| 81 data found. 1 - 81 listed |
|
|
|
Preface
Honoring the 65th Birthday of Professor Barry M. Trost
|
Alan R. Katritzky
|
| Vol 67, Issue 1, 2006, pp.1-2, |
| 2006-67-0001 |
|
|
| |
|
|
|
Preface
|
Gilbert Stork
|
| Vol 67, Issue 1, 2006, pp.3-8, |
| 2006-67-0003 |
|
|
| |
|
|
|
Biographical Data
|
|
| Vol 67, Issue 1, 2006, pp.9-21, |
| 2006-67-0009 |
|
|
| |
|
|
|
Complete Sequential Listing - B. M. Trost Bibliography
|
|
| Vol 67, Issue 1, 2006, pp.23-74, |
| 2006-67-0023 |
|
|
| |
|
| Communication |
Direct Comparison of SN2 Mesylate Displacement versus the Mitsunobu Protocol for 2’,3’-Dideoxyspirocarbanucleoside Construction
|
Ryan E. Hartung and Leo A. Paquette*
|
| Vol 67, Issue 1, 2006, pp.75-78, |
| COM-04-S(T)2 |
|
|
| |
2GA.gif) |
|
| Communication |
Estrogen Receptor Ligands. Part 15: Synthesis of Benzothiopyran-based Selective Estrogen Receptor Alpha Modulators (SERAM)
|
Seongkon Kim,* Frank DiNinno, Elizabeth T. Birzin, Wanda Chan, Yi Tien Yang, and Milton L. Hammond
|
| Vol 67, Issue 1, 2006, pp.79-83, |
| COM-05-S(T)7 |
|
|
| |
7GA.gif) |
|
| Communication |
A Palladium Mediated Spiroketal Synthesis
|
Jeremy C. Conway, Peter Quayle,* Andrew C. Regan, and Christopher J. Urch
|
| Vol 67, Issue 1, 2006, pp.85-88, |
| COM-05-S(T)20 |
|
|
| |
20GA.gif) |
|
| Communication |
Ruthenium-catalyzed ROM-RCM of Cyclopentene-yne. Concise Synthesis of a Pyrrolizidine Derivative
|
Hideaki Wakamatsu, Yoshihiro Sato, Reiko Fujita,* and Miwako Mori*
|
| Vol 67, Issue 1, 2006, pp.89-93, |
| COM-05-S(T)21 |
|
|
| |
21GA.gif) |
|
| Communication |
Immobilized Indolylboron as a Key Intermediate for Solid-Phase Synthesis of Bisindole Alkaloid Analogs
|
Takahiro Kasahara and Yoshinori Kondo*
|
| Vol 67, Issue 1, 2006, pp.95-100, |
| COM-05-S(T)24 |
|
|
| |
24GA.gif) |
|
| Communication |
Rhodium-catalyzed Cycloisomerization of Allyl Propargyl Ethers: An Efficient Synthesis of 3,4-Disubstituted Furans
|
Hiroshi Kawai, Shuichi Oi,* and Yoshio Inoue*
|
| Vol 67, Issue 1, 2006, pp.101-105, |
| COM-05-S(T)27 |
|
|
| |
27GA.gif) |
|
| Communication |
Synthetic Study of α(2,8) Oligosialoside Using N-Troc Sialyl N-Phenyltrifluoroimidate
|
Hiroshi Tanaka, Yuji Nishiura, Masaatsu Adachi, and Takashi Takahashi*
|
| Vol 67, Issue 1, 2006, pp.107-112, |
| COM-05-S(T)30 |
|
|
| |
30GA.gif) |
|
| Communication |
The Mannich-type Reaction between N,O-Acetals and Carbon Nucleophiles under Solvent-free Conditions
|
Yoshihiro Matsumura,* Takashi Ikeda, and Osamu Onomura
|
| Vol 67, Issue 1, 2006, pp.113-117, |
| COM-05-S(T)34 |
|
|
| |
34GA.gif) |
|
| Communication |
Enantioselective Alkylation of Reissert Compounds in Phase Transfer Catalysed Reactions
|
Danuta Brózda, Krzysztof Hoffman, and Maria D. Rozwadowska*
|
| Vol 67, Issue 1, 2006, pp.119-122, |
| COM-05-S(T)35 |
|
|
| |
35GA.gif) |
|
| Communication |
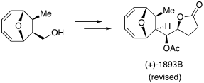
Total Synthesis of (+)-1893B Aimed at Establishing Its Stereochemistry
|
Hiroyuki Yasui, Kunihiro Hirai, Shun Yamamoto, Ken-ichi Takao, and Kin-ichi Tadano*
|
| Vol 67, Issue 1, 2006, pp.123-128, |
| COM-05-S(T)42 |
|
|
| |
42GA.gif) |
|
| Communication |
Synthesis of Optically Active Methyl 1,2,3,3a,8,8a-Hexahydropyrrolo[2,3-b]indole-2-carboxylates Having a Halogen or an Oxygen Functional Group at the 3a-Position
|
Fumio Yamada, Yoshikazu Fukui, Takako Iwaki, Sachiko Ogasawara, Masaki Okigawa, Satomi Tanaka, and Masanori Somei*
|
| Vol 67, Issue 1, 2006, pp.129-134, |
| COM-05-S(T)57 |
|
|
| |
57GA.gif) |
|
| Paper |
Synthesis of Substituted Pyrimidine Hydrazine Acids (PHA) and Their Use in Peptide Recognition
|
Stefan Miltschitzky, Veronika Michlova, Stefan Stadlbauer, and Burkhard Koenig*
|
| Vol 67, Issue 1, 2006, pp.135-160, |
| COM-05-S(T)6 |
|
|
| |
6GA.gif) |
|
| Paper |
A Diversity Oriented Synthesis of 2,10-Dioxo-10H-1,2,3,4,4a,5-hexahydropyridazino[3,2-b]quinazolines
|
Elisabeth Schuler, Nacho Juanico, Jordi Teixidó, Enrique L. Michelotti, and José I. Borrell*
|
| Vol 67, Issue 1, 2006, pp.161-173, |
| COM-05-S(T)9 |
|
|
| |
9GA.gif) |
|
| Paper |
Synthesis of Galloyl-substituted Procyanidin B4 Series, and Their DPPH Radical Scavenging Activity and DNA Polymerase Inhibitory Activity
|
Hironori Sakuda, Akiko Saito,* Yoshiyuki Mizushina, Hiromi Yoshida, Akira Tanaka, and Noriyuki Nakajima*
|
| Vol 67, Issue 1, 2006, pp.175-188, |
| COM-05-S(T)11 |
|
|
| |
11GA.gif) |
|
| Paper |
Chiral Synthesis of (+)-Febrifugine and (-)-Isofebrifugine by Means of Samarium Diiodide-promoted Carbon-Nitrogen Bond Cleavage Reaction
|
Miho Katoh, Ryuichiro Matsune, and Toshio Honda*
|
| Vol 67, Issue 1, 2006, pp.189-204, |
| COM-05-S(T)12 |
|
|
| |
12GA.gif) |
|
| Paper |
From Amino Acids to Polycyclic Heterocycles - Synthesis of Enantiopure, Functionally Diverse Isopavines and Dihydromethanodibenzoazocines
|
Stephen Hanessian,* Clément Talbot, Marc Mauduit, Parthasarathy Saravanan, and Jayapal Reddy Gone
|
| Vol 67, Issue 1, 2006, pp.205-214, |
| COM-05-S(T)13 |
|
|
| |
13GA.gif) |
|
| Paper |
Tandem Palladium-catalyzed Allene Arylation and Oxazoline Formation
|
Gregory R. Cook* and Wei Xu
|
| Vol 67, Issue 1, 2006, pp.215-232, |
| COM-05-S(T)16 |
|
|
| |
16GA.gif) |
|
| Paper |
Coupling of Fischer Carbene Complexes with Alkynylstyrene Oxides: Synthesis of Benzoxepinones in Competition with Internal Oxygen Atom Transfer
|
Lei Zhang and James W. Herndon*
|
| Vol 67, Issue 1, 2006, pp.233-246, |
| COM-05-S(T)19 |
|
|
| |
19GA.gif) |
|
| Paper |
Synthesis of 4H-3,1-Benzoxazines by the Reaction of o-(N-Acylamino)benzyl Alcohols with DAST
|
Takehiko Nishio,* Yukiko Kurokawa, Yoshiya Narasaki, and Tatsuhiro Tokunaga
|
| Vol 67, Issue 1, 2006, pp.247-254, |
| COM-05-S(T)22 |
|
|
| |
22GA.gif) |
|
| Paper |
A New Synthesis of Acenaphthobenzoporphyrin and Fluoranthobenzoporphyrin
|
Tetsuo Okujima,* Naoki Komobuchi, Hidemitsu Uno, and Noboru Ono*
|
| Vol 67, Issue 1, 2006, pp.255-267, |
| COM-05-S(T)23 |
|
|
| |
23GA.gif) |
|
| Paper |
A Lewis-Acid Catalyzed Synthesis of Substituted Oxindole Derivatives
|
Shoko Yamazaki,* Machiko Yamamoto, and Satoshi Morikawa
|
| Vol 67, Issue 1, 2006, pp.269-289, |
| COM-05-S(T)25 |
|
|
| |
25GA.gif) |
|
| Paper |
New Routes to Clavine-type Ergot Alkaloids. Part 1. First Total Synthesis of Three Natural Products: (+)-Setoclavine, (+)-Isosetoclavine, (-)-9,10-Dihydroisosetoclavine, and Structure Correction of the Latter
|
István Moldvai,* Eszter Temesvári-Major, Eszter Gács-Baitz, Mária Incze, Gábor Dörnyei, and Csaba Szántay*
|
| Vol 67, Issue 1, 2006, pp.291-298, |
| COM-05-S(T)26 |
|
|
| |
26GA.gif) |
|
| Paper |
An Efficient Synthesis of 2’-O-(β-D-Glucopyranosyl)- and 2’-O-(2-Acetamido-2-deoxy-β-D-glucopyranosyl)-L-biopterins
|
Tadashi Hanaya,* Kazuyuki Soranaka, Koichiro Harada, Hiroshi Yamaguchi, Ryo Suzuki, Yusumi Endo, Hiroshi Yamamoto, and Wolfgang Pfleiderer
|
| Vol 67, Issue 1, 2006, pp.299-310, |
| COM-05-S(T)28 |
|
|
| |
28GA.gif) |
|
| Paper |
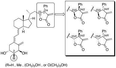
Synthesis and 2α-Modification of 24-Phenylvitamin D3 Lactones: Effects on VDR Antagonistic Activity
|
Nozomi Saito, Toshihiro Matsunaga, Hiroshi Saito, Miyuki Anzai, Kazuya Takenouchi, Daishiro Miura, Seiichi Ishizuka, Hiroaki Takayama, and Atsushi Kittaka*
|
| Vol 67, Issue 1, 2006, pp.311-336, |
| COM-05-S(T)32 |
|
|
| |
32GA.gif) |
|
| Paper |
Reactions of 2-Triphenylphosphoimino-1-azaazulenes with Aryl Isocyanates and Aryl Isothiocyanates
|
Kentaro Nagamatsu, Ai Serita, Jun-Hau Zeng, Hiroyuki Fujii, Noritaka Abe,* and Akikazu Kakehi
|
| Vol 67, Issue 1, 2006, pp.337-351, |
| COM-05-S(T)33 |
|
|
| |
33GA.gif) |
|
| Paper |
Platinum Catalyzed H-D Exchange Reaction of Various Aromatic Compounds under Hydrothermal Condition
|
Mitsuru Yamamoto, Koichiro Oshima, and Seijiro Matsubara*
|
| Vol 67, Issue 1, 2006, pp.353-359, |
| COM-05-S(T)36 |
|
|
| |
36GA.gif) |
|
| Paper |
Preparation of Nα-Acetyl-Nε-3-(methylpyridinium)lysine (MP-lysine) as a Hapten of Antibody
|
Kohsaku Matsumoto, Takuya Kumamoto, Tsutomu Ishikawa,* Erika Ishii, Hideyuki Tomitori, and Kazuei Igarashi
|
| Vol 67, Issue 1, 2006, pp.361-367, |
| COM-05-S(T)50 |
|
|
| |
50GA.gif) |
|
| Paper |
Stereoselective Synthesis of Tetrahydrofuran by Diasteroselective [3+2] Cycloaddition Reaction of Chiral Allylsilane with α-Keto Ester
|
Takahiko Akiyama,* Shinya Funaki, and Kohei Fuchibe
|
| Vol 67, Issue 1, 2006, pp.369-374, |
| COM-05-S(T)60 |
|
|
| |
60GA.gif) |
|
| Note |
Chiral Complexation of Multidentate N-Heterocyclic Podand Ligands Bearing Histidyl Moieties
|
Toshiyuki Moriuchi, Masahito Nishiyama, Kazuhiro Yoshida, and Toshikazu Hirao*
|
| Vol 67, Issue 1, 2006, pp.375-383, |
| COM-05-S(T)3 |
|
|
| |
3GA.gif) |
|
| Note |
Regioselectivity in the Biaryl Coupling Reactions of 1-[(1,3-Benzodioxol-5-yl)methyl]-7-iodo-2,3-dihydroindole Using Palladium Reagent
|
Takashi Harayama,* Akihiro Hori, Hitoshi Abe, and Yasuo Takeuchi
|
| Vol 67, Issue 1, 2006, pp.385-390, |
| COM-05-S(T)5 |
|
|
| |
5GA.gif) |
|
| Note |
Complexation of Diphenyl(tetrafluoroborato)-λ3-iodane with Pyridines
|
Takashi Suefuji, Motoo Shiro, Kentaro Yamaguchi, and Masahito Ochiai*
|
| Vol 67, Issue 1, 2006, pp.391-397, |
| COM-05-S(T)8 |
|
|
| |
8GA.gif) |
|
| Note |
Formation of 4’,5’-Didehydro-5’-deoxy-3’-O-methyluridine via Regioselective Nucleophilic Addition of Methoxide Anion to 2’,3’-Anhydro-5’-dehydro-5’-iodouridine
|
Hironao Sajiki,* Hideki Takasu, and Kosaku Hirota*
|
| Vol 67, Issue 1, 2006, pp.399-405, |
| COM-05-S(T)14 |
|
|
| |
14GA.gif) |
|
| Note |
A Concise Synthesis of (+)-Indolizidine 209D Using a C2-Symmetric 2,6-Diallylpiperidine
|
Hiroki Takahata* and Motohiro Ichinose
|
| Vol 67, Issue 1, 2006, pp.407-411, |
| COM-05-S(T)15 |
|
|
| |
15GA.gif) |
|
| Note |
1,3-Dipolar Cycloadditions of 2-tert-Butoxycarbonyl-1-pyrroline N-Oxide with Chiral Acrylates and Acrylamides
|
Federica Pisaneschi, Martina Gensini, Maria Salvati, Franca M. Cordero, and Alberto Brandi*
|
| Vol 67, Issue 1, 2006, pp.413-420, |
| COM-05-S(T)37 |
|
|
| |
37GA.gif) |
|
| Note |
Facile Synthesis of (S)-5,5-Difluoronorleucine and Its Incorporation in Biologically Active Peptides as an Methionine Mimetic
|
Satoshi Osada,* Takako Ishimaru, Hiroshi Kawasaki, and Hiroaki Kodama
|
| Vol 67, Issue 1, 2006, pp.421-431, |
| COM-05-S(T)44 |
|
|
| |
44GA.gif) |
|
| Note |
A New and Convenient Access to Enantiopure C2-Symmetric 2,5-Diethynylpyrrolidine
|
Ikki Yonemura, Noriyuki Yasuda, Toshio Kawanami, Takeshi Hanamoto, Hiroshi Furuno, and Junji Inanaga*
|
| Vol 67, Issue 1, 2006, pp.433-436, |
| COM-05-S(T)59 |
|
|
| |
59GA.gif) |
|
| Note |
Synthesis and Complexation Properties of (Tropon-2-yl)monoaza-18-crown-6 Ethers
|
Zhegang Huang, Xiaopeng Zhang, Zhiqi Cong, Bingzhu Yin,* and Kimiaki Imafuku*
|
| Vol 67, Issue 1, 2006, pp.437-442, |
| COM-05-S(T)66 |
|
|
| |
66GA.gif) |
|
| Review |
Criss-cross Cycloaddition Reactions with Hexafluoroacetone Azine. Mechanism and Some Synthetic Applications
|
Klaus Burger,* Lothar Hennig, Olaf Zeika, and Andrea Lux
|
| Vol 67, Issue 1, 2006, pp.443-460, |
| REV-05-SR(T)1 |
|
|
| |
1GA.gif) |
|
| Review |
gem-Diamine 1-N-Iminosugars, a New Family of Glycosidase Inhibitors: Synthesis and Biological Activity
|
Yoshio Nishimura
|
| Vol 67, Issue 1, 2006, pp.461-488, |
| REV-05-SR(T)3 |
|
|
| |
3GA.gif) |
|
| Communication |
Synthesis of 5-Heterocyclic Substituted Quinazolin-4-ones via 2-Aminobenzonitrile Derivatives
|
M. Jonathan Fray,* Paul Allen, Paul R. Bradley, Clare E. Challenger, Michael Closier, Tim J. Evans, Mark L. Lewis, John P. Mathias, Carly L. Nichols, Yvonne M. Po-Ba, Hayley Snow, Mark H. Stefaniak, and Hannah V. Vuong
|
| Vol 67, Issue 2, 2006, pp.489-494, |
| COM-05-S(T)17 |
|
|
| |
17GA.gif) |
|
| Communication |
Catalytic Asymmetric Michael Reaction under Phase-transfer Catalysis: Construction of Chiral Tetrasubstituted Carbon and Its Application to the Synthesis of a Chiral Pyrrolidone
|
Shigeru Arai,* Fumie Takahashi, Riichiro Tsuji, and Atsushi Nishida*
|
| Vol 67, Issue 2, 2006, pp.495-501, |
| COM-05-S(T)41 |
|
|
| |
41GA.gif) |
|
| Communication |
Tin(II) Iodide-catalyzed Selective Aziridination or 1,2-Diamination of Alkenes with Chloramine-T
|
Yoshiro Masuyama,* Masaru Ohtsuka, Masaru Harima, and Yasuhiko Kurusu
|
| Vol 67, Issue 2, 2006, pp.503-506, |
| COM-05-S(T)43 |
|
|
| |
43GA.gif) |
|
| Communication |
Group 14 Hetero- Mono- and Bicyclosilanes
|
Jelena Fischer, Walter Gaderbauer, Judith Baumgartner, and Christoph Marschner*
|
| Vol 67, Issue 2, 2006, pp.507-510, |
| COM-05-S(T)46 |
|
|
| |
46GA.gif) |
|
| Communication |
Solid-phase Pyrrolidine Synthesis via 1,3-Dipolar Cycloaddition of Azomethine Ylides Generated by the Decarboxylative Route
|
Batia Ben-Aroya Bar-Nir and Moshe Portnoy*
|
| Vol 67, Issue 2, 2006, pp.511-518, |
| COM-05-S(T)47 |
|
|
| |
47GA.gif) |
|
| Communication |
Synthesis of Bicyclic Cyclopropylamines from Amino Acid Derivatives
|
Catherine A. Faler, Bin Cao, and Madeleine M. Joullié*
|
| Vol 67, Issue 2, 2006, pp.519-522, |
| COM-05-S(T)52 |
|
|
| |
52GA.gif) |
|
| Communication |
Synthesis of Bicyclic Compounds Containing a 2-Pyridone Structure by Addition Reactions of Malonic Esters to Alkynylpyridines, Pyrimidine, and Thiazoles
|
Iwao Hachiya, Masaki Atarashi, and Makoto Shimizu*
|
| Vol 67, Issue 2, 2006, pp.523-528, |
| COM-05-S(T)54 |
|
|
| |
54GA.gif) |
|
| Communication |
Synthesis of Chiral Tropopodands Having L-Amino Acid Moieties and Ability of Their Metal Complexes as an Asymmetric Catalyst
|
Ohki Sato,* Yusuke Koshiba, Satoshi Sagara, and Katsuyoshi Okada
|
| Vol 67, Issue 2, 2006, pp.529-533, |
| COM-05-S(T)58 |
|
|
| |
58GA.gif) |
|
| Communication |
Pd-catalyzed Allylic Alkylation of Pyrroles with Allyl Alcohols Promoted by Triethylborane
|
Masanari Kimura, Miki Fukasaka, and Yoshinao Tamaru*
|
| Vol 67, Issue 2, 2006, pp.535-542, |
| COM-05-S(T)63 |
|
|
| |
63GA.gif) |
|
| Communication |
Pyridine Metallations in the Synthesis of Triazole Based NK-1 Antagonists
|
K. Jeff Thrasher, Erik J. Hembre, Kevin M. Gardinier, Kenneth A. Savin, Jian Eric Hong, and Louis N. Jungheim*
|
| Vol 67, Issue 2, 2006, pp.543-547, |
| COM-05-S(T)64 |
|
|
| |
64GA.gif) |
|
| Communication |
Synthesis of 3-Oxoazacyclohept-4-enes by Ring-closing Metathesis. Application to the Synthesis of an Inhibitor of Cathepsin K
|
Catherine Taillier, Thomas Hameury, Véronique Bellosta,* and Janine Cossy*
|
| Vol 67, Issue 2, 2006, pp.549-554, |
| COM-05-S(T)65 |
|
|
| |
65GA.gif) |
|
| Communication |
An Enantiocontrolled Approach for the Synthesis of Chiral 3,5-Disubstituted 2(1H)-pyridinones
|
David R. Williams,* David C. Kammler, and William R. F. Goundry
|
| Vol 67, Issue 2, 2006, pp.555-559, |
| COM-05-S(T)70 |
|
|
| |
70GA.gif) |
|
| Communication |
Novel Series of Highly Potent Non-peptide Growth Hormone Secretagogues with Improved Bioavailability
|
Hirohide Ishige,* Nobuo Ishiyama, Mitsuo Mimura, Mitsuo Hayashida, Tadashi Okuno, Kiyoharu Ukai, Takeshi Kiyofuji, Yasuo Yoneda, Shinji Tauchi, Akinori Aoyama, and Kiyoshi Inoguchi
|
| Vol 67, Issue 2, 2006, pp.561-566, |
| COM-05-S(T)73 |
|
|
| |
73GA.gif) |
|
| Communication |
Extending the Concept of Mixtures of Chiral Monodentate P-Ligands in Asymmetric Rh-Catalyzed Olefin-hydrogenation: Use of Oxazaphospholidines
|
Manfred T. Reetz* and Marek Surowiec
|
| Vol 67, Issue 2, 2006, pp.567-574, |
| COM-05-S(T)74 |
|
|
| |
74GA.gif) |
|
| Communication |
Self-assembling Cyclic α,γ-Tetrapeptides
|
Manuel Amorín, Roberto J. Brea, Luis Castedo, and Juan R. Granja*
|
| Vol 67, Issue 2, 2006, pp.575-583, |
| COM-05-S(T)75 |
|
|
| |
75GA.gif) |
|
| Communication |
Synthesis of Dihydroquinolinones Angularly-fused to Tetrahydrobenzazepinone Rings
|
Larry E. Overman* and Emily A. Peterson
|
| Vol 67, Issue 2, 2006, pp.585-588, |
| COM-05-S(T)76 |
|
|
| |
76GA.gif) |
|
| Communication |
Stereoselective Synthesis of γ- and δ-Sultams by Intramolecular Diels-Alder Reaction of Vinylsulfonamides Possessing an Acyclic or Carbocyclic 1,3-Diene Moiety
|
Victor O. Rogachev, Victor D. Filimonov, Roland Fröhlich, Olga Kataeva, and Peter Metz*
|
| Vol 67, Issue 2, 2006, pp.589-595, |
| COM-05-S(T)80 |
|
|
| |
80GA.gif) |
|
| Paper |
Improved Syntheses of the FR900482 and Mitomycin Benzazocine Ring Core via Mitsunobu Cyclization
|
Pascal Ducept, Daniel A. Gubler, and Robert M. Williams*
|
| Vol 67, Issue 2, 2006, pp.597-619, |
| COM-05-S(T)18 |
|
|
| |
18GA.gif) |
|
| Paper |
Oxidative Cyclizations and the Synthesis of Lactones: A Streamlined Synthesis of epi-Crobarbatic Acid
|
John D. Brandt and Kevin D. Moeller*
|
| Vol 67, Issue 2, 2006, pp.621-628, |
| COM-05-S(T)29 |
|
|
| |
29GA.gif) |
|
| Paper |
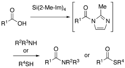
A Convenient Method for the Synthesis of Carboxamides and Thioesters by Using Tetrakis(2-methylimidazol-1-yl)silane
|
Takashi Tozawa, Yoshinobu Yamane, and Teruaki Mukaiyama*
|
| Vol 67, Issue 2, 2006, pp.629-641, |
| COM-05-S(T)31 |
|
|
| |
31GA.gif) |
|
| Paper |
Synthesis of Highly Substituted Indole Alkaloid Species via [4+1] Cyclization of Nucleophilic Carbenes and Indole Isocyanates
|
James H. Rigby* and Patrick J. Burke
|
| Vol 67, Issue 2, 2006, pp.643-653, |
| COM-05-S(T)38 |
|
|
| |
38GA.gif) |
|
| Paper |
Synthesis and Properties of Ethylenethiotetraselenafulvalene (ET-TSF) and Its Conductive Radical Cation Salts
|
Kazuo Takimiya,* Mie Kodani, Satoshi Murakami, Tetsuo Otsubo, and Yoshio Aso
|
| Vol 67, Issue 2, 2006, pp.655-663, |
| COM-05-S(T)48 |
|
|
| |
48GA.gif) |
|
| Paper |
Novel 9,10-Bis(1,3-dithiol-2-ylidene)-9,10-dihydroanthracene Derivatives Bridged by a Crown Ether Unit at the 1,8-Positions: A New Type of Redox-switchable Hosts Undergoing Reversible Structural Changes
|
Akira Ohta,* Taeko Numae, Yoshiro Yamashita, and Kunihide Fujimori*
|
| Vol 67, Issue 2, 2006, pp.665-678, |
| COM-05-S(T)55 |
|
|
| |
55GA.gif) |
|
| Paper |
The Effect of Substituents on the Pyridine Ring in the Diastereoselective Cyclopropanation Reaction of Pyridinium Ylides Bearing an 8-Phenylmenthyl Ester Group
|
Satoshi Kojima,* Kouji Fujitomo, Yoshiaki Itoh, Kyoko Hiroike, Masaaki Murakami, and Katsuo Ohkata
|
| Vol 67, Issue 2, 2006, pp.679-694, |
| COM-05-S(T)56 |
|
|
| |
56GA.gif) |
|
| Paper |
Construction of Optically Active Spiroketal by Direct Aldol Reaction
|
Hisanaka Ito,* Chie Kawabe, and Kazuo Iguchi*
|
| Vol 67, Issue 2, 2006, pp.695-704, |
| COM-05-S(T)61 |
|
|
| |
61GA.gif) |
|
| Paper |
A Versatile Stereoselective Approach to Paraconic Acids
|
Marta Amador, Xavier Ariza,* and Jordi Garcia*
|
| Vol 67, Issue 2, 2006, pp.705-720, |
| COM-05-S(T)67 |
|
|
| |
67GA.gif) |
|
| Paper |
A Diastereoselective Silver(I) Promoted gem-Dibromocyclopropane Ring Opening Reaction via an Anchimeric Assisted Transannular Benzoate Migration
|
Matt S. Mortensen, Aaron C. Schmitt, Catherine M. Smith, Eric A. Voight, and George A. O’Doherty*
|
| Vol 67, Issue 2, 2006, pp.721-730, |
| COM-05-S(T)69 |
|
|
| |
69GA.gif) |
|
| Paper |
Synthesis of Dioxabicyclo[3.2.1]octane Core of the Zaragozic Acids
|
Masayoshi Tsubuki,* Hiroyuki Okita, and Toshio Honda*
|
| Vol 67, Issue 2, 2006, pp.731-748, |
| COM-05-S(T)71 |
|
|
| |
71GA.gif) |
|
| Paper |
Synthesis of 5-Selenoxo-1,2,4-triazole-1-carboxylates from Isoselenocyanates and Azodicarboxylates
|
Francesco Favero, Geoffroy L. Sommen, Anthony Linden, and Heinz Heimgartner*
|
| Vol 67, Issue 2, 2006, pp.749-762, |
| COM-05-S(T)77 |
|
|
| |
77GA.gif) |
|
| Note |
Palladium-catalyzed Arylation of Diisopropyl Malonate Applied to the Efficient Synthesis of the Selective MMP Inhibitor 5-(4-Phenoxyphenyl)-5-[4-(2-pyrimidinyl)-1-piperazinyl]barbituric Acid
|
Stanley Hutchings, Wen Liu, and Roumen Radinov*
|
| Vol 67, Issue 2, 2006, pp.763-768, |
| COM-05-S(T)40 |
|
|
| |
40GA.gif) |
|
| Note |
Facile Preparation of Substituted Benzimidazole-2-carboxylates
|
Yongbao Zhu, Krystyna A. Skupinska, and Ernest J. McEachern*
|
| Vol 67, Issue 2, 2006, pp.769-775, |
| COM-05-S(T)45 |
|
|
| |
45GA.gif) |
|
| Note |
Regioselective Synthesis of 4-Alkylpyridines from Pyridine and Aldehydes via Dipole Reversal Process of 1,4-Dihydropyridine Phosphonate
|
Phil Ho Lee,* Kooyeon Lee, Jun Hwan Shim, Seong Guk Lee, and Sundae Kim
|
| Vol 67, Issue 2, 2006, pp.777-784, |
| COM-05-S(T)49 |
|
|
| |
49GA.gif) |
|
| Note |
Synthesis and Spectral Properties of Azaterrylene Dicarboximide Derivative
|
Yukinori Nagao, Yuko Ogihara, Masafumi Adachi,* and Kozo Kozawa
|
| Vol 67, Issue 2, 2006, pp.785-790, |
| COM-05-S(T)62 |
|
|
| |
62GA.gif) |
|
| Note |
Metachromins J and K, New Sesquiterpenoids from Marine Sponge Spongia Species
|
Yohei Takahashi, Masashi Tsuda, Jane Fromont, and Jun’ichi Kobayashi*
|
| Vol 67, Issue 2, 2006, pp.791-796, |
| COM-05-S(T)68 |
|
|
| |
68GA.gif) |
|
| Note |
Pyridine-derived Heterocycles as Potential Photoacylating Reagents
|
Céline Helgen and Christian G. Bochet*
|
| Vol 67, Issue 2, 2006, pp.797-805, |
| COM-05-S(T)72 |
|
|
| |
72GA.gif) |
|
| Note |
Novel Methods of Synthesizing Naphtho[1,2-c]furan-1,3-dione and Benzo[e]isoindole-1,3-dione
|
Masahiro Mizuno* and Mitsuhisa Yamano
|
| Vol 67, Issue 2, 2006, pp.807-814, |
| COM-05-S(T)78 |
|
|
| |
78GA.gif) |
|
| Note |
Cycloaddition Reactions of 1-Azadienes Derived from Hydrazones with Electron-deficient Dienophiles
|
Francisco Palacios,* Domitila Aparicio, Yago Lópes, and Jesús M. de los Santos
|
| Vol 67, Issue 2, 2006, pp.815-822, |
| COM-05-S(T)79 |
|
|
| |
79GA.gif) |
|
| Review |
Phosphate Mimic of Nucleotides, Conformational Influences on the Ribofuranose Conformations
|
Arnaud Gautier
|
| Vol 67, Issue 2, 2006, pp.823-837, |
| REV-05-SR(T)2 |
|
|
| |
2GA.gif) |
|
| 81 data found. 1 - 81 listed |
|
|
|
|