner, and Peter Norris*
|
| Vol 65, Issue 5, 2005, pp.1035-1049, |
| COM-04-10246 |
|
|
| |
 |
|
| Paper |
Functional 1,3-Benzodioxoles Making a Fluorescent Response to Local Transformation in Chemo-reactive Pendant Groups
|
Masaya Suzuki, Yoshihiro Nishida,* Yuya Ohguro, and Kazukiyo Kobayashi
|
| Vol 65, Issue 5, 2005, pp.1051-1061, |
| COM-05-10332 |
|
|
| |
 |
|
| Paper |
Synthesis of Functionalized Tetrahydro-β-carboline Derivatives by Modified Pictet-Spengler Reaction
|
Donghong Li, Yongbin Zhang, Wei Guo,* and Chizhong Xia*
|
| Vol 65, Issue 5, 2005, pp.1063-1069, |
| COM-05-10336 |
|
|
| |
 |
|
| Paper |
Preliminary Study of Palladium Catalyzed Iminoannulation in an Imidazo[1,2-a]pyridine Series
|
Mounir Andaloussi, Jean M. Chezal, Emmanuel Moreau, Claire Lartigue, Anas El Laghdach, Jean C. Teulade, and Olivier Chavignon*
|
| Vol 65, Issue 5, 2005, pp.1071-1078, |
| COM-05-10340 |
|
|
| |
 |
|
| Paper |
Reactions of Benzonitrile Oxide with Methoxypyrimidines and Pyrimidones
|
Antonino Corsaro,* Venerando Pistarà, Antonio Rescifina, Maria A. Chiacchio, Anna Piperno, and Giovanni Romeo
|
| Vol 65, Issue 5, 2005, pp.1079-1097, |
| COM-05-10342 |
|
|
| |
 |
|
| Paper |
Improved Synthesis of (±)-Linderol A and Its First Conversion to (±)-6-epi-Adunctin E
|
Masayuki Yamashita, Takashi Shimizu, Tomoki Inaba, Ai Takada, Ikuko Takao, Ikuo Kawasaki, and Shunsaku Ohta*
|
| Vol 65, Issue 5, 2005, pp.1099-1109, |
| COM-05-10345 |
|
|
| |
 |
|
| Paper |
High-Performance Liquid Chromatographic Enantioseparation Based on Diastereomer Formation with New Fluorescent Chiral Quinoxalines
|
Akira Katoh,* Ryoji Yamamoto, Takeshi Fujimoto, and Ryota Saito
|
| Vol 65, Issue 5, 2005, pp.1111-1120, |
| COM-05-10346 |
|
|
| |
 |
|
| Paper |
Synthesis of Polyfused Heterocycle Derivatives Containing the Dipyridoimidazole Core by Friedländer’s Reaction: Access to Analogs of Ellipticine
|
Nicolas Desbois, Jean-Michel Chezal, Florence Fauvelle, Jean-Claude Debouzy, Claire Lartigue, Alain Gueiffier, Yves Blache, Emmanuel Moreau, Jean-Claude Madelmont, Olivier Chavignon, and Jean-Claude Teulade*
|
| Vol 65, Issue 5, 2005, pp.1121-1137, |
| COM-05-10354 |
|
|
| |
 |
|
| Paper |
Practical Synthesis of Chiral cis-Cyclohex-4-ene-1,2-dicarboxylic Acid Derivatives by Utilizing (4S)-Isopropyl-1,3-thiazolidine-2-thione
|
Tinh Van Dang, Motoyuki Miyamoto, Shigeki Sano, Motoo Shiro, and Yoshimitsu Nagao*
|
| Vol 65, Issue 5, 2005, pp.1139-1157, |
| COM-05-10356 |
|
|
| |
 |
|
| Paper |
A New Synthesis of 2-Substituted 4H-3,1-Benzoxazin-4-ones by Cyanuric Chloride Cyclodehydration of N-Benzoyl- and N-Acylanthranilic Acids
|
Mohammad S. Khajavi* and Seyed M. Shariat
|
| Vol 65, Issue 5, 2005, pp.1159-1165, |
| COM-05-10364 |
|
|
| |
 |
|
| Paper |
Synthesis of 2-Pyrones Bridged at the 3- and 6-Positions by Ring-closing Metathesis
|
Yasuko Morie, Yumiko Suzuki, Kiyoshi Ikeda, and Masayuki Sato*
|
| Vol 65, Issue 5, 2005, pp.1167-1176, |
| COM-05-10367 |
|
|
| |
 |
|
| Note |
A Green Approach to the Synthesis of 2,3-Dihydropyrimidin-2(1H)-ones by Uronium Hydrogensulfate under Solvent-free Conditions
|
Peyman Salehi,* Minoo Dabiri, Mohammad Ali Zolfigol, and Mostafa Baghbanzadeh
|
| Vol 65, Issue 5, 2005, pp.1177-1181, |
| COM-04-10312 |
|
|
| |
 |
|
| Note |
Nitrilimine Cycloadditions to the Cyano Group in Aqueous Media
|
Giorgio Molteni* and Paola Del Buttero
|
| Vol 65, Issue 5, 2005, pp.1183-1188, |
| COM-05-10331 |
|
|
| |
 |
|
| Note |
Four New Coumarin Glucosides from the Roots of Heracleum rapula
|
Weilie Xiao, Shenghong Li, Yunheng Shen, Xiaoli Li, and Handong Sun*
|
| Vol 65, Issue 5, 2005, pp.1189-1196, |
| COM-05-10333 |
|
|
| |
 |
|
| Note |
Two New Steroid Saponins from Paris polyphylla
|
Yinan Zhang, Feng Yin, and Lihong Hu*
|
| Vol 65, Issue 5, 2005, pp.1197-1203, |
| COM-05-10339 |
|
|
| |
 |
|
| Note |
Synthesis of Benzo[b]naphtho[2,3-d]thiophene-6,11-diones via Palladium(II) Acetate-mediated Cyclization of 3-Arylthio-1,4-naphthoquinone
|
Chung-Kyu Ryu,* Ik Hwa Choi, Jung Yoon Lee, and Seong Hee Jung
|
| Vol 65, Issue 5, 2005, pp.1205-1214, |
| COM-05-10341 |
|
|
| |
 |
|
| Note |
Total Synthesis and Antioxidative Activity of Magnolamide from Magnolia coco
|
Wen-Fei Chiou, Chien-Chang Shen, Hsi-Jung Yu, Chang-Han Chiang, Ching-Chuan Chen, Wenyi Chang, and Ming-Jaw Don*
|
| Vol 65, Issue 5, 2005, pp.1215-1220, |
| COM-05-10344 |
|
|
| |
 |
|
| Review |
Advances on the Chemistry of Furano-diterpenoids from Teucrium Genus
|
Franco Piozzi,* Maurizio Bruno, Sergio Rosselli, and Antonella Maggio
|
| Vol 65, Issue 5, 2005, pp.1221-1234, |
| REV-04-593 |
|
|
| |
 |
|
| Communication |
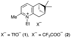
Cross-Metathesis Reaction of 1-Allylated β-Carboline and Isoquinoline Derivatives
|
Kazuhiro Nagata, Takashi Itoh, Hiromi Fukuoka, Shigeru Nakamura, and Akio Ohsawa*
|
| Vol 65, Issue 6, 2005, pp.1283-1287, |
| COM-05-10377 |
|
|
| |
 |
|
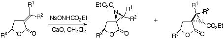
| Communication |
Double Diastereoselective Synthesis of syn,syn-Bis(1,2-isoxazolin-5-yl)methanol and syn,syn,syn-1,2-Bis(1,2-isoxazol-5-yl)ethane-1,2-diols: Facile Route for the Synthesis of Polyols
|
Bum Suk Son, Bo Gan Song, Jung Ki Kim, Min Jung Seo, Zaesung No, and Hyoung Rae Kim*
|
| Vol 65, Issue 6, 2005, pp.1289-1294, |
| COM-05-10389 |
|
|
| |
 |
|
| Paper |
Synthesis and Conversion of 3-(2-Hydroxythiobenzamido)benzo[b]furans
|
Detlef Briel
|
| Vol 65, Issue 6, 2005, pp.1295-1309, |
| COM-04-10238 |
|
|
| |
 |
|
| Paper |
1,2-Diazetines as Useful Tools for Ring Transformation Reactions with Isothiocyanates – A New Entry to 1,3,4-Thiadiazines
|
Rainer Beckert,* Jan Fleischhauer, Anja Darsen, Jennie Weston,* Stephan Schenk, Ariadna Batista, Ernst Anders, Helmar Görls, Manfred Döring, Daniela Pufky, and Olaf Walter
|
| Vol 65, Issue 6, 2005, pp.1311-1320, |
| COM-05-10349 |
|
|
| |
 |
|
| Paper |
Synthesis of Thienobenzofuranquinone Derivatives by Photoinduced and CAN-mediated 3+2-Type Cycloaddition Reactions
|
Kazuhiro Kobayashi,* Keiichi Yoneda, Kazutaka Hayashi, Osamu Morikawa, and Hisatoshi Konishi
|
| Vol 65, Issue 6, 2005, pp.1321-1327, |
| COM-05-10359 |
|
|
| |
 |
|
| Paper |
Synthesis of 1,3,8,8a-Tetrahydro-3,8-epoxyazirino[1,2-b]isoquinolines and Their Reactions with Oxygen Nucleophiles
|
M. José Alves, * Nuno G. Azoia, and A. Gil Fortes
|
| Vol 65, Issue 6, 2005, pp.1329-1345, |
| COM-05-10365 |
|
|
| |
 |
|
| Paper |
Convenient Transformation of 3-Alkoxyfurans to 2-Alkoxy-3-furanones or cis-2-Alkoxy-2-butene-1,4-diones with Phenyltrimethylammonium Tribromide
|
Shinsei Sayama
|
| Vol 65, Issue 6, 2005, pp.1347-1358, |
| COM-05-10366 |
|
|
| |
 |
|
| Paper |
Synthesis of Spiro-substituted Benzo[c]azepinones
|
Álmos Gorka, László Hazai, Csaba Szántay Jr., Viktor Háda, Lajos Szabó, and Csaba Szántay*
|
| Vol 65, Issue 6, 2005, pp.1359-1371, |
| COM-05-10372 |
|
|
| |
 |
|
| Paper |
Generation and [2+3] Cycloadditions of a Sulfonylated Thiocarbonyl S-Methanide
|
Katarzyna Urbaniak, Magdalena Sobieraj, Grzegorz Mloston,* Anthony Linden, and Heinz Heimgartner*
|
| Vol 65, Issue 6, 2005, pp.1373-1383, |
| COM-05-10373 |
|
|
| |
 |
|
| Paper |
Preparation and Properties of Dehydrotrichotomine-type Dyes: A New Near-Infrared Absorbing Indigoid
|
Hiroyuki Hashimoto, Kimiaki Shiratori, Keitaro Kawakita, Tomoaki Tanaka, Rika Sekine, and Hajime Irikawa*
|
| Vol 65, Issue 6, 2005, pp.1385-1392, |
| COM-05-10395 |
|
|
| |
 |
|
| Note |
Synthesis of New Ultraviolet Light Absorbers Based on 2-Aryl-2H-benzotriazoles
|
Aristides G. Koutsimpelis, Constantinos G. Screttas,* and Olga Igglessi-Markopoulou
|
| Vol 65, Issue 6, 2005, pp.1393-1401, |
| COM-04-10304 |
|
|
| |
 |
|
| Note |
Two New Taxoids from the Needles and Stems of Taxus chinensis
|
Zhi-Hua Xia, Li-Yan Peng, Rong-Tao Li, Qin-Shi Zhao,* and Han-Dong Sun
|
| Vol 65, Issue 6, 2005, pp.1403-1408, |
| COM-04-10305 |
|
|
| |
 |
|
| Note |
Two New Cycloartane Triterpene Glycosides and a New Alkaloid from Souliea vaginata
|
Liang Zhou, Jun-Shan Yang,* Xia Wu, Jian-Hua Zou, Xu-Dong Xu, and Guang-Zhong Tu
|
| Vol 65, Issue 6, 2005, pp.1409-1414, |
| COM-04-10315 |
|
|
| |
 |
|
| Note |
Multistep Synthesis of Pyrido[3’,2’:4,5]pyrrolo[3,2-d][1,3]oxazin-4(5H)-one from 2-Aminonicotinonitriles
|
Sribhashyam R. Kanth, Dravidum Maitraie, Ghojala V. Reddy, Banda Narsaiah,* and Pamulaparty S. Rao
|
| Vol 65, Issue 6, 2005, pp.1415-1423, |
| COM-05-10334 |
|
|
| |
 |
|
| Note |
Reactions of Bis(silyl-substituted) Methyllithium with α-Hydrogen-free Nitriles into 1,3,5-Triazines
|
Xia Chen, Sheng-Di Bai, Li Wang, and Dian-Sheng Liu*
|
| Vol 65, Issue 6, 2005, pp.1425-1430, |
| COM-05-10357 |
|
|
| |
 |
|
| Note |
Isolation and Identification of Potent Stimulatory Allelopathic Substances Exuded from Germinating Burdock (Arctium lappa) Seeds
|
Keiko Higashinakasu, Kosumi Yamada,* Hideyuki Shigemori, and Koji Hasegawa
|
| Vol 65, Issue 6, 2005, pp.1431-1437, |
| COM-05-10361 |
|
|
| |
 |
|
| Note |
1,4,5,6-Tetrahydropyrimidinium Halides Ligands for Suzuki-Miyaura Cross-Coupling of Unactivated Aryl Chlorides
|
Bülent Alici, Ismail Özdemir,* Nevin Gürbüz, Engin Çetinkaya, and Bekir Çetinkaya
|
| Vol 65, Issue 6, 2005, pp.1439-1445, |
| COM-05-10363 |
|
|
| |
 |
|
| Note |
Spiroaziridines from 4-Substituted α-Ylidene-γ-butyro Lactones
|
Tecla Gasperi, M. Antonietta Loreto,* Antonella Migliorini, and Paolo A. Tardella
|
| Vol 65, Issue 6, 2005, pp.1447-1454, |
| COM-05-10376 |
|
|
| |
 |
|
| Note |
An Improved Synthesis of Optically Pure (R)-4-Bromo-N-methyl-1-tosyltryptophan Derivative, a Key Intermediate in the Synthesis of Ergot Alkaloids
|
Yuusaku Yokoyama,* Ryoko Hara, Nahoko Kato, Yasuoki Murakami, and Hiroaki Okuno
|
| Vol 65, Issue 6, 2005, pp.1455-1459, |
| COM-05-10380 |
|
|
| |
 |
|
| Note |
Chemoenzymatic Synthesis of Naturally Occurring Phenethyl (1→6)-β-D-Glucopyranosides
|
Eiji Kawahara, Miho Nishiuchi, Mikio Fujii, Keisuke Kato, Yoshiteru Ida, and Hiroyuki Akita*
|
| Vol 65, Issue 6, 2005, pp.1461-1470, |
| COM-05-10383 |
|
|
| |
 |
|
| Note |
New Nor-neolignan Glycosides from Styrax obassia (Styracaceae)
|
Takeshi Kinoshita,* Yasuhiro Haga, and Shintaro Narimatsu
|
| Vol 65, Issue 6, 2005, pp.1471-1480, |
| COM-05-10394 |
|
|
| |
 |
|
| Note |
Ring Transformation of Dimethoxybenzenes to Heterocycles by Ozonolysis
|
Yuki Yoshida,* Satoshi Ichikawa, Yuka Shinozuka, Mitsuru Satoh, Kunihiko Mohri, and Kimiaki Isobe
|
| Vol 65, Issue 6, 2005, pp.1481-1490, |
| COM-05-10400 |
|
|
| |
 |
|
| Review |
Synthesis of Polynuclear Aromatic Compounds Incorporating a Fused Thiophene Ring
|
Tarun Kanti Pradhan and Asish De*
|
| Vol 65, Issue 6, 2005, pp.1491-1513, |
| REV-04-595 |
|
|
| |
 |
|
| Communication |
Reaction of 3,3,5,5-Tetramethylthiolane-2,4-dithione with Benzyne: Novel Formation of Benzodithiole
|
Kentaro Okuma,* Taeko Tsubone, Toshiyuki Shigetomi, Kosei Shioji, and Yoshinobu Yokomori
|
| Vol 65, Issue 7, 2005, pp.1553-1556, |
| COM-05-10396 |
|
|
| |
 |
|
| Communication |
Syntheses of Some 1-(α-Hydroxybenzyl)thieno[3,4-b]indolizine Derivatives and Their Unexpected Condensation Reactions
|
Akikazu Kakehi,* Hiroyuki Suga, Shin Hatayama, and Daisuke Kubo
|
| Vol 65, Issue 7, 2005, pp.1557-1560, |
| COM-05-10406 |
|
|
| |
 |
|
| Communication |
Total Synthesis of Murrastifoline-A by Way of the Pd-catalyzed Double N-Arylation of a Carbazolamine with a 2,2’-Dibromobiphenyl Derivative
|
Takafumi Kitawaki, Yoko Hayashi, and Noritaka Chida*
|
| Vol 65, Issue 7, 2005, pp.1561-1567, |
| COM-05-10418 |
|
|
| |
 |
|
| Paper |
Novel Method for the Synthesis of 2,5-Bisheteroaryl-3,6-dichloro-1,4-benzoquinones
|
Nelli G. Batenko, Gatis A. Karlivans, and Raimonds E. Valters*
|
| Vol 65, Issue 7, 2005, pp.1569-1576, |
| COM-05-10369 |
|
|
| |
 |
|
| Paper |
4-Substituted 3-Methylsulfanyl-5-, 6-, and 8-nitroquinolines from Nitro Derivatives of 4-Substituted 3’-Methylsulfinyl-3,4’-diquinolinyl Sulfides
|
Magdalena Kosiecka, Andrzej Maslankiewicz,* and Maria J. Maslankiewicz
|
| Vol 65, Issue 7, 2005, pp.1577-1588, |
| COM-05-10370 |
|
|
| |
 |
|
| Paper |
Synthesis of Quinoxaline 1,4-Dioxides from 5,6-Diethylbenzofuroxan on Silica Gel
|
Nobuo Sekimura, Hiroaki Saito, Shinichi Miyairi, and Tohru Takabatake*
|
| Vol 65, Issue 7, 2005, pp.1589-1600, |
| COM-05-10382 |
|
|
| |
 |
|
| Paper |
Synthesis and Reactivity of N-Vinyl-1,2,3-dithiazolimines
|
Vladimir N. Yarovenko,* Andrey A. Es’kov, Pavel A. Kondrashev, Anatolii V. Ignatenko, Igor V. Zavarzin, Lidia G. Vorontsova, Igor P. Sedishev, Mikhail M. Krayushkin, and Zoya A. Starikova
|
| Vol 65, Issue 7, 2005, pp.1601-1608, |
| COM-05-10390 |
|
|
| |
 |
|
| Paper |
Concise Formal Synthesis of (S)-Gregatin B
|
Keizo Matsuo,* Masaru Kanayama, Jinyi Xu, Rie Takeuchi, Keiji Nishiwaki, and Yukihiro Asaka
|
| Vol 65, Issue 7, 2005, pp.1609-1614, |
| COM-05-10391 |
|
|
| |
 |
|
| Paper |
Facile Synthesis of 2-Substituted 4H-1,3-thiazines and 3-Substituted 1,2-Isothiazoles via Benzyne Intermediates
|
Ramadas Sathunuru, Hongming Zhang, Chrles W. Rees, and Edward Biehl*
|
| Vol 65, Issue 7, 2005, pp.1615-1627, |
| COM-05-10414 |
|
|
| |
 |
|
| Paper |
Synthesis and Properties of 3-Arylcyclohepta[4,5]pyrrolo[1,2-a]-1,3,5-triazine-2,4(3H)-diones and Related Compounds: Photo-induced Autorecycling Oxidation of Amines
|
Makoto Nitta,* Tomoyuki Morito, Yuhki Mitsumoto, and Shin-ichi Naya
|
| Vol 65, Issue 7, 2005, pp.1629-1639, |
| COM-05-10423 |
|
|
| |
 |
|
| Paper |
A Short-step Convenient Synthesis of 2-Phenylbenzofuran from 3-Phenylcoumarin
|
Takeshi Kinoshita* and Koji Ichinose
|
| Vol 65, Issue 7, 2005, pp.1641-1654, |
| COM-05-10424 |
|
|
| |
 |
|
| Note |
Flavone C-Glycosides from Isatis tinctoria Leaves
|
Yongxian Cheng, Bernd Schneider, Christine Oberthür, Heidemarie Graf, Sven Adler, and Matthias Hamburger*
|
| Vol 65, Issue 7, 2005, pp.1655-1661, |
| COM-05-10343 |
|
|
| |
 |
|
| Note |
Synthesis of Ditopic Oligopyridines Using the Suzuki Coupling Reaction
|
Dirk Sielemann, Andreas Winter, and Nikolaus Risch*
|
| Vol 65, Issue 7, 2005, pp.1663-1672, |
| COM-05-10384 |
|
|
| |
 |
|
| Note |
A Convenient New Synthesis of 1,2-Diarylpyrroles from 3-Ethoxycarbonyl-4-oxo-4-phenylbutyraldehyde
|
Aurélie Delayen, Laurence Goossens, Raymond Houssin, and Jean-Pierre Hénichart*
|
| Vol 65, Issue 7, 2005, pp.1673-1678, |
| COM-05-10386 |
|
|
| |
 |
|
| Note |
Synthesis and Characterization of Bisindole-7,7’-dichloro-2,2’-diethoxycarbonyl-5,5’-bis-1H-indole
|
Zeghough Djidel,* Laib Nouari, Ouali Dehimi, Latelli H’mida, and Saadi Hocine
|
| Vol 65, Issue 7, 2005, pp.1679-1683, |
| COM-05-10388 |
|
|
| |
 |
|
| Note |
Three New Xanthones from the Roots of Securidaca inappendiculata
|
Li-jie Zhang,* Xue-dong Yang, Li-zhen Xu* and Shi-lin Yang
|
| Vol 65, Issue 7, 2005, pp.1685-1690, |
| COM-05-10392 |
|
|
| |
 |
|
| Note |
Synthesis of a New Family of Ligands with Bispyrazole Structure. Reactivity of Bispyrazolylmethyl Ethers
|
Pérez-Mayoral Elena, García-Amo María, López-Larrubia Pilar, Cerdán Sebastián, and Paloma Ballesteros*
|
| Vol 65, Issue 7, 2005, pp.1691-1704, |
| COM-05-10402 |
|
|
| |
 |
|
| Note |
Formal Synthesis of Epibatidine
|
Meng-Yang Chang* and Hua-Ping Chen
|
| Vol 65, Issue 7, 2005, pp.1705-1711, |
| COM-05-10407 |
|
|
| |
 |
|
| Review |
Interlocked Molecules Containing Quaternary Azaaromatic Moieties
|
Wanda Sliwa* and Teresa Zujewska
|
| Vol 65, Issue 7, 2005, pp.1713-1739, |
| REV-05-596 |
|
|
| |
 |
|
| Review |
Recent Advances in Macrosphelide Synthesis
|
Yuji Matsuya and Hideo Nemoto*
|
| Vol 65, Issue 7, 2005, pp.1741-1749, |
| REV-05-597 |
|
|
| |
 |
|
| Communication |
Three New Synthetic Methods for the 1,2,3,3a,8,8a-Hexahydropyrrolo[2,3-b]indoles Having an Alkoxy Group at the 3a-Position
|
Takako Iwaki, Fumio Yamada, Shiho Funaki, and Masanori Somei*
|
| Vol 65, Issue 8, 2005, pp.1811-1815, |
| COM-05-10443 |
|
|
| |
 |
|
| Communication |
Synthetic Models Related to Furanocoumarin — CYP3A4 Interactions. Synthesis of Furanocoumarin Dimers that Have Inhibitory Effects on Activity of Human CYP3A4
|
Kazuaki Oda,* Hitomi Kasai, Yuki Yamaguchi, Teruki Yoshimura, Keiji Wada, Minoru Machida, and Naozumi Nishizono*
|
| Vol 65, Issue 8, 2005, pp.1817-1820, |
| COM-05-10450 |
|
|
| |
 |
|
| Paper |
High Throughput Synthesis of Pyrazolopyrimidines via Copper-catalysed Cyclization, and X-Ray Study
|
Raid J. Abdel-Jalil,* Monther Khanfar, Samer Al-Gharabli, Mustafa M. El-Abadelah, Klaus Eichele, Muhammad Usman Anwar, and Wolfgang Voelter*
|
| Vol 65, Issue 8, 2005, pp.1821-1827, |
| COM-05-10398 |
|
|
| |
 |
|
| Paper |
A Convenient Preparaion of a Series of 2-Aryl-substituted Imidazolidines through Diamine Transfer Reaction
|
Donghong Li, Yongbin Zhang, Chizhong Xia, and Wei Guo*
|
| Vol 65, Issue 8, 2005, pp.1829-1836, |
| COM-05-10408 |
|
|
| |
 |
|
| Paper |
A New α-Glucosidase Inhibiting Dithiadiazetidin Derivative from Symplocos racemosa
|
Muhammad Athar Abbasi, Viqar Uddin Ahmad,* Muhammad Zubair, Muhammad Abid Rashid, Shamsun Nahar Khan, Umar Farooq, M. Iqbal Choudhary, and Klaus-Peter Zeller
|
| Vol 65, Issue 8, 2005, pp.1837-1842, |
| COM-05-10417 |
|
|
| |
 |
|
| Paper |
Selective Reduction of Nitrocinnamoylfumagillols with α,β-Unsaturated Ester Using Borohydride Exchange Resin (BER)-Nickel Acetate
|
Hong Woo Lee,* Joong Bok Ahn, Jung Hwa Lee, Sung Kwon Kang, Soon Kil Ahn, and Sang Joon Lee
|
| Vol 65, Issue 8, 2005, pp.1843-1856, |
| COM-05-10425 |
|
|
| |
 |
|
| Paper |
Reaction of Polychloroacetamides with Amines: Reductive Dechlorination and Aziridine Formation
|
Takeaki Naito,* Ayako Saito, Masafumi Ueda, and Okiko Miyata
|
| Vol 65, Issue 8, 2005, pp.1857-1869, |
| COM-05-10426 |
|
|
| |
 |
|
| Paper |
Synthesis and Antimicrobial Activity of Some New Pyridazine Derivatives
|
Maria D. Caprosu, Roxana M. Butnariu, and Ionel I. Mangalagiu*
|
| Vol 65, Issue 8, 2005, pp.1871-1879, |
| COM-05-10428 |
|
|
| |
 |
|
| Paper |
New Syntheses of 1-Benzoyltetrahydroisoquinoline Derivatives Using Polymer-supported Bis(trifluoroacetoxyiodo)benzene
|
Hsin-Yu Huang, Rei-Sheu Hou, Huey-Min Wang, and Ling-Ching Chen*
|
| Vol 65, Issue 8, 2005, pp.1881-1887, |
| COM-05-10433 |
|
|
| |
 |
|
| Paper |
Regio- and Stereoselective Cycloadditions and Further Transformations of Azomethine Imine Derivatives of Fused [1,2,4]Triazines
|
Csilla Gróf, Zsuzsanna Riedl, György Hajós,* Orsolya Egyed, Antal Csámpai, and Branko Stanovnik
|
| Vol 65, Issue 8, 2005, pp.1889-1902, |
| COM-05-10434 |
|
|
| |
 |
|
| Paper |
Synthesis of 2-Selenoxo-1,3-thiazolidin-4-ones and 2-Selenoxo-1,3-thiazinan-4-ones from Isoselenocyanates
|
Geoffroy L. Sommen, Anthony Linden, and Heinz Heimgartner*
|
| Vol 65, Issue 8, 2005, pp.1903-1915, |
| COM-05-10435 |
|
|
| |
 |
|
| Paper |
Allylation of Meldrum’s Acids by Allylic Alcohols Using Tetrakis[triphenylphosphine]palladium(0) Catalysts
|
Rei-Sheu Hou,* Huey-Min Wang, Hsin-Yu Huang, and Ling-Ching Chen*
|
| Vol 65, Issue 8, 2005, pp.1917-1923, |
| COM-05-10437 |
|
|
| |
 |
|
| Paper |
Total Synthesis of Styelsamine C, and Formal Synthesis of Norsegoline
|
Shinsuke Nakahara* and Akinori Kubo
|
| Vol 65, Issue 8, 2005, pp.1925-1929, |
| COM-05-10442 |
|
|
| |
 |
|
| Note |
The Library of Cinchona Alkaloids-1,2,3-triazole Derivatives: Structure and Facile Access by “Click Chemistry”
|
Karol Kacprzak,* Michal Migas, Agnieszka Plutecka, Urszula Rychlewska, and Jacek Gawronski
|
| Vol 65, Issue 8, 2005, pp.1931-1938, |
| COM-05-10378 |
|
|
| |
 |
|
| Note |
5H-[1,2,5]Selenadiazolo[3,4-f]indole as a Masked Form of 5,6-Diaminoindole
|
Jealux Okwakol and Spiros Grivas*
|
| Vol 65, Issue 8, 2005, pp.1939-1946, |
| COM-05-10401 |
|
|
| |
 |
|
| Note |
Syntheses and Crystal Structures of Diethylated Daidzein Sulfonates
|
Zun-Ting Zhang* and Qiu-Ya Wang
|
| Vol 65, Issue 8, 2005, pp.1947-1956, |
| COM-05-10405 |
|
|
| |
 |
|
| Note |
Microwave-assisted and Efficient One-Pot Synthesis of Substituted 1,2,4-Triazoles
|
Daliang Li, Hongli Bao, and Tianpa You*
|
| Vol 65, Issue 8, 2005, pp.1957-1962, |
| COM-05-10415 |
|
|
| |
 |
|
| Note |
New Coumarins from the Ailanthus altissima
|
Seon Woo Hwang, Jong Rok Lee, Jun Lee, Hyun Sook Kwon, Min Suk Yang, and Ki Hun Park*
|
| Vol 65, Issue 8, 2005, pp.1963-1966, |
| COM-05-10429 |
|
|
| |
 |
|
| Note |
A Practical Synthesis of 8-Hydroxyacyclovir and 9-(Carboxymethoxymethyl)guanine, Metabolites of Acyclovir
|
Teruo Kutsuma, Yasuo Sakai, Hiroyuki Ouchi, Noriaki Shiina, Takehiro Yamagishi, Shiroshi Shibuya, and Tsutomu Yokomatsu*
|
| Vol 65, Issue 8, 2005, pp.1967-1973, |
| COM-05-10430 |
|
|
| |
 |
|
| Note |
Synthesis of 2,4-Diarylimidazoles through Suzuki Cross-coupling Reactions of Imidazole Halides with Arylboronic Acids
|
Ingo Langhammer and Thomas Erker*
|
| Vol 65, Issue 8, 2005, pp.1975-1984, |
| COM-05-10445 |
|
|
| |
 |
|
| Note |
An Efficient Synthesis of Bergapten
|
Kazuaki Oda,* Naozumi Nishizono, Yukio Tamai, Yuki Yamaguchi, Teruki Yoshimura, Keiji Wada, and Minoru Machida
|
| Vol 65, Issue 8, 2005, pp.1985-1988, |
| COM-05-10451 |
|
|
| |
 |
|
| Note |
Tautomerization of 3a,7a-Dihydroindole-2,3,3a,4-tetracarboxylate
|
Kyu Ok Jeon, Ji Sook Yu, and Chang Kiu Lee*
|
| Vol 65, Issue 8, 2005, pp.1989-1997, |
| COM-05-10457 |
|
|
| |
 |
|
| Note |
Synthetic Study toward Pancracine
|
Meng-Yang Chang,* Hua-Ping Chen, Chun-Yu Lin, and Chun-Li Pai
|
| Vol 65, Issue 8, 2005, pp.1999-2004, |
| COM-05-10470 |
|
|
| |
 |
|
| Review |
Recent Progress of Halogen-Dance Reactions in Heterocycles
|
Xin-Fang Duan* and Zhan-Bin Zhang
|
| Vol 65, Issue 8, 2005, pp.2005-2012, |
| REV-05-598 |
|
|
| |
 |
|
| Communication |
A Facile Method for Conversion of Phenolic Tetrahydroisoquinolines to Benzylamines with Ring Cleavage
|
Takashi Nakata, Naho Komatsu, Mamiko Yamanaka, Hae Joo Lee, Yutaka Matsuoka, Kiyoshi Nishitani, Miyuki Ishizaki, and Hiroshi Hara*
|
| Vol 65, Issue 9, 2005, pp.2057-2060, |
| COM-05-10460 |
|
|
| |
 |
|
| Paper |
Synthesis and Antitumor Activity of 2-Aryl-7-fluoro-6-(4-methyl-1-piperazinyl)-4(3H)-quinazolinones
|
Raid J. Abdel-Jalil,* Hani M. Aldoqum, Mikdad T. Ayoub, and Wolfgang Voelter*
|
| Vol 65, Issue 9, 2005, pp.2061-2070, |
| COM-05-10387 |
|
|
| |
 |
|
| Paper |
Nucleophilic Substitution Reaction of Amines with 3-Bromo-4-nitropyridine (and 2-Nitropyridine): A New Nitro-group Migration
|
Jiangchao Yao,* Paul R. Blake, and Ji Yang
|
| Vol 65, Issue 9, 2005, pp.2071-2081, |
| COM-05-10455 |
|
|
| |
 |
|
| Paper |
Briviolides, New Briarane Diterpenes from a Gorgonian Briareum Sp.
|
Tetsuo Iwagawa,* Kazutaka Babazono, Hiroaki Okamura, Munehiro Nakatani, Matsumi Doe, Yoshiki Morimoto, Motoo Shiro, and Kaoru Takemura
|
| Vol 65, Issue 9, 2005, pp.2083-2093, |
| COM-05-10459 |
|
|
| |
 |
|
| Paper |
Facile Synthesis of 3-Substituted and 1,3-Disubstituted Quinolin-2(1H)-ones from 2-Nitrobenzaldehydes
|
Kwanghee Koh Park* and Jin Young Jung
|
| Vol 65, Issue 9, 2005, pp.2095-2105, |
| COM-05-10462 |
|
|
| |
 |
|
| Paper |
Synthesis of 1-Deoxymaxacalcitol
|
Tsuyoshi Yamauchi,* Masahiro Kato, Tetsuhiro Mikami, and Yasuo Fujimura
|
| Vol 65, Issue 9, 2005, pp.2107-2118, |
| COM-05-10463 |
|
|
| |
 |
|
| Paper |
One-Pot Synthesis of 2-Aryl- and 2-Alkylbenzothiazoles under Microwave Irradiation
|
Sukanta Kamila, Hongming Zhang, and Edward R. Biehl*
|
| Vol 65, Issue 9, 2005, pp.2119-2126, |
| COM-05-10466 |
|
|
| |
 |
|
| Paper |
Chemoenzymatic Synthesis of Naturally Occurring (Z)-3-Hexenyl 6-O-Glycosyl-β-D-glucopyranosides
|
Masashi Kishida, Mikio Fujii, Yoshiteru Ida, and Hiroyuki Akita*
|
| Vol 65, Issue 9, 2005, pp.2127-2137, |
| COM-05-10474 |
|
|
| |
 |
|
| Paper |
Acid Catalyzed Cyclization Reaction of 3-Hydrazono-1,1,1-trifluoro-2-alkanones to 6-Trifluoromethyl-3,6-dihydro-2H-[1,3,4]oxadiazines
|
Yasuhiro Kamitori* and Tomoko Sekiyama
|
| Vol 65, Issue 9, 2005, pp.2139-2150, |
| COM-05-10482 |
|
|
| |
 |
|
| Paper |
Sulfur Ylides in Reactions with 5-X-Adamantan-2-ones. Stereochemistry and Reactivity
|
Giada Catanoso, Barbara Di Credico, and Elisabetta Vecchi*
|
| Vol 65, Issue 9, 2005, pp.2151-2160, |
| COM-05-10489 |
|
|
| |
 |
|
| Note |
Reaction of Some Furan-2,3-diones with Various 1,2-Phenylenediamines
|
Emin Saripinar,* Ertugrul Gazi Saglam, Ibrahim Öncel, Ilhan Özer Ilhan, Lale Göktas, Tevfik Riza Kök, and Yunus Akçamur
|
| Vol 65, Issue 9, 2005, pp.2161-2167, |
| COM-05-10411 |
|
|
| |
 |
|
| Note |
Pinene-fused Chiral N-Ethylpyridinium Room Temperature Molten Salts
|
Dusan Drahonovsky, Gaël Charles Labat, Juraj Sevcík, and Alex von Zelewsky*
|
| Vol 65, Issue 9, 2005, pp.2169-2179, |
| COM-05-10432 |
|
|
| |
 |
|
| Note |
Catalytic Aromatization of Hantzsch 1,4-Dihydropyridines by Bis(salicylaldehyde-1,2-phenylenediimine) Mn(III) Chloride Using Urea Hydrogen Peroxide as Mild and Efficient Oxidant
|
Bahador Karami,* Morteza Montazerozohori, and Masoud Nasr-Esfahani
|
| Vol 65, Issue 9, 2005, pp.2181-2188, |
| COM-05-10446 |
|
|
| |
 |
|
| Note |
Preparation of 1-Alkyl-2-aryl-1H-imidazo[4,5-b]pyridines from 2-Alkylamino-3-aminopyridines and Aromatic Aldehydes Using Air as an Oxidant
|
Mikhail Krasavin,* Vladimir V. Kobak, Tatiana Y. Bondarenko, and Dmitry V. Kravchenko
|
| Vol 65, Issue 9, 2005, pp.2189-2194, |
| COM-05-10447 |
|
|
| |
 |
|
| Note |
Synthesis of New 3-Hydroxy-4(1H)-pyridinone Directly Attached to Quinoxaline and Its Fluorescence Property upon Complexation to Metal Ions
|
Akira Katoh,* Kenichi Ogino, and Ryota Saito
|
| Vol 65, Issue 9, 2005, pp.2195-2201, |
| COM-05-10471 |
|
|
| |
 |
|
| Review |
Luotonin A: A Lead toward Anti-Cancer Agent Development
|
Zhongze Ma,* Yoshio Hano,* and Taro Nomura
|
| Vol 65, Issue 9, 2005, pp.2203-2219, |
| REV-05-599 |
|
|
| |
 |
|
| Review |
Photochemical Addition Reactions Involving Phthalimides
|
Gerard McDermott, Dong Jin Yoo, and Michael Oelgemöller*
|
| Vol 65, Issue 9, 2005, pp.2221-2257, |
| REV-05-601 |
|
|
| |
 |
|
| Communication |
First Synthesis of Piperazine-derived [1,2,4]Triazolo[1,5-a]pyrazine as an Adenosine A2A Receptor Antagonist
|
Hairuo Peng,* Li Sha, He Xi Chang, Jeffery T. Vessels, Serajul Haque, Patrick R. Conlon, James E. Dowling, Joy Wang, Thomas M. Engber, Gnanasambandam Kumaravel, Daniel M. Scott, and Russell C. Petter
|
| Vol 65, Issue 10, 2005, pp.2321-2327, |
| COM-05-10493 |
|
|
| |
 |
|
| Paper |
Synthesis of New Trifluoromethyl Substituted 11H-Isoindolo[2,1-a]benzimidazol-11-one Derivatives
|
Boddupally P V Lingaiah, Tallapally Yakaiah, Pamulaparthy S Rao,* and Banda Narsaiah
|
| Vol 65, Issue 10, 2005, pp.2329-2337, |
| COM-05-10453 |
|
|
| |
 |
|
| Paper |
Synthesis of Porphyrin — Acetylene and Porphyrin-Diene Building Blocks for New Dyads Preparation
|
Stanislaw Ostrowski* and Agnieszka Mikus
|
| Vol 65, Issue 10, 2005, pp.2339-2346, |
| COM-05-10467 |
|
|
| |
 |
|
| Paper |
One-Pot Synthesis of 3-Aryl-3H,4H-[1,2]-dithiolo[3,4-b]benzothiopyran-4-ones and 1-(o-Bromophenyl)-3-aryl-2-prop-2-en-1-ones
|
Chandrani Mukherjee, Hongming Zhang, and Edward R. Biehl*
|
| Vol 65, Issue 10, 2005, pp.2347-2356, |
| COM-05-10479 |
|
|
| |
 |
|
| Paper |
Five Monoterpene Glycosides from Zingiberis Rhizome (Shokyo)
|
Yumiko Hori, Tsuyoshi Miura, Yukiye Wakabayashi, Motonori Fukumura, Yasuaki Hirai, Kazuo Toriizuka, Yoshiyuki Kuchino, and Yoshiteru Ida*
|
| Vol 65, Issue 10, 2005, pp.2357-2367, |
| COM-05-10480 |
|
|
| |
 |
|
| Paper |
Synthesis of Thienoimidazo[4,5-b]pyridines and Thenylidenoimidazolinones
|
Malin Björk and Spiros Grivas*
|
| Vol 65, Issue 10, 2005, pp.2369-2380, |
| COM-05-10486 |
|
|
| |
 |
|
| Paper |
Manganese(III) Acetate Mediated Oxidative Free Radical Reactions between Indole Derivatives and 1,3-Dicarbonyl Compounds
|
An-I Tsai, Chia-Hui Lin, and Che-Ping Chuang*
|
| Vol 65, Issue 10, 2005, pp.2381-2394, |
| COM-05-10487 |
|
|
| |
 |
|
| Paper |
1,3-Benzodioxole-based β- and γ-Peptide Linkages Exhibiting Unique Fluorescence, Conformation, and Self-association Properties
|
Masaya Suzuki, Yuya Ohguro, Kazukiyo Kobayashi, and Yoshihiro Nishida*
|
| Vol 65, Issue 10, 2005, pp.2395-2409, |
| COM-05-10490 |
|
|
| |
 |
|
| Paper |
Synthesis and Unambiguous Stereochemical Determination of 1-exo- and 1-endo-1-Aryl-1,2,2a,8b-tetrahydro-3H-benzo[b]cyclobuta[d]pyran-3-ones
|
Masayuki Yamashita, Yadav Navnath Dnyanoba, Masaki Nagahama, Tomoki Inaba, Yuka Nishino, Kumiko Miura, Sachiko Kosaka, Junko Fukao, Ikuo Kawasaki, and Shunsaku Ohta*
|
| Vol 65, Issue 10, 2005, pp.2411-2430, |
| COM-05-10498 |
|
|
| |
 |
|
| Paper |
Isolation, Synthesis and Biological Activity of Grifolic Acid Derivatives from the Inedible Mushroom Albatrellus dispansus
|
Toshihiro Hashimoto, Dang Ngoc Quang, Makiko Nukada, and Yoshinori Asakawa*
|
| Vol 65, Issue 10, 2005, pp.2431-2439, |
| COM-05-10501 |
|
|
| |
 |
|
| Paper |
One-pot Synthesis of A2BC-Type Free Base Porphyrins
|
Yasser M. Shaker and Mathias O. Senge*
|
| Vol 65, Issue 10, 2005, pp.2441-2450, |
| COM-05-10506 |
|
|
| |
 |
|
| Paper |
Syntheses and Reactions of 2-Cyclohexyl-1,3,4,5-tetrahydro-10H-pyrrolo[3,4-b][1,5]benzodiazepine-1,4-dione and 4-Aryl-2-cyclohexyl-1,3,4,10-tetrahydropyrrolo[4,3-c][1,5]benzothiazepin-1-ones
|
Keizo Matsuo,* Junko Kawanishi, Mariko Kobayashi, and Sachiko Ueno
|
| Vol 65, Issue 10, 2005, pp.2451-2459, |
| COM-05-10514 |
|
|
| |
 |
|
| Paper |
Three New Stilbeneoligomers from the Roots of Vitis vinifera ‘Kyohou’
|
Fuko Fujii, Yue-Hua He, Kenji Terashima, Yoshiaki Takaya, and Masatake Niwa*
|
| Vol 65, Issue 10, 2005, pp.2461-2469, |
| COM-05-10515 |
|
|
| |
 |
|
| Note |
1H,6H-Triazolo[4,5-e]benzotriazole-3-oxides and 5,5’-(Z)-Diazene-1,2-diylbis(2-methyl-2H-1,2,3-benzotriazole) Derived from Chloronitrobenzotriazoles and Hydrazine
|
Antonio Carta,* Sandra Piras, Gianpiero Boatto, and Giuseppe Paglietti
|
| Vol 65, Issue 10, 2005, pp.2471-2481, |
| COM-05-10481 |
|
|
| |
 |
|
| Note |
A Simple Method for the Synthesis of 1-Substituted β-Carboline Derivatives from Tryptamine and Carboxylic Acids in Polyphosphoric Acid
|
Iliyan Ivanov,* Stoyanka Nikolova, and Stela Statkova-Abeghe
|
| Vol 65, Issue 10, 2005, pp.2483-2492, |
| COM-05-10484 |
|
|
| |
 |
|
| Note |
One-pot Synthesis of trans-7-Aryl-6H-6a,7-dihydro[1]benzopyrano[3,4-c][1,5]benzothiazepines
|
Ramadas Sathunuru, Benjamin Koh, Hongming Zhang, and Ed Biehl*
|
| Vol 65, Issue 10, 2005, pp.2493-2503, |
| COM-05-10485 |
|
|
| |
 |
|
| Note |
Synthesis of Quinolyl- and Isoquinolyl Heteroarylamines Using Palladium Catalyzed Suzuki Cross-Coupling Reaction
|
Ihl Young Choi Lee,* Myung Hee Jung, Hee-Jeong Lim, and Hyo Won Lee*
|
| Vol 65, Issue 10, 2005, pp.2505-2511, |
| COM-05-10496 |
|
|
| |
 |
|
| Review |
Stereoselective Cycloadditions of Nitrilimines as a Source of Enantiopure Heterocycles
|
Giorgio Molteni
|
| Vol 65, Issue 10, 2005, pp.2513-2537, |
| REV-05-600 |
|
|
| |
 |
|
| Communication |
Photochemical Synthesis of Benzopyrimidosemibullvalenes from Benzopyrimidobarrelenes
|
Kazue Ohkura,* Mikiko Kudo, Tetsuya Ishihara, Ken-ichi Nishijima, and Koh-ichi Seki
|
| Vol 65, Issue 11, 2005, pp.2583-2586, |
| COM-05-10520 |
|
|
| |
 |
|
| Communication |
A Ring-opening Cross-metathesis Reaction of N-Trialkylsilyl 2-Azabicyclo[2.2.1]hept-5-en-3-one with Allyltrimethylsilane
|
Minoru Ishikura,* Miyako Hasunuma, and Kazuo Yanada
|
| Vol 65, Issue 11, 2005, pp.2587-2592, |
| COM-05-10533 |
|
|
| |
 |
|
| Paper |
Palladium-catalysed Synthesis of Pyrimidines
|
Truls Ingebrigtsen, Irene Helland, and Tore Lejon*
|
| Vol 65, Issue 11, 2005, pp.2593-2603, |
| COM-05-10469 |
|
|
| |
 |
|
| Paper |
Natural Bond Orbital Analysis of Pericyclic and Pseudopericyclic 1,5-Electrocyclizations of Conjugated Azides
|
Kazuaki Fukushima* and Hideo Iwahashi
|
| Vol 65, Issue 11, 2005, pp.2605-2618, |
| COM-05-10477 |
|
|
| |
 |
|
| Paper |
Synthesis and Structure of Dipyrido-1,4-dithiins
|
Beata Morak, Krystian Pluta,* Kinga Suwinska, Miroslawa Grymel, Céline Besnard, Marc Schiltz, Christian Kloc, and Theo Siegrist
|
| Vol 65, Issue 11, 2005, pp.2619-2634, |
| COM-05-10491 |
|
|
| |
 |
|
| Paper |
Stereocontrolled Synthesis of New Tetrahydrofuro[2,3-d]thiazole Derivatives via Activated Vinylogous Iminium Ions
|
Rade Markovic,* Marija Baranac, Peter Steel, Erich Kleinpeter, and Milovan Stojanovic
|
| Vol 65, Issue 11, 2005, pp.2635-2647, |
| COM-05-10494 |
|
|
| |
 |
|
| Paper |
Synthesis of 4,6-Diaryl-4,6,7,8-tetrahydro[1,4]oxazepino[4,3-c]sydnone
|
Zhanbin Zhang* and Xinfang Duan
|
| Vol 65, Issue 11, 2005, pp.2649-2655, |
| COM-05-10497 |
|
|
| |
 |
|
| Paper |
Asymmetric Synthesis of (2R,3R,4R)-3-Hydroxy-4-methylproline via Chromium(II) Chloride-mediated Coupling Reactions of (S)-Garner Aldehyde with Crotyl Bromide
|
Haruko Inaba, Yukiko Hiraiwa, Satoshi Yoshida, Mina Tamura, Asako Kuroda, Aki Ogawa, Yutaka Aoyagi, Akihiro Ohta, and Koichi Takeya*
|
| Vol 65, Issue 11, 2005, pp.2657-2665, |
| COM-05-10500 |
|
|
| |
 |
|
| Paper |
New Synthesis of t-Butyl 1,2-Dihydro-1-oxaazulene-3-carboxylates Using Lithium Trimethylsilyldiazomethane
|
Susumu Tsuchida, Yoshiyuki Hari, and Toyohiko Aoyama*
|
| Vol 65, Issue 11, 2005, pp.2667-2674, |
| COM-05-10504 |
|
|
| |
 |
|
| Paper |
Five New Sulfur-containing Polybrominated Bisindoles from the Red Alga Laurencia brongniartii
|
Natsuki K. Kubota, Hajime Iwamoto, Yoshimasa Fukazawa, and Yasuto Uchio*
|
| Vol 65, Issue 11, 2005, pp.2675-2682, |
| COM-05-10505 |
|
|
| |
 |
|
| Paper |
The First and Reliable Synthesis of Thieno[2,3-e][1,2,4]triazolo[1,5-c]pyrimidin-5(6H)-ones via Their [4,3-c] Compounds by Dimroth Rearrangement
|
Tomohisa Nagamatsu* and Shoeb Ahmed
|
| Vol 65, Issue 11, 2005, pp.2683-2692, |
| COM-05-10518 |
|
|
| |
 |
|
| Paper |
Synthesis of 3-Methoxyellipticine and Ellipticine by Friedel-Crafts Reaction of Indole-2,3-dicarboxylic Anhydride and Selective Demethylation
|
Yasuyoshi Miki,* Yoshiyuki Aoki, Yasuhiko Tsuzaki, Misako Umemoto, and Hajime Hibino
|
| Vol 65, Issue 11, 2005, pp.2693-2703, |
| COM-05-10522 |
|
|
| |
 |
|
| Paper |
Isothiazolo[3,2-b]-1,3,4-oxadiazole-5,5-dioxide: Synthesis of a New Heteropentalene System
|
Stephan Schmidt, Arne Kolberg, Lothar Hennig, Jens Hunger, and Bärbel Schulze*
|
| Vol 65, Issue 11, 2005, pp.2705-2720, |
| COM-05-10530 |
|
|
| |
 |
|
| Paper |
Synthesis of 1,2-Disubstituted Imidazoles via Cross-Coupling and Substitution Reactions
|
Ingo Langhammer and Thomas Erker*
|
| Vol 65, Issue 11, 2005, pp.2721-2728, |
| COM-05-10531 |
|
|
| |
 |
|
| Note |
A Facile Synthesis of 2-Aminothiazolo[5,4-b]pyridines and 2-Aminobenzoxazoles via Cyclization of Thioureas
|
Ju Hee Yoon, Hyunmin Song, Sang Wong Kim, Gyoonhee Han, and Hea-Young Park Choo*
|
| Vol 65, Issue 11, 2005, pp.2729-2740, |
| COM-05-10440 |
|
|
| |
 |
|
| Note |
Synthesis of Substituted 1,3-Dimethyl-1H-quinoxalin-2-ones from Aniline Derivatives
|
Xun Li, Donghua Wang, Jifeng Wu, and Wenfang Xu*
|
| Vol 65, Issue 11, 2005, pp.2741-2751, |
| COM-05-10461 |
|
|
| |
 |
|
| Note |
Comparative Structural Studies of 4-Diazopyrazole Derivatives by X-Ray Diffraction and Theoretical Investigation
|
Giuseppe Daidone,* Benedetta Maggio, Maria Valeria Raimondi, Gabriella Bombieri, Nicoletta Marchini, and Roberto Artali
|
| Vol 65, Issue 11, 2005, pp.2753-2761, |
| COM-05-10499 |
|
|
| |
 |
|
| Note |
A Practical Synthesis of 1-Alkyl-3-amino-4-aryl-1,8-naphthyridin-2-(1H)-one, a Partial Structure of ACAT Inhibitor SMP-797
|
Hitoshi Ban,* Masami Muraoka, Kouji Morisita, and Naohito Ohashi
|
| Vol 65, Issue 11, 2005, pp.2763-2770, |
| COM-05-10511 |
|
|
| |
 |
|
| Note |
New Vermistatin Derivatives Isolated from Penicillium simplicissimum
|
Shin-ichirou Komai, Tomoo Hosoe, Takeshi Itabashi, Koohei Nozawa, Takashi Yaguchi, Kazutaka Fukushima, and Ken-ichi Kawai*
|
| Vol 65, Issue 11, 2005, pp.2771-2776, |
| COM-05-10523 |
|
|
| |
 |
|
| Note |
Friedländer Reactions of Triacetylmethane - Unusual Distribution of Products -
|
A. F. M. Motiur Rahman, Youngjoo Kwon, and Yurngdong Jahng*
|
| Vol 65, Issue 11, 2005, pp.2777-2782, |
| COM-05-10534 |
|
|
| |
 |
|
| Note |
Synthesis of Benzobicyclo[2.2.1]heptylimidazoles as Conformationally Constrained Adrenergic Receptor Antagonists
|
Jari Yli-Kauhaluoma,* Aki Laine, Jari Ratilainen, and Arto Karjalainen
|
| Vol 65, Issue 11, 2005, pp.2783-2790, |
| COM-05-10535 |
|
|
| |
 |
|
| Note |
Synthesis of Novel Triphenylene-Type Cations Containing Both Thiophene Rings and a Tropylium Ion Ring. Cyclohepta[e]thieno[2,3-g]benzodithiophenylium Ion and Cyclohepta[e]thieno[3,2-g]benzodithiophenylium Ion
|
Teppei Oyanagi, Yasuhiro Sakurai, and Kimiaki Yamamura*
|
| Vol 65, Issue 11, 2005, pp.2791-2798, |
| COM-05-10536 |
|
|
| |
 |
|
| Note |
New Approach to the Synthesis of Non-benzenoid Aromatic Compounds, Functionalized 1-Azaazulene Derivatives: Cyclization Reactions of 2-Substituted Tropones with N-Silylenamine and Enamine
|
Norio Sakai, Naoto Hattori, Nanako Tomizawa, Noritaka Abe, and Takeo Konakahara*
|
| Vol 65, Issue 11, 2005, pp.2799-2807, |
| COM-05-10537 |
|
|
| |
 |
|
| Paper |
Crown Compounds Containing a 1,3,4-Thiadiazole Moiety: Microwave Assisted Synthesis, Crystal Structure and Quantum Calculations
|
Mounim Lebrini, Fouad Bentiss, Hervé Vezin, Jean Pierre Wignacourt, Pascal Roussel, and Michel Lagrenée*
|
| Vol 65, Issue 12, 2005, pp.2847-2860, |
| COM-05-10375 |
|
|
| |
 |
|
| Paper |
Reactions of 4-Pentenoic Acid with Sulfenyl Cations Generated Electrochemically from Bisquinolinyl and Bispyridinyl Disulfides
|
Krzysztof Marciniec, Andrzej Maslankiewicz,* Maria J. Maslankiewicz, and Zbigniew Ciunik
|
| Vol 65, Issue 12, 2005, pp.2861-2870, |
| COM-05-10507 |
|
|
| |
 |
|
| Paper |
Stereoselective Functionalization of Alkenyl-β-lactams
|
Luigino Troisi,* Emanuela Pindinelli, Luisella De Vitis, Catia Granito, and Ludovico Ronzini
|
| Vol 65, Issue 12, 2005, pp.2871-2884, |
| COM-05-10508 |
|
|
| |
 |
|
| Paper |
Synthesis of Functionalized 5,5-Disubstituted Isoxazolines via 1,3-Dipolar Cycloaddition Reactions of Geminal Disubstituted Alkenes
|
Ashton T. Hamme, II,* Jianping Xu, Jun Wang, Tiffany Cook, and Erick Ellis
|
| Vol 65, Issue 12, 2005, pp.2885-2892, |
| COM-05-10527 |
|
|
| |
 |
|
| Paper |
1-(3-Nitrobenzenesulfonyl)-3,4-dimethylimidazolinium Iodide: A More Active Tetrahydrofolate Coenzyme Model
|
Yongbin Zhang, Donghong Li, Chizhong Xia, and Wei Guo*
|
| Vol 65, Issue 12, 2005, pp.2893-2900, |
| COM-05-10528 |
|
|
| |
 |
|
| Paper |
An Enantioselective Synthesis of 1-Azaspiro[5.5]undecane Ring System of Histrionicotoxin Alkaloids from D(+)-Glucose
|
Smritilekha Bera
|
| Vol 65, Issue 12, 2005, pp.2901-2916, |
| COM-05-10540 |
|
|
| |
 |
|
| Paper |
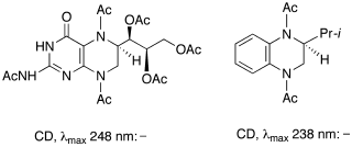
Stereochemistry of Fully Acetylated Tetrahydropterins and Tetrahydroquinoxalines
|
Ning Chen, Kazuhisa Ikemoto, Shingo Komatsu, and Shizuaki Murata*
|
| Vol 65, Issue 12, 2005, pp.2917-2924, |
| COM-05-10544 |
|
|
| |
 |
|
| Paper |
A New Synthesis of Phenolic 1-Hydroxy-1-phenyl-2,3,4,5-tetrahydro-1H-3-benzazepines
|
Motoki Ikeuchi, Miyuki Ikeuchi, Kumiko Inoue, Syuhei Yamamoto, Aiko Yamauchi, and Masaru Kihara*
|
| Vol 65, Issue 12, 2005, pp.2925-2935, |
| COM-05-10554 |
|
|
| |
 |
|
| Note |
A Convenient Procedure for the Synthesis of Substituted 4-Methylaminocoumarins
|
Khadeejh H. A. Al-Zghoul, Kifah S. M. Salih, Mikdad T. Ayoub,* and Mohammad S. Mubarak*
|
| Vol 65, Issue 12, 2005, pp.2937-2947, |
| COM-05-10472 |
|
|
| |
 |
|
| Note |
An Efficient Synthesis of New Spiro[indolo-3(1H),2’(3’H)-oxadiazolyl] and 1-(Triazol-4-ylmethyl)isatin Derivatives
|
Rachid Bouhfid, Nicolas Joly, Mohamed Massoui, Roméo Cecchelli, Vincent Lequart, Patrick Martin,* and El Mokhtar Essassi
|
| Vol 65, Issue 12, 2005, pp.2949-2955, |
| COM-05-10519 |
|
|
| |
 |
|
| Note |
Improvement of Synthetic Pathways to Thalidomide Ester Derivatives
|
Gaël Mansard, François Estour, Hervé Galons, and Olivier Lafont*
|
| Vol 65, Issue 12, 2005, pp.2957-2964, |
| COM-05-10532 |
|
|
| |
 |
|
| Note |
Formal Synthesis of (±)-Trachelanthamidine
|
Meng-Yang Chang,* Dong-Ciao Wu, and Nein-Chen Chang
|
| Vol 65, Issue 12, 2005, pp.2965-2971, |
| COM-05-10541 |
|
|
| |
 |
|
| Note |
Concise Route to 4,5-Dioxo-4,5-dihydronaphtho[1,2-b]thiophene-2-carboxylates
|
Kazuhiro Kobayashi,* Satoshi Yamane, Kazuna Miyamoto, Osamu Morikawa, and Hisatoshi Konishi
|
| Vol 65, Issue 12, 2005, pp.2973-2977, |
| COM-05-10545 |
|
|
| |
 |
|
| Note |
An Efficient Synthetic Route to New Imidazo[1,2-a]pyridines by Cross-Coupling Reactions in Aqueous Medium
|
Caroline Castera, Maxime D. Crozet, and Patrice Vanelle*
|
| Vol 65, Issue 12, 2005, pp.2979-2989, |
| COM-05-10548 |
|
|
| |
 |
|
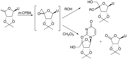
| Note |
Chemical Modification of the Sugar Moiety of Pyrimidine Nucleosides via a 4’,5’-Epoxyuridine Intermediate
|
Hideki Takasu, Hironao Sajiki,* and Kosaku Hirota*
|
| Vol 65, Issue 12, 2005, pp.2991-2999, |
| COM-05-10551 |
|
|
| |
 |
|
| Note |
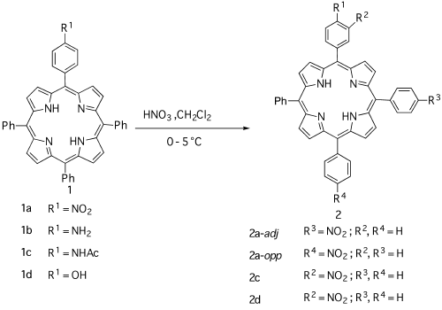
Regiospecific Aryl Nitration of meso-Tetraarylporphyrins: The Directive Effect of para-Substituent
|
Hong-Liang Zhang, Wei-Min Shi, and Jian Wu*
|
| Vol 65, Issue 12, 2005, pp.3001-3006, |
| COM-05-10555 |
|
|
| |
 |
|
| Review |
Synthesis of Glycosides Containing Quinazolin-4(3H)-one Ring System
|
Gamal A. El-Hiti* and Mohamed F. Abdel-Megeed
|
| Vol 65, Issue 12, 2005, pp.3007-3041, |
| REV-05-602 |
|
|
| |
 |
|
| 236 data found. 1 - 236 listed |
|
|
|
|