| 69 data found. 1 - 69 listed |
|
|
|
Preface
Steven M. Weinreb/ Heterocycles
|
Richard W. Franck
|
| Vol 70, Issue 1, 2006, pp.1-4, |
| 2006-70-0001 |
|
|
| |
|
|
|
Biographical Data
|
|
| Vol 70, Issue 1, 2006, pp.5-7, |
| 2006-70-0005 |
|
|
| |
|
|
|
Publications
|
|
| Vol 70, Issue 1, 2006, pp.9-21, |
| 2006-70-0009 |
|
|
| |
|
|
|
Chapters and Books
|
|
| Vol 70, Issue 1, 2006, pp.23-24, |
| 2006-70-0023 |
|
|
| |
|
|
|
Graduate Students Supervised
|
|
| Vol 70, Issue 1, 2006, pp.25-29, |
| 2006-70-0025 |
|
|
| |
|
|
|
Invited and Plenary Lectures
|
|
| Vol 70, Issue 1, 2006, pp.31-40, |
| 2006-70-0031 |
|
|
| |
|
| Communication |
Brominative Indolization of an Unsaturated Bridgehead Sultam with Extrusion of Sulfur Dioxide
|
Adam J. Preston and Leo A. Paquette*
|
| Vol 70, Issue 1, 2006, pp.41-44, |
| COM-06-S(W)2 |
|
|
| |
2GA.gif) |
|
| Communication |
Synthesis of Substituted 4-Arylpiperidin-2-ones by a 6-exo-Trig Radical Cyclization
|
Xavier Vila and Samir Z. Zard*
|
| Vol 70, Issue 1, 2006, pp.45-50, |
| COM-06-S(W)7 |
|
|
| |
7GA.gif) |
|
| Communication |
Convenient Synthesis of Masked Aminoindoles by Indium Mediated Ont-Pot Reductive Acylation of 3- and 2-Nitroindoles
|
Sujata Roy and Gordon W. Gribble*
|
| Vol 70, Issue 1, 2006, pp.51-56, |
| COM-06-S(W)8 |
|
|
| |
8GA.gif) |
|
| Communication |
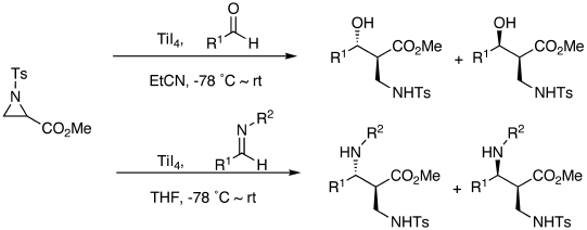
Titanium Tetraiodide Mediated Reductive Opening of Aziridines, Leading to the Aldol and Mannich-Type Reactions
|
Makoto Shimizu,* Hiroshi Kurokawa, Shuji Nishiura, and Iwao Hachiya
|
| Vol 70, Issue 1, 2006, pp.57-64, |
| COM-06-S(W)9 |
|
|
| |
9GA.gif) |
|
| Communication |
Total Synthesis of Cytostatin
|
Brian G. Lawhorn, Sobhana B. Boga, Scott E. Wolkenberg, and Dale L. Boger*
|
| Vol 70, Issue 1, 2006, pp.65-70, |
| COM-06-S(W)13 |
|
|
| |
13GA.gif) |
|
| Communication |
Synthesis of Novel Silacyclobutene Derivatives Utilizing Zirconocene- and Titanocene-Ethylene Complexes
|
Chung Keun Jin, Tinh Van Dang, Yoshifumi Ikee, Toshiaki Yamada, Shigeki Sano, Motoo Shiro, and Yoshimitsu Nagao*
|
| Vol 70, Issue 1, 2006, pp.71-75, |
| COM-06-S(W)14 |
|
|
| |
14GA.gif) |
|
| Communication |
Investigations of Pd-Catalyzed Aryl Substitution Reactions. A Case Study towards Zoanthenol
|
David R. Williams,* David C. Ihle, Todd A. Brugel, and Samarjit Patnaik
|
| Vol 70, Issue 1, 2006, pp.77-82, |
| COM-06-S(W)19 |
|
|
| |
19GA.gif) |
|
| Communication |
Crystal Structures of N,N’-Bis(1-naphthylmethyl)-1,4,10,13-tetraoxa-7,16-diazacyclooctadecane Complexed with Lithium and Zinc Thiocyanates
|
Kanji Kubo,* Tadamitsu Sakurai, Hajime Takahashi, and Haruko Takechi
|
| Vol 70, Issue 1, 2006, pp.83-86, |
| COM-06-S(W)21 |
|
|
| |
21GA.gif) |
|
| Communication |
The 1,3-Dipolar Cycloaddition of Methyl Acrylate to Hindered 3-Oxidopyraziniums
|
Madeleine Helliwell, Yun You, and John A. Joule*
|
| Vol 70, Issue 1, 2006, pp.87-91, |
| COM-06-S(W)22 |
|
|
| |
22GA.gif) |
|
| Communication |
Diastereoselective Synthesis of Atropisomeric 3-(2-Substituted Aryl)quinazolin-4-ones and Their Stereochemical Properties
|
Takashi Tokitoh, Toshitake Kobayashi, Eisuke Nakada, Tohru Inoue, Satoshi Yokoshima, Hideyo Takahashi, and Hideaki Natsugari*
|
| Vol 70, Issue 1, 2006, pp.93-99, |
| COM-06-S(W)26 |
|
|
| |
26GA.gif) |
|
| Communication |
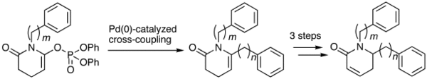
Concise and Short Synthesis of Functionalized 5,6-Dihydropyridin-2-ones by Means of Palladium(0)-Catalyzed Cross-Coupling of Ketene Aminal Phosphates
|
Haruhiko Fuwa,* Akane Kaneko, Yasuaki Sugimoto, Taisuke Tomita, Takeshi Iwatsubo, and Makoto Sasaki*
|
| Vol 70, Issue 1, 2006, pp.101-106, |
| COM-06-S(W)30 |
|
|
| |
30GA.gif) |
|
| Communication |
Regioselective Oxidation of Isoxazolidines to Ketonitrones
|
Osamu Iwamoto, Miyuki Sekine, Hiroyuki Koshino, and Kazuo Nagasawa*
|
| Vol 70, Issue 1, 2006, pp.107-112, |
| COM-06-S(W)34 |
|
|
| |
34GA.gif) |
|
| Communication |
Synthetic Studies toward Cribrostatin IV: An Intriguing Epimerization
|
Collin Chan and Samuel J. Danishefsky*
|
| Vol 70, Issue 1, 2006, pp.113-118, |
| COM-06-S(W)35 |
|
|
| |
35GA.gif) |
|
| Communication |
Substituent Effects on the Regiochemical and Stereochemical Course of the Nussbaumer-Frater Variation of the Prins Cyclization
|
Chad E. Bennett, Ruth Figueroa, David J. Hart,* and Dexi Yang
|
| Vol 70, Issue 1, 2006, pp.119-128, |
| COM-06-S(W)39 |
|
|
| |
39GA.gif) |
|
| Communication |
Investigation of the Bromination of Tetrahydrobenzimidazoles
|
Carl J. Lovely,* Yong He, Heather M. Fenton, and H. V. Rasika Dias*
|
| Vol 70, Issue 1, 2006, pp.129-133, |
| COM-06-S(W)41 |
|
|
| |
41GA.gif) |
|
| Communication |
Synthetic Studies toward Clavilactone A: A Concise Access to α,γ-Substituted γ-Butenolides by Metathesis
|
Hiroyuki Yasui, Shun Yamamoto, Ken-ichi Takao, and Kin-ichi Tadano*
|
| Vol 70, Issue 1, 2006, pp.135-141, |
| COM-06-S(W)42 |
|
|
| |
42GA.gif) |
|
| Communication |
An Approach to Cyclic α-Amino Acids by a Novel Hetero Diels-Alder/Intramolecular Hydantoin Enolate Alkylation Strategy: An Approach to Halichlorine
|
Hyoungsu Kim, Jae Hong Seo, Kye Jung Shin, Dong Jin Kim, and Deukjoon Kim*
|
| Vol 70, Issue 1, 2006, pp.143-146, |
| COM-06-S(W)43 |
|
|
| |
43GA.gif) |
|
| Communication |
Cytochrome c Oxidase Active Site Mimics: New Ligands for Copper and an Unexpected Oxidative C-C Bond Formation
|
Yakira R. Landaverry, Kimberly N. White, Marilyn M. Olmstead, Ólöf Einarsdóttir, and Joseph P. Konopelski*
|
| Vol 70, Issue 1, 2006, pp.147-152, |
| COM-06-S(W)46 |
|
|
| |
46GA.gif) |
|
| Communication |
Total Synthesis of (-)-Dihydrocorynantheol Using Bicyclo[3.2.1]octenone Chiral Building Block
|
Ayako Tosaka, Shinichiro Ito, Norio Miyazawa, Masatoshi Shibuya, Kunio Ogasawara,* and Yoshiharu Iwabuchi*
|
| Vol 70, Issue 1, 2006, pp.153-159, |
| COM-06-S(W)49 |
|
|
| |
49GA.gif) |
|
| Communication |
Synthesis of Artificial Ladder-Shaped Polyethers Containing a 6/7 cis-Fused Ring System
|
Kohei Torikai, Hiroshi Yari, MIchio Murata, and Tohru Oishi*
|
| Vol 70, Issue 1, 2006, pp.161-167, |
| COM-06-S(W)50 |
|
|
| |
50GA.gif) |
|
| Communication |
Investigation of Vinylcyclopropane Monoradical Cyclization-Fragmentation as a Possible Route towards Eight-Membered Rings
|
James A. Miranda* and R. Daniel Little
|
| Vol 70, Issue 1, 2006, pp.169-175, |
| COM-06-S(W)52 |
|
|
| |
52GA.gif) |
|
| Communication |
Synthesis of Cyclic Ether via Intramolecular Acyloin Condensation
|
Tatsuo Saito, Atsushi Kimishima, and Tadashi Nakata*
|
| Vol 70, Issue 1, 2006, pp.177-180, |
| COM-06-S(W)55 |
|
|
| |
55GA.gif) |
|
| Communication |
A Convenient Synthesis of 2-Functionalized Pyrrolo[2,3-d]pyrido[1,2-a]pyrimidines
|
Yuchi Zhang, Keisuke Kawashima, and Michihiko Noguchi*
|
| Vol 70, Issue 1, 2006, pp.181-184, |
| COM-06-S(W)59 |
|
|
| |
59GA.gif) |
|
| Paper |
Strecker Reactions of Chiral N-Acylhydrazones
|
Hui Ding and Gregory K. Friestad*
|
| Vol 70, Issue 1, 2006, pp.185-199, |
| COM-06-S(W)3 |
|
|
| |
3GA.gif) |
|
| Paper |
Direct Conversion of Substituted Pyrrole-2-carboxylic Acid Methyl Esters to Their 2-Carbonitrile Analogues
|
Xun Li,* Michael reuman, and Ronald K. Russell
|
| Vol 70, Issue 1, 2006, pp.201-205, |
| COM-06-S(W)4 |
|
|
| |
4GA.gif) |
|
| Paper |
Cycloaddition Reactions of 1-Aza- and 1,3-Diazaazulenium 1-Methylides
|
Hiroyuki Fujii,* Izumi Kawano, Kaoru Iwafuji, Yoshiyuki Sawae, Kentaro Nagamatsu, and Noritaka Abe*
|
| Vol 70, Issue 1, 2006, pp.207-221, |
| COM-06-S(W)5 |
|
|
| |
5GA.gif) |
|
| Paper |
A De Novo Asymmetric Approach to Achiral Deoxy-Melodorinol Analogues
|
Md. Moinuddin Ahmed, Novruz Akhmedov, Hu Cui, Dirk Friedrich, and George A. O’Doherty*
|
| Vol 70, Issue 1, 2006, pp.223-233, |
| COM-06-S(W)12 |
|
|
| |
12GA.gif) |
|
| Paper |
Pyran-2-ones as Synthons for Pyridazine-3-carboxylic Derivatives. Oxidation of Nitrogen-Rich Compounds
|
Franc Pozgan, Stanislav Kafka, Slovenko Polanc, and Marijan Kocevar*
|
| Vol 70, Issue 1, 2006, pp.235-248, |
| COM-06-S(W)11 |
|
|
| |
11GA.gif) |
|
| Paper |
The Concise and Versatile Synthesis of Epi-malbrancheamide and Structurally Related Analogs
|
Meriah W. N. Valente and Robert M. Williams*
|
| Vol 70, Issue 1, 2006, pp.249-259, |
| COM-06-S(W)15 |
|
|
| |
15GA.gif) |
|
| Paper |
Selective 1,2- vs 1,4-Addition of N-Arylphosphazenes to β,γ-Unsaturated α-Ketoesters. Synthesis of Quinolinecarboxylates
|
Francisco Palacios,* Javier Vicario, Jesús M. de los Santos, and Domitila Aparicio
|
| Vol 70, Issue 1, 2006, pp.261-270, |
| COM-06-S(W)17 |
|
|
| |
17GA.gif) |
|
| Paper |
Dediastereomerization of Dibenzylbutanolides by Plant Cell Culture
|
Masumi Takemoto,* Yuki Matsuoka, Kiyoshi Tanaka, and James Peter Kutney
|
| Vol 70, Issue 1, 2006, pp.271-278, |
| COM-06-S(W)18 |
|
|
| |
18GA.gif) |
|
| Paper |
Synthesis of (+)-Myrtopsine, (+)-7,8-Dimethoxymyrtopsine, and Related 2,3-Dihydro-3-hydroxy-2-(1-hydroxy-1-methylethyl)benzofuran Natural Products
|
Barry B. Snider* and Xiaoxing Wu
|
| Vol 70, Issue 1, 2006, pp.279-294, |
| COM-06-S(W)20 |
|
|
| |
20GA.gif) |
|
| Paper |
Two Convergent Approaches to the Synthesis of 1α,25-Dihydroxy-2β-(3-hydroxypropoxy)vitamin D3 (ED-71) by the Lythgoe and the Trost Coupling Reactions
|
Junji Maeyama, Hiroko Hiyamizu, Keisuke Takahashi, Jun Ishihara, Susumi Hatakeyama, and Noboru Kubodera*
|
| Vol 70, Issue 1, 2006, pp.295-307, |
| COM-06-S(W)23 |
|
|
| |
23GA.gif) |
|
| Paper |
Synthesis of 2,3-Dihydrobenzo[1,4]dioxins and -oxazins via a Domino Wacker-Heck Reaction
|
Lutz G. Tietze,* Kristina F. Wilckens, Sinem Yilmaz, Florian Stecker, and Julia Zinngrebe
|
| Vol 70, Issue 1, 2006, pp.309-319, |
| COM-06-S(W)24 |
|
|
| |
24GA.gif) |
|
| Paper |
A Chiral Pool Approach toward the Synthesis of Thalidomide Metabolites
|
Frederick A. Luzzio,* Damien Y. Duveau, and William D. Figg
|
| Vol 70, Issue 1, 2006, pp.321-334, |
| COM-06-S(W)28 |
|
|
| |
28GA.gif) |
|
| Paper |
Enantioselective Synthesis of ent-Sedridine and (+)-Coniine via Proline-Catalyzed Mannich Reaction
|
Kazuhiro Nagata, Kosuke Nishimura, Masashi Yokoya, and Takashi Itoh*
|
| Vol 70, Issue 1, 2006, pp.335-344, |
| COM-06-S(W)29 |
|
|
| |
29GA.gif) |
|
| Paper |
Dual Fluorescence Spectra of 1-Hydroxyindoles with Various C-C-Nb Side Chains at 3-Position in Methanol
|
Kunihiro Tokumura,* Akio Hayashi, Kenta Imai, and Masanori Somei*
|
| Vol 70, Issue 1, 2006, pp.345-354, |
| COM-06-S(W)32 |
|
|
| |
32GA.gif) |
|
| Paper |
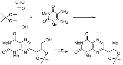
Synthesis of 6- and 7-(1,2,3-Trihydroxy-1,2-O-isopropylidenepropyl)pteridines and Deoxygenation of Their 3’-Hydroxy Groups
|
Tadashi Hanaya,* Daisuke Takayama, and Hiroshi Yamamoto
|
| Vol 70, Issue 1, 2006, pp.355-365, |
| COM-06-S(W)33 |
|
|
| |
33GA.gif) |
|
| Paper |
Cycloaddition Reactions of Amino-Acid Derived Cross-Conjugated Trienes: Stereoselective Synthesis of Novel Heterocyclic Scaffolds
|
Branko Mitasev, Bingli Yan, and Kay M. Brummond*
|
| Vol 70, Issue 1, 2006, pp.367-388, |
| COM-06-S(W)36 |
|
|
| |
36GA.gif) |
|
| Paper |
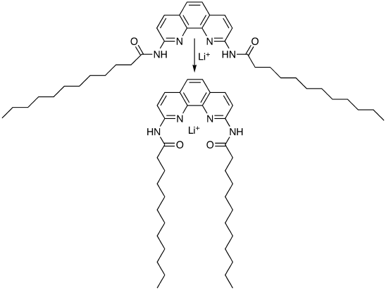
The Efficient Separation of Lithium Chloride by Acyclic Carrier Molecules
|
Junko Morita, Shinji Tsuchiya, Misa Ifuku, Makie Kobayashi, Eriko Araki, Zhenxia Zhu, Keiko Takano, and Shojiro Ogawa*
|
| Vol 70, Issue 1, 2006, pp.389-421, |
| COM-06-S(W)37 |
|
|
| |
37GA.gif) |
|
| Paper |
Aza-[3+3] Annulations. Part 6. Total Synthesis of Putative (-)-Lepadiformine and (-)-Cylindricine C
|
Jiashi Wang, Jacob J. Swidorski, Nadiya Sydorenko, Richard P. Hsung,* Heather A. Coverdale, Jennifer M. Kuyava, and Jia Liu
|
| Vol 70, Issue 1, 2006, pp.423-459, |
| COM-06-S(W)40 |
|
|
| |
40GA.gif) |
|
| Paper |
Synthetic Approaches to Polyhydroxy Indolizidines and Related Azabicyclic Scaffolds
|
Stephen Hanessian,* Eric Therrien, Jayakumar S. Warrier, and Guillaume Charron
|
| Vol 70, Issue 1, 2006, pp.461-476, |
| COM-06-S(W)44 |
|
|
| |
44GA.gif) |
|
| Paper |
Synthesis of 1,2,3,4,5,6,7,10-Octahydro-1,5-imino-7,10-dioxo-3-benzazocine-4-carbonitrile Derivative and Evaluation of Antitumor Activity Related to Saframycin and Renieramycin Isoquinolinequinones
|
Yu-ichi Koizumi, Ken-ichi Inamura, Akinori Kubo, and Naoki Saito*
|
| Vol 70, Issue 1, 2006, pp.477-490, |
| COM-06-S(W)47 |
|
|
| |
47GA.gif) |
|
| Paper |
Synthesis of 6-Methylindole-4,7-quinone and Anti-tumor Activities of Its Related Indolequinones
|
Junko Nobuhiro, Miho Hirayama, Tominari Choshi, Keiichi Kamoshita, Sakiko Maruyama, Yoshikazu Sukenaga, Takashi Ishizu, Haruto Fujioka, and Satoshi Hibino*
|
| Vol 70, Issue 1, 2006, pp.491-499, |
| COM-06-S(W)48 |
|
|
| |
48GA.gif) |
|
| Paper |
Photochemical Synthesis of Polycyclic Pyrimidines through the Acid Catalyzd Cycloaddition of 6-Chloro-1-methyluracil to Methyl Substituted Benzenes
|
Kazue Ohkura,* Takeshi Yamaguchi, Ken-ichi Nishijima, Yuji Kuge, and Koh-ichi Seki
|
| Vol 70, Issue 1, 2006, pp.501-508, |
| COM-06-S(W)51 |
|
|
| |
51GA.gif) |
|
| Paper |
Synthesis of a Stable Pyridyl Boronate and Its Reaction with Aryl and Heteroaryl Halides
|
Steven J. Durrant,* Joanne L. Pinder,* Jean-Damien Charrier, Juan-Miguel Jimenez, Guy Brenchley, Philip N. Collier, David Kay, Andrew Miller, Françoise Pierard, Sharn Ramaya, Shazia Sadiq, and Heather C. Twin
|
| Vol 70, Issue 1, 2006, pp.509-517, |
| COM-06-S(W)54 |
|
|
| |
54GA.gif) |
|
| Paper |
Alkylation of 2-Butyl-4,4-dimethyl-4H-benzo[d][1,3]oxathiien-1,1-dioxide, a New Class of Acyl Anion Equivalents as an Alternative to Dithianes
|
Robert K. Boeckman Jr.,* Susan M. Hanson, and Jeremy A. Cody
|
| Vol 70, Issue 1, 2006, pp.519-530, |
| COM-06-S(W)56 |
|
|
| |
56GA.gif) |
|
| Note |
A Facile Construction of the Benz[c,d]indole Framework
|
Clifford E. Soll and Richard W. Franck*
|
| Vol 70, Issue 1, 2006, pp.531-540, |
| COM-06-S(W)1 |
|
|
| |
1GA.gif) |
|
| Note |
Chiral Synthesis of Poison-Frog Alkaloids 251N and 221K
|
Naoki Toyoooka,* Zhou Dejun, Hideo Nemoto,* H. Martin Garraffo, Thomas F. Spande, and John W. Daly
|
| Vol 70, Issue 1, 2006, pp.541-548, |
| COM-06-S(W)6 |
|
|
| |
6GA.gif) |
|
| Note |
Biaryl Coupling Reactions of 3-Methoxy-N-(2-iodophenyl)-N-methylbenzamide and 3-Methoxycarbonyl-N-(2-iodophenyl)-N-methylbenzamide Using Palladium Reagent
|
Hiromi Nishioka,* Chie Nagura, Hitoshi Abe, Yasuo Takeuchi, and Takashi Harayama*
|
| Vol 70, Issue 1, 2006, pp.549-555, |
| COM-06-S(W)10 |
|
|
| |
10GA.gif) |
|
| Note |
Evaluation of Strategies for the Synthesis of the Guanidine Hemiaminal Portion of Palau’amine
|
Brian A. Lanman and Larry E. Overman*
|
| Vol 70, Issue 1, 2006, pp.557-570, |
| COM-06-S(W)16 |
|
|
| |
16GA.gif) |
|
| Note |
A Facile Synthesis of 2-Acyl and 2-Alkylaminobenzimidazoles for 5-Lipoxygenase Inhibitors
|
Jin Ha Lee, Mi Hyun Ahn, Eun Hyun Choi, Hea-Young Park Choo, and Gyoonhee Han*
|
| Vol 70, Issue 1, 2006, pp.571-580, |
| COM-06-S(W)25 |
|
|
| |
25GA.gif) |
|
| Note |
One-Step Syntesis of 4,5-Disubstituted Pyrimidines Using Commercially Available and Inexpensive Reagents
|
Phil S. Baran,* Ryan A. Shenvi, and Steven A. Nguyen
|
| Vol 70, Issue 1, 2006, pp.581-586, |
| COM-06-S(W)27 |
|
|
| |
27GA.gif) |
|
| Note |
A Novel One-Pot Synthesis of N-Substituted Thieno[3,2-d]pyrimidin-4(3H)-ones
|
Andrew J. Peat,* Paul L. Feldman, Dulce Garrido, Yu C. Guo, and Donald L. Hertzog
|
| Vol 70, Issue 1, 2006, pp.587-598, |
| COM-06-S(W)31 |
|
|
| |
31GA.gif) |
|
| Note |
Synthesis of a 5-Azaindole Phosphonic Acid as a Computationally Designed Inhibitor of the Low Molecular Weight Phosphatase HCPTP
|
Jeremy A. Weitgenant, Isamu Katsuyama, Marinus A. Bigi, Steven J. Corden, John T. Markiewicz, Adam P. R. Zabell, Kristoff T. Homan, Olaf Wiest, Cynthia V. Stauffacher,* and Paul Helquist*
|
| Vol 70, Issue 1, 2006, pp.599-607, |
| COM-06-S(W)38 |
|
|
| |
38GA.gif) |
|
| Note |
A Stereocontrolled Synthesis of (±)-β-Isosparteine
|
Paul R. Blakemore,* Neil R. Norcross, Stuart L. Warriner, and Peter C. Astles
|
| Vol 70, Issue 1, 2006, pp.609-617, |
| COM-06-S(W)45 |
|
|
| |
45GA.gif) |
|
| Note |
Synthesis of 4,7-Dihydro-2H-isoindole Derivatives via Diels-Alder Reaction of Tosylacetylene
|
Tetsuo Okujima,* Guangnan Jin, Yusuke Hashimoto, Hiroko Yamada, Hidemitsu Uno, and Noboru Ono*
|
| Vol 70, Issue 1, 2006, pp.619-626, |
| COM-06-S(W)53 |
|
|
| |
53GA.gif) |
|
| Note |
Comparative Study of X-Ray Structures and Molecular Orbital Calculations of 6-Phenyl-6-phosphapentacyclo[6.3.1.02,4.03,7.05,10]dodecane 6-Oxide with 4-Phenyl-4-phosphatetracyclo[3.3.02,8.03,6]octane 4-Oxide
|
Kiyoshi Matsumoto,* Mitsuo Toda, Hirokazu Iida, and Hiroshi Hamana
|
| Vol 70, Issue 1, 2006, pp.627-633, |
| COM-06-S(W)57 |
|
|
| |
57GA.gif) |
|
| Note |
Enantioselective Synthesis of 3-Arylindan-1-ones via Intramolecular C-H Insertion Reactions of α-Diazo-β-Ketoesters Catalyzed by Chiral Dirhodium(II) Carboxylates
|
Yoshihiro Natori, Masahiro Anada, Seiichi Nakamura, Hisanori Nambu, and Shunichi Hashimoto*
|
| Vol 70, Issue 1, 2006, pp.635-646, |
| COM-06-S(W)58 |
|
|
| |
58GA.gif) |
|
| Note |
Reaction of Functionalized Azomethine Ylides with Olefinic Dipolarophiles
|
Keisuke Kawashima, Akikazu Kakehi, and Michihiko Noguchi*
|
| Vol 70, Issue 1, 2006, pp.647-654, |
| COM-06-S(W)60 |
|
|
| |
60GA.gif) |
|
| Review |
Convenient and General Microwave-Assisted Protocols for the Expedient Synthesis of Heterocycles
|
William D. Shipe,* Feng Yang, Zhijian Zhao, Scott E. Wolkenberg, M. Brad Nolt, and Craig W. Lindsley
|
| Vol 70, Issue 1, 2006, pp.655-679, |
| REV-06-SR(W)1 |
|
|
| |
1GA.gif) |
|
| Review |
Heterocyclic Inhibitors of Tumor Necrosis Factor-α Converting Enzyme (TACE)
|
Jeremy I. Levin
|
| Vol 70, Issue 1, 2006, pp.691-704, |
| REV-06-SR(W)2 |
|
|
| |
2GA.gif) |
|
| Review |
Ring-Closing Metathesis of Heteroatom-Substituted Dienes
|
Richard C. D. Brown* and Vachiraporn Satcharoen
|
| Vol 70, Issue 1, 2006, pp.705-736, |
| REV-06-SR(W)3 |
|
|
| |
3GA.gif) |
|
| 69 data found. 1 - 69 listed |
|
|
|
|