| 219 data found. 1 - 219 listed |
|
|
| Communication |
Palladium-catalyzed Cross-Coupling Reaction of 4-Methylthiazole and 2-Trimethylsilylthiazoles with Biaryl Triflates
|
Osamu Hara, Taiju Nakamura, Fumihiko Sato, Kazuishi Makino, and Yasumasa Hamada*
|
| Vol 68, Issue 1, 2006, pp.1-4, |
| COM-05-10570 |
|
|
| |
 |
|
| Communication |
Effects of Small Structural Changing on the Kinetic and Thermodynamic Stabilities of Pseudorotaxanes
|
Yuji Tokunaga,* Tatsuhiro Goda, Nanae Wakamatsu, Ryuji Nakata, and Youji Shimomura
|
| Vol 68, Issue 1, 2006, pp.5-10, |
| COM-05-10578 |
|
|
| |
 |
|
| Paper |
Synthesis of Some Heterocycle Containing Urea Derivatives and Their Anti-viral Activity
|
Manjusha Verma,* Krishna N. Singh,* and Erik D. Clercq
|
| Vol 68, Issue 1, 2006, pp.11-22, |
| COM-05-10488 |
|
|
| |
 |
|
| Paper |
Synthesis of Indolines and Quinoline via Cyclization of N-Arylsulfonyl-2-allylanilines Catalyzed by Brønsted Acid
|
Yan Yin and Gang Zhao*
|
| Vol 68, Issue 1, 2006, pp.23-31, |
| COM-05-10547 |
|
|
| |
 |
|
| Paper |
Reactions of α-Diazocamphor with Aromatic Thioketones
|
Grzegorz Mloston,* Malgorzata Celeda, Anthony Linden, and Heinz Heimgartner*
|
| Vol 68, Issue 1, 2006, pp.33-45, |
| COM-05-10560 |
|
|
| |
 |
|
| Paper |
Concise Highly Enantioselective Cascade Synthesis of Azacyclooctene Alkaloids with a Quaternary Stereocenter
|
Daniele Muroni, Antonio Saba,* and Nicola Culeddu
|
| Vol 68, Issue 1, 2006, pp.47-58, |
| COM-05-10567 |
|
|
| |
 |
|
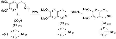
| Paper |
Derivatives of 1,2,3,4-Tetrahydroisoquinoline-3-carboxylic Acid
|
Petr Jansa, Vladimír Machácek,* and Valerio Bertolasi
|
| Vol 68, Issue 1, 2006, pp.59-69, |
| COM-05-10571 |
|
|
| |
 |
|
| Paper |
Tandem Radical Cyclization Reactions, Initiated at Nitrogen, as an Approach to the CDE-Tricyclic Cores of Certain Post-secodine Alkaloids
|
Martin G. Banwell* and David W. Lupton
|
| Vol 68, Issue 1, 2006, pp.71-92, |
| COM-05-10575 |
|
|
| |
 |
|
| Paper |
Determination of Absolute Structure of (+)-Davidiol A
|
Yue-Hua He, Yoshiaki Takaya, Kenji Terashima, and Masatake Niwa*
|
| Vol 68, Issue 1, 2006, pp.93-100, |
| COM-05-10577 |
|
|
| |
 |
|
| Paper |
Synthesis of Naphthothiazolium Salts from BINOL
|
Osamu Hara, Taiju Nakamura, Kazuishi Makino, and Yasumasa Hamada*
|
| Vol 68, Issue 1, 2006, pp.101-110, |
| COM-05-10579 |
|
|
| |
 |
|
| Paper |
Shimalactones, Neuritogenic Polyketides from a Marine-derived Fungus Emericella variecolor GF10
|
Hong Wei, Takuya Itoh, Naoyuki Kotoku, and Motomasa Kobayashi*
|
| Vol 68, Issue 1, 2006, pp.111-123, |
| COM-05-10589 |
|
|
| |
 |
|
| Paper |
Synthesis of Dibenzo-fused 10-Membered Cyclic Ethers from Isovanillin via Ring-closing Metathesis
|
Eng-Chi Wang,* Yu-Li Lin, Hsing-Ming Chen, Sie-Rong Li, Chizuko Kabuto, and Yoshio Takeuchi
|
| Vol 68, Issue 1, 2006, pp.125-136, |
| COM-05-10592 |
|
|
| |
 |
|
| Note |
Convenient Synthesis and Physicochemical Profile of New Derivatives of Pyrimidine
|
Joanna Cabaj, Jacek Doskocz, Jadwiga Soloducho,* and Antoni Chyla
|
| Vol 68, Issue 1, 2006, pp.137-149, |
| COM-05-10525 |
|
|
| |
 |
|
| Note |
Synthesis and Properties of Luotonin A Homologues and Their Aza-analogues
|
Eung Seok Lee, Jae Gyu Park, Seung Ill Kim, and Yurngdong Jahng*
|
| Vol 68, Issue 1, 2006, pp.151-158, |
| COM-05-10552 |
|
|
| |
 |
|
| Note |
New Abietane Diterpene Alkaloids Possessing an Oxazole Ring from Salvia trijuga
|
Fu-Wen Lin, Amooru G. Damu, and Tian-Shung Wu*
|
| Vol 68, Issue 1, 2006, pp.159-165, |
| COM-05-10565 |
|
|
| |
 |
|
| Note |
A New Efficient Synthesis of 5-Aryloxazoles from Arylidene Diacetates and Application to the Preparation of BMS-337197, a Novel IMPDH Inhibitor
|
Bang-Chi Chen,* Mark S. Bednarz, Huiping Zhang, Rulin Zhao, T. G. Murali Dhar, Balu Balasubramanian, and Joel C. Barrish
|
| Vol 68, Issue 1, 2006, pp.167-173, |
| COM-05-10569 |
|
|
| |
 |
|
| Note |
Microwave-assisted Synthesis of N-Arylglycines: Improvement of Sydnone Synthesis
|
Davood Azarifar,* Hassan Ghasemnejad Bosra, Mohammad-Ali Zolfigol, and Mahmood Tajbaksh
|
| Vol 68, Issue 1, 2006, pp.175-181, |
| COM-05-10574 |
|
|
| |
 |
|
| Note |
A Stereocontrolled Formal Asymmetric Synthesis of Pseudodistomin C
|
Ken-ichi Tanaka,* Takuya Maesoba, and Hiroyuki Sawanishi
|
| Vol 68, Issue 1, 2006, pp.183-192, |
| COM-05-10586 |
|
|
| |
 |
|
| Communication |
Synthesis of (S)-Plakolide A and Revision of the Absolute Stereochemistry of the Natural (-)-Plakolide A
|
Masaru Kanayama, Keiji Nishiwaki, and Keizo Matsuo*
|
| Vol 68, Issue 2, 2006, pp.233-236, |
| COM-05-10632 |
|
|
| |
 |
|
| Paper |
Synthesis of Some Benzo-14-crown-4 Ethers Substituted to 7,8-Dihydroxy-3-phenylcoumarin Derivatives
|
Ümit Salan and Mustafa Bulut*
|
| Vol 68, Issue 2, 2006, pp.237-245, |
| COM-05-10581 |
|
|
| |
 |
|
| Paper |
Isolation, Structure Elucidation, and Syntheses of Isoneocryptotanshinone II and Tanshinlactone A from Salvia miltiorrhiza
|
Chang-Ming Sun, Tsung-Mei Chin, Yun-Lian Lin, Chien-Jui Chen, Wei-Chou Chen, Tian-Shung Wu, and Ming-Jaw Don
|
| Vol 68, Issue 2, 2006, pp.247-255, |
| COM-05-10591 |
|
|
| |
 |
|
| Paper |
Synthesis of Vinca Alkaloids and Related Compound 103. Recognition of an Unexpected Reaction and Its Application in Building the Aspidospermane Skeleton. Simple Synthesis of 15β-Hydroxyvincadifformine
|
György Kalaus,* Flórián Tóth, István Greiner, Mária Kajtár-Peredy, Ágnes Gömöry, László Hazai, and Csaba Szántay*
|
| Vol 68, Issue 2, 2006, pp.257-270, |
| COM-05-10603 |
|
|
| |
 |
|
| Paper |
Formal Synthesis of (±)-Hop ether, (±)-Isoboonein and (±)-Iridomyrmecin
|
Meng-Yang Chang,* Chun-Yu Lin, Bor-Fng Chen, and Nein-Chen Chang*
|
| Vol 68, Issue 2, 2006, pp.271-282, |
| COM-05-10612 |
|
|
| |
 |
|
| Paper |
Conformations of 2,2’-Bipyrrole π-Systems Having an Electron-donating Site at One Terminal and Electron-accepting Site at the Other Terminal in the Ground and Excited States
|
Shoji Matsumoto, Takamitsu Kobayashi, and Katsuyuki Ogura*
|
| Vol 68, Issue 2, 2006, pp.283-294, |
| COM-05-10624 |
|
|
| |
 |
|
| Paper |
A Facile Synthesis of Substituted 1,8-Naphthyridines Based on the Aza-Wittig/Electrocyclic Ring Closure Strategy
|
Carmen Veiga, José Ma Quintela,* Carlos Peinador,* Marcos Chas, and Antonio Fernández
|
| Vol 68, Issue 2, 2006, pp.295-306, |
| COM-05-10629 |
|
|
| |
 |
|
| Paper |
Designing Fluorous Domains. Synthesis of a Series of Pyridinium Salts Bearing a Perfluoroalkylated Azole Moiety
|
Ivana Pibiri, Andrea Pace, Silvestre Buscemi, Nicolò Vivona,* and Luciana Malpezzi
|
| Vol 68, Issue 2, 2006, pp.307-321, |
| COM-05-10633 |
|
|
| |
 |
|
| Paper |
Chemoenzymatic Synthesis of Naturally Occurring Geranyl 6-O-Glycosyl-β-D-glucopyranosides
|
Eiji Kawahara, Mikio Fujii, Yoshiteru Ida, and Hiroyuki Akita*
|
| Vol 68, Issue 2, 2006, pp.323-330, |
| COM-05-10640 |
|
|
| |
 |
|
| Note |
A New Catalytic Application of a Keggin Acid in the Synthesis of Symmetrical Bis(indolyl)alkanes
|
Manas Chakrabarty,* Ajanta Mukherji, Sulakshana Karmakar, Shiho Arima, and Yoshihiro Harigaya
|
| Vol 68, Issue 2, 2006, pp.331-338, |
| COM-05-10587 |
|
|
| |
 |
|
| Note |
Two Isoquinolones from the Roots of Phellodendron amurense var. wilsonii
|
Yu-Lung Chiang, Chung-Ren Su, Ping-Chung Kuo, Amooru G. Damu, and Tian-Shung Wu*
|
| Vol 68, Issue 2, 2006, pp.339-345, |
| COM-05-10598 |
|
|
| |
 |
|
| Note |
Synthesis and Biological Evaluation of Benzothiazole Derivatives of Pyrimidines, Acrylonitriles, and Coumarins
|
Amal M. Youssef, Hany M. Mohamed, Caitlin Czezowski, Athar Ata, and Alaa S. Abd-El-Aziz*
|
| Vol 68, Issue 2, 2006, pp.347-355, |
| COM-05-10609 |
|
|
| |
 |
|
| Note |
A Facile Synthetic Route to Highly Functionalized 2,4-Pyrrolidinediones: A New Base-catalyzed Cyclization
|
Yu-Zi Jin, Bing Zhu Yin,* and Youn-Sik Lee*
|
| Vol 68, Issue 2, 2006, pp.357-368, |
| COM-05-10618 |
|
|
| |
 |
|
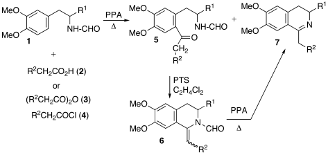
| Note |
One-Pot Synthesis of 1-(2-, 3- or 4-Aminophenyl)- and 1-(4-Aminobenzyl)-3,4-dihydroisoqunolines
|
Iliyan Ivanov,* Stoyanka Nikolova, and Stela Statkova-Abeghe
|
| Vol 68, Issue 2, 2006, pp.369-374, |
| COM-05-10625 |
|
|
| |
 |
|
| Note |
Microwave-assisted Gewald Synthesis of 2-Aminothiophenes Using Functional Ionic Liquid as Soluble Support
|
Yi Hu,* Ping Wei, He Huang, Shi-Qing Han, and Ping-Kai Ouyang*
|
| Vol 68, Issue 2, 2006, pp.375-380, |
| COM-05-10628 |
|
|
| |
 |
|
| Note |
Acylated Cyanidin 3,7,3’-Trigllucosides with p-Hydroxybenzoic Acid from the Flowers of Dendrobium
|
Fumi Tatsuzawa,* Norio Saito, Tomohisa Yukawa, Koichi Shinoda, Atsushi Shigihara, and Toshio Honda
|
| Vol 68, Issue 2, 2006, pp.381-386, |
| COM-05-10637 |
|
|
| |
 |
|
| Note |
A Synthesis of N-Formylenamides of Isoquinoline
|
Iliyan Ivanov,* Stoyanka Nikolova, Stela Statkova-Abeghe, and Plamen Angelov
|
| Vol 68, Issue 2, 2006, pp.387-393, |
| COM-05-10645 |
|
|
| |
 |
|
| Note |
Certain Cinnamonitriles React with 2-Methoxyfuran to Produce a New Phenylcyclopane Product
|
Kuniaki Itoh,* Shin Iwata, and Shigehisa Kishimoto
|
| Vol 68, Issue 2, 2006, pp.395-400, |
| COM-05-10656 |
|
|
| |
 |
|
| Communication |
Novel Method for the Synthesis of β-Lactams by the Reaction of α-Bromocarboxylic Acids with Imines Mediated by Triphenylphosphine
|
Satoshi Kikuchi and Yukihiko Hashimoto*
|
| Vol 68, Issue 3, 2006, pp.453-457, |
| COM-05-10661 |
|
|
| |
 |
|
| Communication |
A Novel and Efficient Darzens Reaction Catalyzed by Magnesium Bromide
|
Shigeki Sano, Motoyuki Miyamoto, Tomoko Mitani, and Yoshimitsu Nagao*
|
| Vol 68, Issue 3, 2006, pp.459-463, |
| COM-06-10689 |
|
|
| |
 |
|
| Paper |
Synthesis and X-Ray Crystal Structure Determinations of Pyrrolidine-2,4-diones, 2-Iminopyrrolidin-5-ones and 1,3-Oxazine-2,4-diones Derived from Acetoacetanilides
|
Thomas Duff, John P. James,* and Helge Müller-Bunz
|
| Vol 68, Issue 3, 2006, pp.465-474, |
| COM-05-10568 |
|
|
| |
 |
|
| Paper |
Copper Catalyzed Cyclopropanation of 1,2,3,4-Tetrahydropyridin-2-ones with Trimethylsilyldiazomethane: A Facile and Selective Synthesis of 2-Aza-3-oxobicyclo[4.1.0]heptanes
|
Vishal B. Sharma, Suman L. Jain, and Bir Sain*
|
| Vol 68, Issue 3, 2006, pp.475-481, |
| COM-05-10619 |
|
|
| |
 |
|
| Paper |
Asymmetric Synthesis of Flindersiachromanone Using Lipase-catalyzed Reaction
|
Masashi Kawasaki,* Hikaru Yoshikai, Hiroko Kakuda, Naoki Toyooka, Akira Tanaka, Michimasa Goto, and Tadashi Kometani
|
| Vol 68, Issue 3, 2006, pp.483-493, |
| COM-05-10652 |
|
|
| |
 |
|
| Paper |
1-Alkyl-4-(3-pyridinylamino)quinolinium-3-thiolates and Their Transformation into New Diazaphenothiazine Derivatives
|
Andrzej Zieba* and Kinga Suwinska
|
| Vol 68, Issue 3, 2006, pp.495-503, |
| COM-05-10654 |
|
|
| |
 |
|
| Paper |
1-Allylation of 2-Benzotelluropyrylium Salts and 2-Benzoselenopyrylium Salts by Means of Allyltin Reagents
|
Kazuo Ohyanagi and Haruki Sashida*
|
| Vol 68, Issue 3, 2006, pp.505-513, |
| COM-05-10659 |
|
|
| |
 |
|
| Paper |
Synthesis of Cribrostatin 6 and Its Related Compounds
|
Shinsuke Nakahara,* Akinori Kubo, Yuzuru Mikami,* and Junji Ito
|
| Vol 68, Issue 3, 2006, pp.515-520, |
| COM-06-10674 |
|
|
| |
 |
|
| Note |
Synthesis of 2’-O-Methyl-5-alkynyl and alkenyl Substituted Uridine Derivatives to Screen for Inhibitors of HCV
|
Yili Ding,* Jean-Luc Girardet, Zhi Hong, Stephanie Z. Shaw, and Nanhua Yao
|
| Vol 68, Issue 3, 2006, pp.521-530, |
| COM-05-10639 |
|
|
| |
 |
|
| Note |
7-(Imidazolidin-1-ylmethyl)quinolin-8-ol: An Unexpected Product from a Mannich-Type Reaction in Basic Medium
|
Augusto Rivera,* Jaime Ríos-Motta, and Miguel Angel Navarro
|
| Vol 68, Issue 3, 2006, pp.531-537, |
| COM-05-10642 |
|
|
| |
 |
|
| Note |
Unexpected 7-Methylation of Oxindoles
|
Balázs Volk,* Rita Kapiller-Dezsöfi, and Gyula Simig
|
| Vol 68, Issue 3, 2006, pp.539-547, |
| COM-05-10651 |
|
|
| |
 |
|
| Note |
High-yielding Microwave Assisted Synthesis of Quinoline and Dihydroquinoline Derivatives under Solvent-free Conditions
|
D. Subhas Bose* and Racherla Kishore Kumar
|
| Vol 68, Issue 3, 2006, pp.549-559, |
| COM-06-10668 |
|
|
| |
 |
|
| Review |
Pyrimidine Chemistry in Crop Protection
|
Clemens Lamberth
|
| Vol 68, Issue 3, 2006, pp.561-603, |
| REV-05-604 |
|
|
| |
 |
|
| Communication |
Synthesis and Luminescent Properties of Bis(fluoren-9-ylidenemethyl)aromatics: Green and Red Materials in Organic Electroluminescent Devices
|
Katsuhiko Ono,* Takao Hiei, and Katsuhiro Saito
|
| Vol 68, Issue 4, 2006, pp.667-672, |
| COM-06-10680 |
|
|
| |
 |
|
| Communication |
The Brφnsted Acid-catalyzed O-Glycosidation of 1-C-Alkyl-D-glucopyranose Derivatives
|
Takashi Yamanoi,* Sho Matsuda, Ippo Yamazaki, Ryo Inoue, Keita Hamasaki, and Mikio Watanabe
|
| Vol 68, Issue 4, 2006, pp.673-677, |
| COM-06-10684 |
|
|
| |
 |
|
| Paper |
Synthesis of Chiral Thiazolo[3,4-a]pyrazine-5,8-diones
|
Teresa M. V. D. Pinho e Melo,* Susana M. M. Lopes, António M. d’A. Rocha Gonsalves, José A. Paixão, Ana Matos Beja, and Manuela Ramos Silva
|
| Vol 68, Issue 4, 2006, pp.679-686, |
| COM-05-10662 |
|
|
| |
 |
|
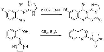
| Paper |
Synthesis, Structure and Transformations of 2-Iminoimidazolidines into Novel Fused Heterocyclic Ring Systems
|
Anita Kornicka,* Franciszek Saczewski, and Maria Gdaniec
|
| Vol 68, Issue 4, 2006, pp.687-699, |
| COM-06-10666 |
|
|
| |
 |
|
| Paper |
1,3-Dibromo-5,5-dimethylhydantoin as a New Imidazolidine Dehydrogenating Agent: Synthesis of 4,5-Dihydro-1H-imidazolium Salts
|
María C. Caterina, María A. Figueroa, Isabel A. Perillo, and Alejandra Salerno*
|
| Vol 68, Issue 4, 2006, pp.701-712, |
| COM-06-10667 |
|
|
| |
 |
|
| Paper |
New Synthesis of Naratriptan
|
László Poszávácz,* Gyula Simig, József Fetter, and Ferenc Bertha
|
| Vol 68, Issue 4, 2006, pp.713-719, |
| COM-06-10670 |
|
|
| |
 |
|
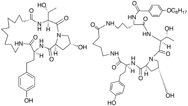
| Paper |
Synthesis of Peptidomimetic Analogues of Echinocandins
|
Chao-Mei Ma, Sunao Takeda, Satoshi Hibino, and Mohsen Daneshtalab*
|
| Vol 68, Issue 4, 2006, pp.721-732, |
| COM-06-10675 |
|
|
| |
 |
|
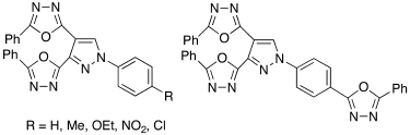
| Paper |
New Efficient Blue-greenish Electroluminescent Materials of 1,3,4-Oxadiazole-based Pyrazole Derivatives
|
En-Ming Chang, Chi-Jen Lin, Fung Fuh Wong,* and Mou-Yung Yeh*
|
| Vol 68, Issue 4, 2006, pp.733-748, |
| COM-06-10699 |
|
|
| |
 |
|
| Note |
An Unusual Lewis Acid Promoted Isomerization of trans-3-Halo-3-phenylthio-β-lactams
|
Shamsher S. Bari,* Paloth Venugopalan, Renu Arora, Garima Modi, and Sachin Madan
|
| Vol 68, Issue 4, 2006, pp.749-762, |
| COM-04-10299 |
|
|
| |
 |
|
| Note |
Synthesis of Novel Symmetric Cyclic Indole-tetramers
|
Hidetaka Hiyoshi,* Takaaki Sonoda, and Shuntaro Mataka
|
| Vol 68, Issue 4, 2006, pp.763-769, |
| COM-05-S(T)53 |
|
|
| |
53GA.gif) |
|
| Note |
A Total Synthesis of (±)-Hop Ether
|
Ching-Han Lin, Yi-Lin Su, and Huo-Mu Tai*
|
| Vol 68, Issue 4, 2006, pp.771-777, |
| COM-05-10646 |
|
|
| |
 |
|
| Note |
New Derivatives of 3-[(4-Phenyl-5-oxo-1,2,4-triazolin-1-yl)methyl]-4-substituted 1,2,4-Triazolin-5-one
|
Monika Wujec, Monika Pitucha, and Maria Dobosz*
|
| Vol 68, Issue 4, 2006, pp.779-785, |
| COM-05-10649 |
|
|
| |
 |
|
| Note |
Synthesis of 3-Cyanoflavones and Their Biological Evaluation
|
Frederic Lassagne, Isabelle Bombarda, Michel Dherbomez, Sourisak Sinbandhit, and Emile M. Gaydou*
|
| Vol 68, Issue 4, 2006, pp.787-799, |
| COM-06-10665 |
|
|
| |
 |
|
| Note |
Synthesis of 1H-Pyrazolo[4’,3’:5,6]pyrimido[2,1-a]isoindol-4(10H)-ones. Derivatives of a New Ring System
|
Abolghasem Davoodnia, Mehdi Bakavoli,* Ali Vahedinia, Mohammad Rahimizadeh, and Mina Roshani
|
| Vol 68, Issue 4, 2006, pp.801-806, |
| COM-06-10669 |
|
|
| |
 |
|
| Note |
Synthesis of Some 1,3,5-Triazine Derivatives
|
Davood Azarifar* and Ali Forghaniha
|
| Vol 68, Issue 4, 2006, pp.807-810, |
| COM-06-10671 |
|
|
| |
 |
|
| Note |
Organopalladium Complexes 5-Amino-3H-1,3,4-thiadiazoline-2-thione as Metalloreceptor
|
Nam Sook Cho,* Mi Sun Park, Young Hoon Kim, Young-Ae Yu, Hyun Jung Kwon, and Yeong-Joon Kim
|
| Vol 68, Issue 4, 2006, pp.811-819, |
| COM-06-10672 |
|
|
| |
 |
|
| Note |
Unexpected Reaction of 2-Hydrazinoperimidine with Maleic Anhydride: Syntheses of (8-Amino-9-oxo-9,10-dihydro-8H-imidazo[1,2-a]perimidin-10-yl)acetic Acid and Its Azomethine Derivatives
|
Anton V. Dolzhenko, Wai-Keung Chui,* and Anna V. Dolzhenko
|
| Vol 68, Issue 4, 2006, pp.821-828, |
| COM-06-10678 |
|
|
| |
 |
|
| Note |
Crystal Structure and Complexation Behavior of Quinonediimine Bearing Thiadiazole Unit
|
Mendra T. S. Ritonga, Harumi Shibatani, Hidehiro Sakurai, Toshiyuki Moriuchi, and Toshikazu Hirao*
|
| Vol 68, Issue 4, 2006, pp.829-836, |
| COM-06-10687 |
|
|
| |
 |
|
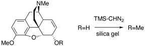
| Note |
Methylation of Non-acidic Alcohols of Alkaloids with TMS-diazomethane: Conversion of Codeine to Codeine-6-methyl Ether
|
Christopher W. Cunningham, Linn N. Thatcher, and Andrew Coop*
|
| Vol 68, Issue 4, 2006, pp.837-840, |
| COM-06-10694 |
|
|
| |
 |
|
| Communication |
Synthesis and Reactivity of Dibenz[d,g]azecin-14(5H)-ones
|
Patrick Mohr, Jochen Lehmann, and Michael Decker*
|
| Vol 68, Issue 5, 2006, pp.879-884, |
| COM-06-10681 |
|
|
| |
 |
|
| Communication |
Synthesis of Isoxazoline-fused Chlorins by 1,3-Dipolar Cycloaddition Reaction of Porphyrins with Alkyl Nitrile Oxides
|
Stanislaw Ostrowski,* Przemyslaw Wyrebek, and Agnieszka Mikus
|
| Vol 68, Issue 5, 2006, pp.885-888, |
| COM-06-10691 |
|
|
| |
 |
|
| Communication |
Microwave-promoted Sequential Three-component Synthesis of Tetrahydrobenzo[b]pyran in Water Catalyzed by Heterogeneous Amine Grafted on Silica
|
Hisahiro Hagiwara,* Ayuko Numamae, Kohei Isobe, Takashi Hoshi, and Toshio Suzuki
|
| Vol 68, Issue 5, 2006, pp.889-895, |
| COM-06-10698 |
|
|
| |
 |
|
| Paper |
3-(Dimethylamino)propenoate-based Regioselective Synthesis of 1,4-Disubstituted 5-Hydroxy-1H-pyrazoles
|
David Kralj, Jasmin Mecinovic, David Bevk, Uros Groselj, Branko Stanovnik,* and Jurij Svete*
|
| Vol 68, Issue 5, 2006, pp.897-914, |
| COM-06-10682 |
|
|
| |
 |
|
| Paper |
Selective N-Demethylation of Tertiary Aminofumagillols with Selenium Dioxide via a Non-classical Polonovski Type Reaction
|
Hong Woo Lee,* Joong Bok Ahn, Jung Hwa Lee, Sung Kwon Kang, Soon Kil Ahn, and Deok-Chan Ha
|
| Vol 68, Issue 5, 2006, pp.915-932, |
| COM-06-10683 |
|
|
| |
 |
|
| Paper |
A Ready One-pot Preparation for Pteridine and Isoxazolo[3,4-d]pyrimidine Derivatives
|
José Ma Quintela,* Carlos Peinador,* María J. Moreira, Rosa Toba, and Marcos Chas
|
| Vol 68, Issue 5, 2006, pp.933-947, |
| COM-06-10686 |
|
|
| |
 |
|
| Paper |
Synthesis of Methyl 2-[(Benzyloxycarbonyl)amino]-3-cyanopropenoate and Its Transformations into Derivatives of Pyrrole, 2,5-Dioxoimidazolidine, 1H-Pyrazole, and 4,6-Diaminopyridazine
|
Uros Ursic, David Bevk, Renata Toplak, Uros Groselj, Anton Meden, Jurij Svete,* and Branko Stanovnik*
|
| Vol 68, Issue 5, 2006, pp.949-966, |
| COM-06-10688 |
|
|
| |
 |
|
| Paper |
Application of Sulfamic Acid as an Eco-friendly Catalyst in an Expedient Synthesis of Benzimidazoles
|
Manas Chakrabarty,* Sulakshana Karmakar, Ajanta Mukherji, Shiho Arima, and Yoshihiro Harigaya
|
| Vol 68, Issue 5, 2006, pp.967-974, |
| COM-06-10692 |
|
|
| |
 |
|
| Paper |
A Concise Synthesis of Further Thiophene Analogues of Kuanoniamine A
|
Seon A. Hepburn and Yvette A. Jackson*
|
| Vol 68, Issue 5, 2006, pp.975-981, |
| COM-06-10700 |
|
|
| |
 |
|
| Paper |
Preparation of Bioactive Isorhapontigenin Dimers through Chemical Transformation of Bisisorhapontigenin A
|
Chun-Suo Yao and Mao Lin*
|
| Vol 68, Issue 5, 2006, pp.983-991, |
| COM-06-10705 |
|
|
| |
 |
|
| Paper |
A Convenient Synthesis of Papaverine Analogs via Photocyclization of N-Acyl-α-dehydroarylalaninamide Derivatives
|
Hideki Hoshina, Kei Maekawa, Kaori Kobayashi, Tetsutaro Igarashi, and Tadamitsu Sakurai*
|
| Vol 68, Issue 5, 2006, pp.993-1006, |
| COM-06-10710 |
|
|
| |
 |
|
| Paper |
Regioselectivity in 1,3-Dipolar Cycloaddition of 3-(4-Ethoxyphenyl)-4-cyanosydnone with Propargylic Esters
|
En-Ming Chang, Fung Fuh Wong,* Tse-Hsin Chen, Kuo-Chen Chiang, and Mou-Yung Yeh*
|
| Vol 68, Issue 5, 2006, pp.1007-1015, |
| COM-06-10714 |
|
|
| |
 |
|
| Note |
Synthesis of 1,5-Benzodiazepine Derivatives Catalysed by Zinc Chloride
|
Mohamed Afzal Pasha* and Vaderapura Puttaramegowda Jayashankara
|
| Vol 68, Issue 5, 2006, pp.1017-1023, |
| COM-05-10647 |
|
|
| |
 |
|
| Note |
Asymmetric Diels-Alder Reaction of 2-(p-Tolylsulfinyl)-1-indolyl α,β-Unsaturated Enones
|
Yoshitsugu Arai,* Takeshi Katori, and Yukio Masaki
|
| Vol 68, Issue 5, 2006, pp.1025-1030, |
| COM-06-10695 |
|
|
| |
 |
|
| Note |
Synthesis and Structural Analysis of 3,6,8,11,16-Hexahydrodicyclopenta[c,h][1,6]dithiecin
|
Mitsunori Oda,* Yanmei Zhang, Nguyen Chung Thanh, Shu-ichi Hayashi, Shengli Zuo, and Shigeyasu Kuroda*
|
| Vol 68, Issue 5, 2006, pp.1031-1041, |
| COM-06-10718 |
|
|
| |
 |
|
| Communication |
An Efficient Synthesis of (±)-Myxopyronin B via Versatile Pyridone Intermediates
|
Ricardo Lira, Konstantinos A. Agrios, Thomas Doundoulakis, Klaus B. Simonsen, Stephen E. Webber, and Alan X. Xiang*
|
| Vol 68, Issue 6, 2006, pp.1099-1103, |
| COM-06-10733 |
|
|
| |
 |
|
| Communication |
Synthesis and Fluorescence of 6-(4-Dimethylaminophenyl)- and 6-[2-(4-N,N-Disubstituted Aminophenyl)vinyl]-4-methylthio-2-oxo-2H-pyran-3-carbonitriles in Solution and in the Solid States
|
Naoko Mizuyama, Yuka Murakami, Junko Nagaoka, Shinya Kohra, Kazuo Ueda, Kyoko Hiraoka, Yasuhiro Shigemitsu, and Yoshinori Tominaga*
|
| Vol 68, Issue 6, 2006, pp.1105-1108, |
| COM-06-10741 |
|
|
| |
 |
|
| Paper |
Synthetic Utilization of Polynitroaromatic Compounds. 4. Synthesis of Nitro-free 4,6-Disubstituted-3-aminobenzothiophene Derivatives Based on 2,4,6-Trinitrobenzamide
|
Sergei G. Zlotin,* Pavel G. Kislitsin, Fedor A. Kucherov, and Andrei A. Gakh*
|
| Vol 68, Issue 6, 2006, pp.1109-1119, |
| COM-05-10644 |
|
|
| |
 |
|
| Paper |
Facile Synthesis of 2-Arylpyrroles from 4-Oxo-butanoic Acids and Their Use in the Preparation of Bis(pyrrolyl)methanes
|
David J. Jones and Vernon C. Gibson*
|
| Vol 68, Issue 6, 2006, pp.1121-1138, |
| COM-06-10690 |
|
|
| |
 |
|
| Paper |
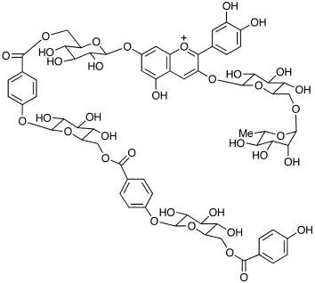
Bioactive Saponins and Glycosides. XXVI. New Triterpene Saponins, Theasaponins E10, E11, E12, E13, and G2, from the Seeds of Tea Plant (Camellia sinensis)
|
Toshio Morikawa, Hisashi Matsuda, Ning Li, Seikou Nakamura, Xian Li, and Masayuki Yoshikawa*
|
| Vol 68, Issue 6, 2006, pp.1139-1148, |
| COM-06-10704 |
|
|
| |
 |
|
| Paper |
Expeditious Synthesis of 2-Aryl Substituted Imidazolines and Imidazoles
|
Sylvia Lauwagie, Régis Millet, Jean Pommery, Patrick Depreux,* and Jean-Pierre Hénichart
|
| Vol 68, Issue 6, 2006, pp.1149-1162, |
| COM-06-10708 |
|
|
| |
 |
|
| Paper |
Heterocycles [h]Fused onto 4-Oxoquinolines. Part I. Synthesis of 6-Oxo-6,9-dihydro[1,2,5]oxadiazolo[3,4-h]quinoline-7-carboxylic Acid N-Oxide
|
Yusuf M. Al-Hiari, Monther A. Khanfar, Ali M. Qaisi, Mohammad Y. Abu Shuheil, Mustafa M. El-Abadelah,* and Roland Boese
|
| Vol 68, Issue 6, 2006, pp.1163-1172, |
| COM-06-10711 |
|
|
| |
 |
|
| Paper |
Concise Synthesis of 3-Arylpiperidines
|
Meng-Yang Chang,* Ru-Ting Hsu, Hua-Ping Chen, and Pei-Jung Lin
|
| Vol 68, Issue 6, 2006, pp.1173-1183, |
| COM-06-10717 |
|
|
| |
 |
|
| Paper |
An Convenient Method for the Synthesis of 7,8-Dimethoxy-3-hydroxyquinolin-2(1H)-one and Its Tautomer Conformation Study
|
Jian Song, Yongcheng Lin,* Yau Shan Szeto, and Wing Lai Chan*
|
| Vol 68, Issue 6, 2006, pp.1185-1190, |
| COM-06-10722 |
|
|
| |
 |
|
| Paper |
Synthesis of Selenosemicarbazides and 1,2,4-Triazoles
|
Mamoru Koketsu,* Yusuke Yamamura, and Hideharu Ishihara*
|
| Vol 68, Issue 6, 2006, pp.1191-1200, |
| COM-06-10725 |
|
|
| |
 |
|
| Note |
Synthesis and Extraction Properties of New Fused Benzocrown-Heterocycle Ligands for Alkali and Alkaline Earth Metal Cations
|
Seyed Mohammad Seyedi* and Toktam Pakseresht
|
| Vol 68, Issue 6, 2006, pp.1201-1208, |
| COM-05-10653 |
|
|
| |
 |
|
| Note |
Microwave-promoted Aromatization of 1,3,5-trisubstituted 4,5-Dihydro-1H-pyrazoles by Calcium Hypochlorite under Solvent-free Conditions
|
Davood Azarifar* and Azadeh Gharshasbi
|
| Vol 68, Issue 6, 2006, pp.1209-1215, |
| COM-06-10701 |
|
|
| |
 |
|
| Note |
Water-tolerant and Reusable Catalyst for the One-pot Synthesis of Dihydropyrimidin-2(1H)-ones under Solvent-free Conditions
|
D. Subhas Bose,* M. Venu Chary, and Hari Babu Mereyala
|
| Vol 68, Issue 6, 2006, pp.1217-1224, |
| COM-06-10706 |
|
|
| |
 |
|
| Note |
Regioselective Synthesis of the Novel N4-Substituted Pyrazolo[4,5-e][1,2,4]thiadiazines as Potent HIV-1 NNRTIs
|
Xinyong Liu,* Niangen Chen, Renzhang Yan, Wenfang Xu, Maria Teresa Molina, and Salvador Vega
|
| Vol 68, Issue 6, 2006, pp.1225-1232, |
| COM-06-10707 |
|
|
| |
 |
|
| Note |
Palladium-catalyzed Asymmetric Allylic Alkylation Using Chiral Pyridyl-hydrazone Ligands
|
Takashi Mino,* Yoshiaki Shirae, Toru Yajima, Masami Sakamoto, and Tsutomu Fujita
|
| Vol 68, Issue 6, 2006, pp.1233-1240, |
| COM-06-10723 |
|
|
| |
 |
|
| Note |
Evoninoate Sesquiterpene Alkaloids from the Stem of Celastrus paniculatus
|
Yasu Lu, Shilin Yang, Zhongmei Zou, Xiuzhen Luo, Hebin Chen, and Lizhen Xu
|
| Vol 68, Issue 6, 2006, pp.1241-1247, |
| COM-06-10728 |
|
|
| |
 |
|
| Note |
Synthesis and Structural Properties of Cyclophanes Containing Thiophene Rings in the Side-chain
|
Aldo Taticchi,* Assunta Marrocchi, Lucio Minuti, Selvaggia Landi, and Eszter Gacs-Baitz
|
| Vol 68, Issue 6, 2006, pp.1249-1257, |
| COM-06-10736 |
|
|
| |
 |
|
| Note |
New Lignans from Kadsura coccinea and Their Nitric Oxide Inhibitory Activities
|
Heran Li, Yulin Feng, Zhigang Yang, Zhongmei Zhou, Lizhen Xu, Akihiro Daikonya, Jue Wang, Susumu Kitanaka,* and Shilin Yang*
|
| Vol 68, Issue 6, 2006, pp.1259-1265, |
| COM-06-10742 |
|
|
| |
 |
|
| Note |
Synthesis of 1,3-Selenazetidines and 4H-1,3,5-Oxadiazines Using Acyl Isoselenocyanates
|
Mamoru Koketsu,* Yusuke Yamamura, Hiromune Ando, and Hideharu Ishihara*
|
| Vol 68, Issue 6, 2006, pp.1267-1273, |
| COM-06-10746 |
|
|
| |
 |
|
| Communication |
Reductive Formation of 1,5-Benzothiazepines
|
Albert Lévai,* Gábor Tóth,* Tímea Gondos, József Jekö, and Dinkarao I. Brahmbhatt
|
| Vol 68, Issue 7, 2006, pp.1319-1324, |
| COM-06-10702 |
|
|
| |
 |
|
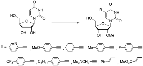
| Communication |
Synthesis of N1-Unsubstituted 5-Alkynylcytosine and Derivatives Thereof
|
Robert H. E. Hudson* and Andrew K. Dambenieks
|
| Vol 68, Issue 7, 2006, pp.1325-1328, |
| COM-06-10727 |
|
|
| |
 |
|
| Communication |
Enantioselective Microbial Hydrolysis of Disubstituted Cyclic Carbonates
|
Masaki Nogawa, Megumi Shimojo, Kazutsugu Matsumoto,* Hiromichi Ohta, and Minoru Hatanaka
|
| Vol 68, Issue 7, 2006, pp.1329-1334, |
| COM-06-10765 |
|
|
| |
 |
|
| Paper |
Hypervalent Organoantimony Compound 12-Aryltetrahydrodibenz[c,f][1,5]azastibocine: New Transmetallating Agent for Palladium-Catalyzed Arylation of Organic Halides
|
Naoki Kakusawa and Jyoji Kurita*
|
| Vol 68, Issue 7, 2006, pp.1335-1348, |
| COM-05-10590 |
|
|
| |
 |
|
| Paper |
Synthesis and Basic Optical Properties of New π-Conjugated Thiophene-Pyridine Co-oligomers
|
Hiroki Fukumoto, Akira Kumagai, Yoshiki Fujiwara, Hideomi Koinuma, and Takakazu Yamamoto
|
| Vol 68, Issue 7, 2006, pp.1349-1357, |
| COM-06-10715 |
|
|
| |
 |
|
| Paper |
An Efficient and Convenient Method for Synthesis of 1-Substituted Imidazoles
|
Chun Min Lin, Fung Fuh Wong,* Jiann-Jyh Huang, and Mou-Yung Yeh
|
| Vol 68, Issue 7, 2006, pp.1359-1370, |
| COM-06-10726 |
|
|
| |
 |
|
| Paper |
Novel Azolinium/Rhodium System Catalyzed Addition of Arylboronic Acids to Aldehydes
|
Ismail Özdemir,* Murat Yigit, Engin Çetinkaya, and Bekir Çetinkaya
|
| Vol 68, Issue 7, 2006, pp.1371-1379, |
| COM-06-10731 |
|
|
| |
 |
|
| Paper |
Solid-State Photocycloaddition of 6,6’-Dimethyl-4,4’-polymethylenedioxy-di-2-pyrones to Benzophenone
|
Weidong Wang, Tetsuro Shimo,* Teruo Shinmyozu, Tetsuo Iwanaga, and Kenichi Somekawa
|
| Vol 68, Issue 7, 2006, pp.1381-1392, |
| COM-06-10743 |
|
|
| |
 |
|
| Paper |
Synthesis of 4-(Dimethylamino)pyridinium-substituted Pyrazine, Pyridazine, 1,3,5-Triazine, Purine, and Imidazole
|
Andreas Schmidt* and Thorsten Mordhorst
|
| Vol 68, Issue 7, 2006, pp.1393-1400, |
| COM-06-10748 |
|
|
| |
 |
|
| Paper |
The First Synthesis of (-)-Plakolide A
|
Keizo Matsuo,* Masaru Kanayama, and Keiji Nishiwaki
|
| Vol 68, Issue 7, 2006, pp.1401-1407, |
| COM-06-10763 |
|
|
| |
 |
|
| Note |
Regio- and Exo-π-Facial Selective 1,3-Dipolar Cycloaddition of α-(3-Pyridyl)-N-phenylnitrone to Norbornadiene: Activation of a π-Bond of Norbornadiene and Control of Regiochemistry of Nitrone Cycloaddition by Nitrone Addition to the Other Double Bond
|
Gurpinder Singh, Munusamy Elango, Venkatesan Subramaniam, and Mohan Paul Singh Ishar*
|
| Vol 68, Issue 7, 2006, pp.1409-1419, |
| COM-06-10732 |
|
|
| |
 |
|
| Note |
Enzyme Inhibition Studies of Oxindole Alkaloids from Isatis costata
|
Itrat Fatima, Ijaz Ahmad, Sarfraz A. Nawaz, Abdul Malik,* Nighat Afza, Ghosia Luttfullah, and M. Iqbal Choudhary
|
| Vol 68, Issue 7, 2006, pp.1421-1428, |
| COM-06-10747 |
|
|
| |
 |
|
| Note |
Synthesis of Tetrahydrofurfurylamines Related to Muscarine
|
Roberto Fernández de la Pradilla,* Pilar Manzano, Alma Viso, Javier Fernández, and Antonio Gómez
|
| Vol 68, Issue 7, 2006, pp.1429-1442, |
| COM-06-10750 |
|
|
| |
 |
|
| Note |
Polyphosphoric Acid-Induced Construction of Quinazolinone Skeleton from 1-(3,4-Dimethoxyphenyl)-3-phenylurea and Carboxylic Acids
|
Iliyan Ivanov,* Stoyanka Nikolova, Ekaterina Kochovska, and Stela Statkova-Abeghe
|
| Vol 68, Issue 7, 2006, pp.1443-1449, |
| COM-06-10753 |
|
|
| |
 |
|
| Note |
Asymmetric Synthesis of (-)-Verrucosapyrone A by Biocatalyst and Determination of Its Absolute Configuration
|
Takuzo Komiyama, Yutaka Takaguchi, and Sadao Tsuboi*
|
| Vol 68, Issue 7, 2006, pp.1451-1454, |
| COM-06-10754 |
|
|
| |
 |
|
| Note |
A New Butenolide-Type Fungal Pigment from the Mushroom Pulveroboletus ravenelii
|
Ling Zhang, Fei Wang, Ze-Jun Dong, Wolfgang Steglich, and Ji-Kai Liu*
|
| Vol 68, Issue 7, 2006, pp.1455-1458, |
| COM-06-10755 |
|
|
| |
 |
|
| Note |
Structural Characterization of Isomeric Methyl 2-(2-Oxo-3-indolyl)acetate and Methyl 1-(2-Oxo-4-quinolyl)formate
|
Ernesto Rivera-Becerril, Nury Pérez-Hernández, Pedro Joseph-Nathan, and Martha S. Morales-Ríos*
|
| Vol 68, Issue 7, 2006, pp.1459-1466, |
| COM-06-10759 |
|
|
| |
 |
|
| Review |
Supramolecular Species Bearing Quaternary Azaaromatic Moieties
|
Wanda Sliwa* and Barbara Bachowska
|
| Vol 68, Issue 7, 2006, pp.1467-1500, |
| REV-06-606 |
|
|
| |
 |
|
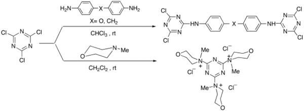
| Communication |
TCT (2,4,6-Trichloro-1,3,5-triazine) Promoted Single-Step Syntheis of 4,6-Diarylpyrimidin-2(1H)-ones under Microwave Irradiation
|
Ahmad R. Khosropour,* Iraj Mohammadpoor-Baltork,* Mohammad M. Khodaei, and Mahbubeh Jokar
|
| Vol 68, Issue 8, 2006, pp.1551-1557, |
| COM-05-10613 |
|
|
| |
 |
|
| Communication |
A Facile and Convenient Synthesis of 1H-Isoindole-1,3(2H)-diones
|
Farzad Nikpour,* Samira Kazemi, and Davood Sheikh
|
| Vol 68, Issue 8, 2006, pp.1559-1564, |
| COM-06-10762 |
|
|
| |
 |
|
| Communication |
The Ideal Synthetic Method Aimed at the Leads for an α2-Blocker, an Inhibitor of Blood Platelet Aggregation, and an Anti-osteoporosis Agent
|
Masanori Somei,* Takako Iwaki, Fumio Yamada, Yoshio Tanaka, Koki Shigenobu, Katsuo Koike, Nobuo Suzuki, and Atsuhiko Hattori
|
| Vol 68, Issue 8, 2006, pp.1565-1569, |
| COM-06-10771 |
|
|
| |
 |
|
| Communication |
Preferred Conformations of Diastereomeric N-Acyl-1-naphthylalanylprolinamides and Related Dipeptides and Their Fluorescence Quenching by Chiral Amines
|
Hiroki Kurosawa, Kana Bakoshi, Shozo Ichikawa, Tetsutaro Igarashi, and Tadamitsu Sakurai*
|
| Vol 68, Issue 8, 2006, pp.1571-1578, |
| COM-06-10784 |
|
|
| |
 |
|
| Communication |
Sulfur-Mediated Synthesis of Substituted Tetrahydrofurans: Application to the Synthesis of Goniofufurone
|
Roberto Fernández de la Pradilla,* Jorge Fernández, Alma Viso, Javier Fernández, and Antonio Gómez
|
| Vol 68, Issue 8, 2006, pp.1579-1584, |
| COM-06-10786 |
|
|
| |
 |
|
| Paper |
Synthesis and Characterization of 1,3,4-Oxadiazoles Triazolopyridinone and Carbazole as the Potential Bluish-Green Electroluminescent Materials for the Single Layer Device
|
Hung-Te Chang, Kuo-Chen Chiang, Fung Fuh Wong,* and Mou-Yung Yeh*
|
| Vol 68, Issue 8, 2006, pp.1585-1594, |
| COM-06-10758 |
|
|
| |
 |
|
| Paper |
Synthesis and Properties of Some Dihydrotetrazolo[5,1-c][1,2,4]triazines
|
Jalal A. Zahra, Mustafa M. El-Abadelah,* Bassam A. Abu Thaher, Naser S. El-Abadla, and Roland Boese
|
| Vol 68, Issue 8, 2006, pp.1595-1605, |
| COM-06-10760 |
|
|
| |
 |
|
| Paper |
One-Pot Synthesis of 2-Imino-1,3-selenazolidines by Reaction of Isoselenocyanates with Propargylamine
|
Mamoru Koketsu,* Tsutomu Sakai, Takashi Kiyokuni, Dinesh R. Garud, Hiromune Ando, and Hideharu Ishihara
|
| Vol 68, Issue 8, 2006, pp.1607-1615, |
| COM-06-10766 |
|
|
| |
 |
|
| Paper |
Stilbenoids with One Epoxy Group from Cotylelobium lanceolatum
|
Tetsuro Ito,* Zulfiqar Ali, Toshiyuki Tanaka, Ken-ichi Nakaya, Jin Murata, Dedy Darnaedi, and Munekazu Iinuma
|
| Vol 68, Issue 8, 2006, pp.1617-1630, |
| COM-06-10769 |
|
|
| |
 |
|
| Paper |
Synthesis and Structural Study of Semicarbazone-Containing 1,4-Dihydropyridine
|
Amaury Álvarez, Margarita Suárez,* Yamila Verdecia, Estael Ochoa, Blavet Barried, Rolando Pérez, Mercedes Díaz, Roberto Martínez-Álvarez, Dolores Molero, Carlos Seoane, Hector Novoa, Norbert M. Blaton, Oswald M. Peetersd, and Nazario Martín*
|
| Vol 68, Issue 8, 2006, pp.1631-1649, |
| COM-06-10776 |
|
|
| |
 |
|
| Paper |
Ionic Liquid in Organic Synthesis: The Pictet-Spengler Reaction
|
Huey-Min Wang,* Rei-Sheu Hou, Hsin-Yu Huang, and Ling-Ching Chen*
|
| Vol 68, Issue 8, 2006, pp.1651-1658, |
| COM-06-10778 |
|
|
| |
 |
|
| Paper |
Phosphoric Acid-on-Silica Gel: A Green Catalyst for the Synthesis of Symmetrical Bis(indolyl)alkanes
|
Manas Chakrabarty,* Ratna Mukherjee, Ajanta Mukherji, Shiho Arima, and Yoshihiro Harigaya
|
| Vol 68, Issue 8, 2006, pp.1659-1668, |
| COM-06-10783 |
|
|
| |
 |
|
| Paper |
A Simple KHSO4 Promoted Synthesis of 2-Arylsubstituted Benzimidazoles by Oxidative Condensation of Aldehydes with o-Phenylenediamine
|
Huiqiang Ma, Yulu Wang, and Jinye Wang*
|
| Vol 68, Issue 8, 2006, pp.1669-1673, |
| COM-06-10785 |
|
|
| |
 |
|
| Paper |
Indium-Mediated Reductive Cyclization of 2-Nitrochalcones to Quinolines
|
Rongbi Han, Shen Chen, Sun Jung Lee, Fang Qi, Xue Wu, and Byeong Hyo Kim*
|
| Vol 68, Issue 8, 2006, pp.1675-1684, |
| COM-06-10790 |
|
|
| |
 |
|
| Note |
Hetero-Diels-Alder Reaction of Ethyl 2-Nitrosoacrylate and Cyclohexadienes, and Bromine Induced Diene Isomerization
|
Jian Song, Yongcheng Lin,* Yau Shan Szeto, and Wing Lai Chan*
|
| Vol 68, Issue 8, 2006, pp.1685-1689, |
| COM-06-10737 |
|
|
| |
 |
|
| Note |
Two New Indoloquinazoline Alkaloids from the Unripe Fruits of Evodia rutaecarpa
|
Jie Teng and Xiu-Wei Yang*
|
| Vol 68, Issue 8, 2006, pp.1691-1698, |
| COM-06-10772 |
|
|
| |
 |
|
| Note |
An Acylated Cyanidin 3-Rutinoside-7-glucoside with p-Hydroxybenzoic Acid from the Red-Purple Flowers of Campanula medium
|
Kenjiro Toki, Norio Saito, Megumi Ito, Atsushi Shigihara, and Toshio Honda
|
| Vol 68, Issue 8, 2006, pp.1699-1703, |
| COM-06-10775 |
|
|
| |
 |
|
| Note |
A Computational Study on Stabilities of Dihydropterins
|
Shizuaki Murata* and Sudhir S. Landge
|
| Vol 68, Issue 8, 2006, pp.1705-1708, |
| COM-06-10777 |
|
|
| |
 |
|
| Note |
Synthesis of Benzo[2,1-b:3,4-b’]dithiophene-4,5-dione Derivatives
|
Kazuhiro Kobayashi,* Toshikazu Ogata, Daizo Nakamura, Osamu Morikawa, and Hisatoshi Konishi
|
| Vol 68, Issue 8, 2006, pp.1709-1714, |
| COM-06-10779 |
|
|
| |
 |
|
| Note |
Synthesis of Substituted Aminoquinolines as Useful Intermediates for Preparation of Aromatic N-Tricyclic Systems
|
Antonio Carta,* Michele Palomba, and Paola Corona
|
| Vol 68, Issue 8, 2006, pp.1715-1722, |
| COM-06-10782 |
|
|
| |
 |
|
| Review |
1,2,4-Triazolo[1,5-a][1,3,5]triazines (5-Azapurines): Synthesis and Biological Activity
|
Anton V. Dolzhenko, Anna V. Dolzhenko, and Wai-Keung Chui*
|
| Vol 68, Issue 8, 2006, pp.1723-1759, |
| REV-06-607 |
|
|
| |
 |
|
| Communication |
Endo-Selective Asymmetric Inverse Electron-Demand 1,3-Dipolar Cycloaddition Reaction of Nitrones
|
Tomoko Ashizawa, Natsuki Ohtsuki, Tomoyuki Miura, Makoto Ohya, Takaomi Shinozaki, Taketo Ikeno, and Tohru Yamada*
|
| Vol 68, Issue 9, 2006, pp.1801-1810, |
| COM-06-10791 |
|
|
| |
 |
|
| Communication |
Regioselective N- and O-Alkylation of 3H-[1,2,3]triazolo[4,5-d]pyrimidine-5,7(4H,6H)-diones (8-Azaxanthines) and Transformation of 3-Alkyl Derivatives into 1-Alkyl Isomers
|
Tomohisa Nagamatsu* and Rafiqul Islam
|
| Vol 68, Issue 9, 2006, pp.1811-1820, |
| COM-06-10807 |
|
|
| |
 |
|
| Communication |
An Efficient Method for the Synthesis of 3-Mercapto-1-(1,3-thiazolin-2-yl)azetidine Useful for the Pendant Moiety of Oral Carbapenem, L-084
|
Takeshi Isoda,* Satoshi Tamai, Toshio Kumagai, and Yoshimitsu Nagao*
|
| Vol 68, Issue 9, 2006, pp.1821-1824, |
| COM-06-10810 |
|
|
| |
 |
|
| Paper |
4-Acyl-5-hydroxy-1-phenyl-3-trifluoromethylpyrazoles: Synthesis and NMR Spectral Investigations
|
Sabine Bieringer and Wolfgang Holzer*
|
| Vol 68, Issue 9, 2006, pp.1825-1836, |
| COM-05-10502 |
|
|
| |
 |
|
| Paper |
Efficient Michael Addition of Indoles Using Bismuthyl Perchlorate as Catalyst
|
Iraj Mohammadpoor-Baltork,* Hamid Reza Memarian,* Ahmad Reza Khosropour, and Kobra Nikoofar
|
| Vol 68, Issue 9, 2006, pp.1837-1843, |
| COM-06-10697 |
|
|
| |
 |
|
| Paper |
3-Benzoyl-4-hydroxyisochromen-1-one Derivatives, Their Synthesis and Synthetic Application
|
Pavel Hradil,* Radek Melnicky, Martin Grepl, Kamil Koristek, Jan Hlavac, and Valerio Bertolasi
|
| Vol 68, Issue 9, 2006, pp.1845-1859, |
| COM-06-10757 |
|
|
| |
 |
|
| Paper |
Highly Stereoselective Formation of 1,3-Dioxolanes by Photocatalytic Ring Opening Reactions of α-Epoxyketones in Acetone Solution Using 1-Benzyl-2,4,6-triphenylpyridinium Tetrafluoroborate (NBTPT)
|
Hamid Reza Memarian,* Ali Saffar-Teluri, and Mohammad Kazem Amini
|
| Vol 68, Issue 9, 2006, pp.1861-1874, |
| COM-06-10767 |
|
|
| |
 |
|
| Paper |
Synthesis of 4-Trifluoromethylpyrimido[4,5-c]pyridazine-5,7-diones from Uracils
|
Masahiko Takahashi,* Yoshinobu Ogawa, and Kazuhiro Inoue
|
| Vol 68, Issue 9, 2006, pp.1875-1883, |
| COM-06-10781 |
|
|
| |
 |
|
| Paper |
A Novel Two Step Synthesis of 3,4-Dihydro-4-oxo-5H-pyrano[2,3-d]pyrimidines
|
Jitender M. Khurana,* Arpita Agrawal, and Gagan Kukreja
|
| Vol 68, Issue 9, 2006, pp.1885-1892, |
| COM-06-10788 |
|
|
| |
 |
|
| Paper |
Bromination of Dimethyl 1-Substituted Indole-2,3-dicarboxylates
|
Yasuyoshi Miki,* Misako Umemoto, Mai Nakamura, Hajime Hibino, Noriko Ohkita, Akiko Kato, and Yoshiyuki Aoki
|
| Vol 68, Issue 9, 2006, pp.1893-1899, |
| COM-06-10796 |
|
|
| |
 |
|
| Paper |
Accelerated Synthesis of Novel 1,2,4-Triazolo[3,4-b][1,3,4]thiadiazepines under Microwave Irradiation
|
Ahmet Çetin
|
| Vol 68, Issue 9, 2006, pp.1901-1907, |
| COM-06-10802 |
|
|
| |
 |
|
| Paper |
CuTC Mediated Coupling of 6,7-Disubstituted Benzothiazoles
|
Livio Racanè, Vesna Tralic-Kulenovic,* Gordana Pavlovic, and Grace Karminski-Zamola
|
| Vol 68, Issue 9, 2006, pp.1909-1916, |
| COM-06-10809 |
|
|
| |
 |
|
| Note |
Two New Macrocyclic Compounds from the Stems of Clematis armandii
|
Lihua Yan, Shilin Yang, Zhongmei Zou, Xiuzhen Luo, and Lizhen Xu*
|
| Vol 68, Issue 9, 2006, pp.1917-1924, |
| COM-06-10787 |
|
|
| |
 |
|
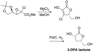
| Note |
Synthesis of 3-DPA Lactone via Tandem Cyclization Reaction of Acetonide Protected Methyl 4,5-Dihydroxy-2-chloroglycidate
|
Takuzo Komiyama, Yutaka Takaguchi, and Sadao Tsuboi*
|
| Vol 68, Issue 9, 2006, pp.1925-1930, |
| COM-06-10789 |
|
|
| |
 |
|
| Note |
Synthetic Studies of Bioactive Quinoxalinones: A Facile Approach to Potent Euglycemic and Hypolipidemic Agents
|
Sukanta Kamila and Edward R. Biehl*
|
| Vol 68, Issue 9, 2006, pp.1931-1939, |
| COM-06-10793 |
|
|
| |
 |
|
| Note |
New Synthesis of 3-Aryl-2,5-dihydrofurans
|
Meng-Yang Chang,* Chun-Yu Lin, and Chun-Li Pai
|
| Vol 68, Issue 9, 2006, pp.1941-1948, |
| COM-06-10795 |
|
|
| |
 |
|
| Note |
A New Pyrrolidine-2,4-dione Derivative, Vermelhotin, Isolated from Unidentified Fungus IFM 52672
|
Tomoo Hosoe, Kazutaka Fukushima, Kayoko Takizawa, Takeshi Itabashi, Kenji Yoza, and Ken-ichi Kawai*
|
| Vol 68, Issue 9, 2006, pp.1949-1953, |
| COM-06-10798 |
|
|
| |
 |
|
| Note |
Three New Isochromans from the Mycelial Culture of a Cylindrocarpon Fungus
|
Liangxiong Xu, Jinghua Xue, Hanhong Xu, Xingzhong Liu, Wenzhe Ma, and Xiaoyi Wei*
|
| Vol 68, Issue 9, 2006, pp.1955-1959, |
| COM-06-10799 |
|
|
| |
 |
|
| Note |
Microwave-Assisted Synthesis of Pyrazoles by 1,3-Dipolar Cycloaddition of Diazo Compounds to Acetylene Derivatives
|
Irena Zrinski, Marina Juribasic, and Mirjana Eckert-Maksic*
|
| Vol 68, Issue 9, 2006, pp.1961-1967, |
| COM-06-10803 |
|
|
| |
 |
|
| Note |
New Dioxomorpholine Derivatives, Javanicunine A and B, from Eupenicillium javanicum
|
Shou Nakadate, Koohei Nozawa,* Hitoshi Horie, Yuichi Fujii, Masahiro Nagai, Shin-ichirou Komai, Tomoo Hosoe, Ken-ichi Kawai, Takashi Yaguchi, and Kazutaka Fukushima
|
| Vol 68, Issue 9, 2006, pp.1969-1972, |
| COM-06-10804 |
|
|
| |
 |
|
| Note |
Solvent-Free Reaction Using Phosphonium Salts: Chlorination of Hydroxyheteroaromatics and Dehydration of Primary Amides
|
Tatsuya Takahashi, Osamu Sugimoto,* Jiro Koshio, and Ken-ichi Tanji*
|
| Vol 68, Issue 9, 2006, pp.1973-1979, |
| COM-06-10820 |
|
|
| |
 |
|
| Communication |
Synthesis and Properties of Oligocarboxamide Molecular Strands Containing 1,8-Naphthyridine and Pyridine Groups
|
Hisakazu Miyamoto,* Takahiro Ikeuchi, Atsushi Fujioka, Jean-Marie Lehn,* Shigeru Ohba,* and Yohji Misaki
|
| Vol 68, Issue 10, 2006, pp.2023-2029, |
| COM-06-10833 |
|
|
| |
 |
|
| Communication |
Synthesis of Vigabatrin®
|
Meng-Yang Chang,* Chun-Yu Lin, and Chi-Wi Ong
|
| Vol 68, Issue 10, 2006, pp.2031-2036, |
| COM-06-10837 |
|
|
| |
 |
|
| Paper |
Synthesis of Novel Pyrimido[4,5-c]pyridazines and 1,2-Dihydro-3a,7,9,9b-Tetraaza-cyclopenta[a]naphthalen-3-ones as Potent Inhibitors of Lymphocyte Specific Kinase (LCK)
|
John C. VanRens, Mark Sabat,* Todd A. Brugel, Jennifer Maier, Matthew J. Laufersweiler, Adam Golebiowski, Steve Berberich, and Biswanath De
|
| Vol 68, Issue 10, 2006, pp.2037-2044, |
| COM-06-10806 |
|
|
| |
 |
|
| Paper |
A Convenient Synthesis of Functionalized 1H-Pyrimidine-2-ones/thiones, Pyridazine and Imidazole; Experimental Data and PM3 Calculations
|
Emin Saripinar,* Çigdem Yilmaz, Dilek Ünal, Ilhan Özer Ilhan, Nihal Yazir, and Yunus Akçamur
|
| Vol 68, Issue 10, 2006, pp.2045-2061, |
| COM-06-10814 |
|
|
| |
 |
|
| Paper |
Synthesis of Novel Pyrazolopyrrolizinones as Prospective Anticancer Agents
|
Christophe Rochais, Jana Sopkovà-de Oliveira Santos, Patrick Dallemagne, and Sylvain Rault*
|
| Vol 68, Issue 10, 2006, pp.2063-2077, |
| COM-06-10824 |
|
|
| |
 |
|
| Paper |
Synthesis of Enantiopure 3,5-Disubstituted Pyrrolidines by Ring-Opening/Cross-Metathesis Reaction of 2-Azanorbornene Derivatives
|
Odón Arjona,* Ma José Cabas, José Nieto-Rubio, and Ana Querejeta
|
| Vol 68, Issue 10, 2006, pp.2079-2086, |
| COM-06-10825 |
|
|
| |
 |
|
| Paper |
An Efficient Synthesis of 1,4-Dihydro-6-trifluoromethylpyridines: A Facile and Useful Method for Dehydration of α-Trifluoromethyl Alcohols by Use of Phosphorous Oxychloride/Pyridine Adsorbed on Silica Gel
|
Isamu Katsuyama,* Kazumasa Funabiki, Masaki Matsui, Hiroshige Muramatsu, and Katsuyoshi Shibata
|
| Vol 68, Issue 10, 2006, pp.2087-2096, |
| COM-06-10827 |
|
|
| |
 |
|
| Paper |
Mucoralactone A: An Unusual Steroid from the Liquid Culture of Mucor plumbeus
|
Athar Ata,* Leigha J. Conci, and Ilkay Orhan
|
| Vol 68, Issue 10, 2006, pp.2097-2106, |
| COM-06-10829 |
|
|
| |
 |
|
| Paper |
Synthesis of 1,3-Selenazetidine Derivatives from Imines and Thiocarbamoyl Isoselenocyanate
|
Mamoru Koketsu,* Toshihiro Otsuka, and Hideharu Ishihara*
|
| Vol 68, Issue 10, 2006, pp.2107-2112, |
| COM-06-10830 |
|
|
| |
 |
|
| Paper |
Phenylcarbamoylation of N-Acetyl-1,2,4-triazolium-4-aminides Revisited
|
Dietrich Moderhack* and Matthias Noreiks
|
| Vol 68, Issue 10, 2006, pp.2113-2122, |
| COM-06-10836 |
|
|
| |
 |
|
| Paper |
Synthesis of Novel Naphthoquinone Fused Cyclic α-Aminophosphonates
|
Bin Wang, Zhiwei Miao, You Huang, and Ruyu Chen*
|
| Vol 68, Issue 10, 2006, pp.2123-2128, |
| COM-06-10838 |
|
|
| |
 |
|
| Paper |
A Highly Efficient Synthesis of (–)-Pinidinol
|
Julian Gebauer, Daniel Rost, and Siegfried Blechert*
|
| Vol 68, Issue 10, 2006, pp.2129-2132, |
| COM-06-10847 |
|
|
| |
 |
|
| Paper |
Practical Synthesis of New Chiral Cis-Phthalazinones with Potential for High Phosphodiesterase(PDE4) Inhibitory Activity
|
Tinh Van Dang, Chung Keun Jin, Motoyuki Miyamoto, Yoshifumi Ikee, Takashi Masuda, Shigeki Sano, Motoo Shiro, and Yoshimitsu Nagao*
|
| Vol 68, Issue 10, 2006, pp.2133-2144, |
| COM-06-10843 |
|
|
| |
 |
|
| Note |
Preparation of 2-Amino-1,3-selenazoles by Reaction of N,N-Unsubstituted Selenoureas with α,β-Unsaturated Ketones in Alcohol
|
Mamoru Koketsu,* Koichi Kanoh, and Hideharu Ishihara*
|
| Vol 68, Issue 10, 2006, pp.2145-2152, |
| COM-06-10813 |
|
|
| |
 |
|
| Note |
Synthesis of Diaryl Ether-Linked Porphyrin Dimers via Ullmann Coupling Reaction
|
Xu-Liang Jiang, Hong-Liang Zhang, and Jian Wu*
|
| Vol 68, Issue 10, 2006, pp.2153-2160, |
| COM-06-10816 |
|
|
| |
 |
|
| Note |
A Butenolide from the Marine Sponge Callyspongia vaginalis
|
Tanya H. Layne and Winston F. Tinto
|
| Vol 68, Issue 10, 2006, pp.2161-2164, |
| COM-06-10823 |
|
|
| |
 |
|
| Note |
Stereoselective Synthesis and Isomerization of the Indole Alkaloid Murrayacarine
|
Ann-Louise Johnson, Johnny Slätt, Tomasz Janosik, and Jan Bergman*
|
| Vol 68, Issue 10, 2006, pp.2165-2170, |
| COM-06-10828 |
|
|
| |
 |
|
| Note |
Efficient Synthesis and Crystal Structure of New 1,4-Ansa-anthraquinone
|
Chitoshi Kitamura,* Jun Fujimoto, Nobuhiro Kawatsuki, and Akio Yoneda
|
| Vol 68, Issue 10, 2006, pp.2171-2175, |
| COM-06-10840 |
|
|
| |
 |
|
| Review |
1,3-Dipolar Cycloadditions in Aqueous Media
|
Giorgio Molteni
|
| Vol 68, Issue 10, 2006, pp.2177-2202, |
| REV-06-608 |
|
|
| |
 |
|
| Communication |
Novel Formation of 1,2-Dithiolane-3-thione from β-Dithiolactone
|
Toshiyuki Shigetomi, Akiko Nojima, Kosei Shioji, Kentaro Okuma,* and Yoshinobu Yokomori
|
| Vol 68, Issue 11, 2006, pp.2243-2246, |
| COM-06-10849 |
|
|
| |
 |
|
| Communication |
Synthesis of 4-Arylpyrazoles via PdCl2(dppf)-Catalyzed Cross Coupling Reaction with Grignard Reagents
|
Hayato Ichikawa,* Yuuki Ohno, Yoshihide Usami, and Masao Arimoto
|
| Vol 68, Issue 11, 2006, pp.2247-2252, |
| COM-06-10863 |
|
|
| |
 |
|
| Communication |
Microwave-Assisted Cycloaddition Reaction of Azides to N-Substituted 2-Azabicyclo[2.2.1]hept-5-en-3-ones
|
Minoru Ishikura,* Miyako Hasunuma, Koji Yamada, and Reiko Yanada
|
| Vol 68, Issue 11, 2006, pp.2253-2257, |
| COM-06-10871 |
|
|
| |
 |
|
| Paper |
Efficient Microwave Assisted Syntheses of Unsubstituted Cyclic Imides
|
Yousef M. Hijji* and Ellis Benjamin
|
| Vol 68, Issue 11, 2006, pp.2259-2267, |
| COM-06-10841 |
|
|
| |
 |
|
| Paper |
Synthesis of Novel 1,3,4-Oxadiazin-5(6H)-ones and 2-Hydroxymethyl-1,3,4-oxadiazoles
|
Agnieszka Kudelko* and Wojciech Zielinski
|
| Vol 68, Issue 11, 2006, pp.2269-2283, |
| COM-06-10842 |
|
|
| |
 |
|
| Paper |
Synthesis, Crystal Structure Determination and Antiproliferative Evaluation of Novel Benzazoyl Benzamides
|
Kristina Starcevic, Irena Caleta, Dominik Cincic, Branko Kaitner, Marijeta Kralj, Katja Ester, and Grace Karminski-Zamola
|
| Vol 68, Issue 11, 2006, pp.2285-2299, |
| COM-06-10844 |
|
|
| |
 |
|
| Paper |
Synthesis of Vinca Alkaloids and Related Compounds. Part 106. An Efficient Convergent Synthetic Pathway to Build Up the Ibophyllidine Skeleton II. Total Synthesis of (±)-Deethylibophyllidine and (±)-14-Epi-deethylibophyllidine
|
Flórián Tóth, György Kalaus,* István Greiner, Mária Kajtár-Peredy, Ágnes Gömöry, László Hazai, and Csaba Szántay*
|
| Vol 68, Issue 11, 2006, pp.2301-2317, |
| COM-06-10845 |
|
|
| |
 |
|
| Paper |
Synthesis of New 1,2-Diphenyl-4,5-dihydro-3H-3-benzazepines
|
Chiaki Kaito, Kumiko Sakamoto, Mitsushi Sakamoto, Aiko Yamauchi, and Masaru Kihara*
|
| Vol 68, Issue 11, 2006, pp.2319-2326, |
| COM-06-10853 |
|
|
| |
 |
|
| Paper |
L-Proline-Catalyzed Asymmetric Aldol Condensation of N-Substituted Isatins with Acetone
|
Gang Chen, Ye Wang, Hongping He, Suo Gao, Xiaosheng Yang, and Xiaojiang Hao*
|
| Vol 68, Issue 11, 2006, pp.2327-2333, |
| COM-06-10856 |
|
|
| |
 |
|
| Paper |
Medicinal Foodstuffs. XXXII. Novel Sesquiterpene Glycoside Sulfate, Fukinoside A, with Antiallergic Activity from Japanese Butterbur (Petasites japonicus)
|
Masayuki Yoshikawa,* Toshio Morikawa, Junji Tanaka, and Hiroshi Shimoda
|
| Vol 68, Issue 11, 2006, pp.2335-2342, |
| COM-06-10858 |
|
|
| |
 |
|
| Paper |
N,N,N’,N’-Tetrabromobenzene-1,3-disolfonamide (TBBDS) as an Efficient Promoter for One-Pot Conversion of N-Arylglycines to Sydnones in the Presence of NaNO2/Ac2O under Neutral Conditions
|
Davood Azarifar,* Hassan Ghasemnejad-Bosra, Ramin Ghorbani-Vaghei, and Mahmood Tajbaksh
|
| Vol 68, Issue 11, 2006, pp.2343-2347, |
| COM-06-10859 |
|
|
| |
 |
|
| Paper |
Regioselective Reaction of 2-Indolylcyanocuprates with Electrophiles
|
Minoru Ishikura,* Reina Uemura, Koji Yamada, and Reiko Yanada
|
| Vol 68, Issue 11, 2006, pp.2349-2356, |
| COM-06-10865 |
|
|
| |
 |
|
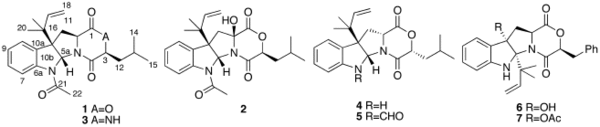
| Paper |
Nankakurine B, a New Alkaloid from Lycopodium hamiltonii and Revised Stereostructure of Nankakurine A
|
Yusuke Hirasawa, Jun’ichi Kobayashi, Yutaro Obara, Norimichi Nakahata, Nobuo Kawahara, Yukihiro Goda, and Hiroshi Morita*
|
| Vol 68, Issue 11, 2006, pp.2357-2364, |
| COM-06-10868 |
|
|
| |
 |
|
| Paper |
Synthesis of Pipecolic Acid and Baikiain
|
Meng-Yang Chang,* Yung-Hua Kung, and Tsun-Cheng Wu
|
| Vol 68, Issue 11, 2006, pp.2365-2373, |
| COM-06-10874 |
|
|
| |
 |
|
| Note |
Establishment of an Efficient Synthetic Route to 3,4:3’,4’-Bis(3,6,9-trioxaundecane-1,11-dioxy)benzil
|
Masaru Kimura,* Kun Shi, Koji Hashimoto, and Zhi Zhi Hu
|
| Vol 68, Issue 11, 2006, pp.2375-2380, |
| COM-06-10831 |
|
|
| |
 |
|
| Note |
Synthesis of 2-Aminomethylpyridine Derivatives of Phosphazenes
|
Saliha Begeç* and Sümeyya Alatas
|
| Vol 68, Issue 11, 2006, pp.2381-2386, |
| COM-06-10832 |
|
|
| |
 |
|
| Note |
Synthesis and Antiviral and Antitumor Activities of 2H-[1,2,3]Triazolo[4,5-d]pyrimidines and 1H-, 2H-, and 3H-[1,2,3]Triazolo[4,5-d]pyrimidin-5(4H)-one-7(6H)-thiones
|
Rafiqul Islam and Tomohisa Nagamatsu*
|
| Vol 68, Issue 11, 2006, pp.2387-2402, |
| COM-06-10869 |
|
|
| |
 |
|
| Review |
Quaternary Benzo[c]phenanthridines Sanguinarine and Chelerythrine: a Review of Investigations from Chemical and Biological Studies
|
Zdenek Dvorák, Vlastimil Kubán, Borivoj Klejdus, Jan Hlavác, Jaroslav Vicar, Jitka Ulrichová, and Vilím Simánek*
|
| Vol 68, Issue 11, 2006, pp.2403-2422, |
| REV-06-610 |
|
|
| |
 |
|
| Communication |
Synthesis of Octahydropyrrolo[3,2-c]pyridine Derivatives by the Catalytic Asymmetric Intramolecular Cycloaddition of Azomethine Ylides
|
Yoji Oderaotoshi,* Hiroyuki Miyata, Satoshi Minakata, and Mitsuo Komatsu*
|
| Vol 68, Issue 12, 2006, pp.2465-2469, |
| COM-06-10889 |
|
|
| |
 |
|
| Communication |
Synthesis of Chiral Non Racemic Indolizidin-3-ones as Peptidomimetic Scaffold
|
Delphine Halie, Joëlle Pérard-Viret, and Jacques Royer*
|
| Vol 68, Issue 12, 2006, pp.2471-2476, |
| COM-06-10891 |
|
|
| |
 |
|
| Communication |
Sugar Binding to an Calix[4]arene-Based Receptor
|
Takeharu Haino,* Masaki Nakamura, and Yoshimasa Fukazawa*
|
| Vol 68, Issue 12, 2006, pp.2477-2482, |
| COM-06-10894 |
|
|
| |
 |
|
| Paper |
Synthetic Utilization of Polynitro Aromatic Compounds. 5. Multi-Centered Reactivity Pattern in Reactions of 4,6-Dinitro-1,2-benzisothiazoles and -isothiazol-3(2H)-ones with C-, N-, O-, S-, and F-Nucleophiles
|
Sergei G. Zlotin,* Pavel G. Kislitsin, Fedor A. Kucherov, Evgeny A. Serebryakov, Yury A. Strelenko, and Andrei A. Gakh*
|
| Vol 68, Issue 12, 2006, pp.2483-2498, |
| COM-06-10862 |
|
|
| |
 |
|
| Paper |
Crystal Structure of Triphenyl Cyamelurate (2,5,8-Triphenoxy-1,3,4,6,7,9,9b-heptaazaphenalene)
|
Marcus R. Schwarz, Helmut Ehrenberg, Matthäus A. Kloc, and Edwin Kroke*
|
| Vol 68, Issue 12, 2006, pp.2499-2507, |
| COM-06-10866 |
|
|
| |
 |
|
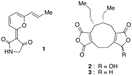
| Paper |
Total Inversion of Cis-C5 Maxacalcitol into Its Trans-C5 Isomer via the Sulforene Intermediate
|
Tsuyoshi Yamauchi,* Koji Suzuki, Hitoshi Shimizu, and Masahiro Kato
|
| Vol 68, Issue 12, 2006, pp.2509-2514, |
| COM-06-10875 |
|
|
| |
 |
|
| Paper |
Recyclization of 7-Fluoroalkyl-4,7-dihydroazolo[5,1-c]triazines into 5-(Pyrazolinylhydrazono)azoles in the Reactions with Hydrazides and Thiosemicarbazide
|
Olga G. Khudina, Evgeny V. Shchegol’kov, Yanina V. Burgart, Mikhail I. Kodess, Victor I. Saloutin,* and Oleg N. Chupakhin
|
| Vol 68, Issue 12, 2006, pp.2515-2525, |
| COM-06-10877 |
|
|
| |
 |
|
| Paper |
Hydantoins and Thiohydantoins Derived from 1,2,3,4-Tetrahydroisoquinoline-3-carboxylic Acid
|
Petr Jansa, Vladimír Wsól, Valerio Bertolasi, and Vladimír Machácek*
|
| Vol 68, Issue 12, 2006, pp.2527-2547, |
| COM-06-10878 |
|
|
| |
 |
|
| Paper |
Thermolysis of 5-Azido-4-arylpyridazin-3(2H)-ones: An Efficient and Versatile Synthesis of Pyridazino[4,5-b]indoles
|
Norbert Haider* and Andrea Wobus
|
| Vol 68, Issue 12, 2006, pp.2549-2561, |
| COM-06-10879 |
|
|
| |
 |
|
| Paper |
Electrooxidative Cyclization of Hydroquinolyl Alcohols
|
Mitsuhiro Okimoto,* Takashi Yoshida, Masayuki Hoshi, Kazuyuki Hattori, Masashi Komata, Kaori Numata, and Kenta Tomozawa
|
| Vol 68, Issue 12, 2006, pp.2563-2570, |
| COM-06-10881 |
|
|
| |
 |
|
| Paper |
Synthesis of Chiral 1,2-Dihydropyridines and 2,3,4-Trisubstituted Pyridines from α-Amino Acids
|
Daiki Monguchi, Swapan Majumdar, and Takeo Kawabata*
|
| Vol 68, Issue 12, 2006, pp.2571-2578, |
| COM-06-10883 |
|
|
| |
 |
|
| Paper |
First Synthesis of Trans- and Cis-Dendrochrysanines
|
Hiroyuki Konno,* Sayako Kusumoto, Sotaro Kanai, Yasuyuki Yamahana, Kazuto Nosaka, and Kenichi Akaji
|
| Vol 68, Issue 12, 2006, pp.2579-2585, |
| COM-06-10885 |
|
|
| |
 |
|
| Paper |
Total Synthesis of (±)-2-epi-Validamine
|
Hiroaki Okamura,* Hiroshi Nagaike, Nsiama Tienabe Kipassa, Tetsuo Iwagawa, and Munehiro Nakatani
|
| Vol 68, Issue 12, 2006, pp.2587-2594, |
| COM-06-10887 |
|
|
| |
 |
|
| Note |
Reduction of Nitroindazoles: Preparation of New Amino and Chloroamino Derivatives
|
Abdellah Miloudi, Douniazed El Abed, Gerard Boyer,* and Jean-Pierre Galy
|
| Vol 68, Issue 12, 2006, pp.2595-2605, |
| COM-06-10811 |
|
|
| |
 |
|
| Note |
Exclusive Formation of α-Anomers in NbCl5-Promoted Ferrier Rearrangement for the Synthesis of 2,3-Unsaturated Glycosides
|
Ronaldo N. de Oliveira, Adriana C. N. de Melo, Rajendra M. Srivastava,* and Denis Sinou
|
| Vol 68, Issue 12, 2006, pp.2607-2613, |
| COM-06-10812 |
|
|
| |
 |
|
| Note |
Studies on Pyrazine Derivatives. XLIX. Synthesis and Antibacterial Activity of 6-Methoxypyrazine-2-carboxylic Acid Hydrazide Derivatives
|
Katarzyna Gobis,* Henryk Foks, Aleksandra Zuralska, and Anna Kedzia
|
| Vol 68, Issue 12, 2006, pp.2615-2626, |
| COM-06-10867 |
|
|
| |
 |
|
| Note |
Synthesis of 2-Amino-4,5-dihydro-1,3-selenazol-4-ones by Reaction of N,N-Disubstituted Selenoureas with Acetylenedicarboxylate
|
Mamoru Koketsu,* Koichi Kanoh, and Hideharu Ishihara*
|
| Vol 68, Issue 12, 2006, pp.2627-2633, |
| COM-06-10880 |
|
|
| |
 |
|
| Note |
Efficient New Approach for the Synthesis of N,N-Dialkylamino-1,2,4-triazoles
|
Qiang Zhang,* Youyi Peng, and William J. Welsh*
|
| Vol 68, Issue 12, 2006, pp.2635-2645, |
| COM-06-10886 |
|
|
| |
 |
|
| Note |
Synthesis of 2-Amino-1,3-selenazoles by Reaction of N,N-Unsubstituted Selenoureas with α,β-Unsaturated Aldehydes
|
Mamoru Koketsu,* Koichi Kanoh, and Hideharu Ishihara*
|
| Vol 68, Issue 12, 2006, pp.2647-2652, |
| COM-06-10893 |
|
|
| |
 |
|
| Note |
Synthesis and Characterization of a Series of Alkyloxadiazolylpyridinium Salts as Perspective Ionic Liquids
|
Ivana Pibiri, Andrea Pace,* Antonio Palumbo Piccionello, Paola Pierro, and Silvestre Buscemi*
|
| Vol 68, Issue 12, 2006, pp.2653-2661, |
| COM-06-10895 |
|
|
| |
 |
|
| 219 data found. 1 - 219 listed |
|
|
|
|