| 192 data found. 1 - 192 listed |
|
|
| Communication |
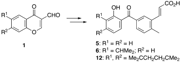
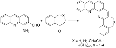
Synthetic Models Related to Furanocoumarin-CYP 3A4 Interactions. Synthesis of Furanocoumarin Derivatives as Potent Inhibitors of CYP 3A4
|
Kazuaki Oda,* Yukio Tamai, Yuki Yamaguchi, Teruki Yoshimura, Keiji Wada, Minoru Machida, and Naozumi Nishizono*
|
| Vol 71, Issue 1, 2007, pp.1-4, |
| COM-06-10873 |
|
|
| |
 |
|
| Communication |
Diacetone-D-glucose-Mediated Asymmetric Syntheses of Dihydroquinoxalinones
|
Yongtae Kim, Min Hee Lee, Eui Ta Choi, Eun Sun No, and Yong Sun Park*
|
| Vol 71, Issue 1, 2007, pp.5-11, |
| COM-06-10910 |
|
|
| |
 |
|
| Paper |
Unconventional Recyclization of Cotarnine under the Action of 1,3-Dimethylbarbituric Acid
|
Konstantin A. Krasnov, Viktor G. Kartsev,* and Viktor N. Khrustalev
|
| Vol 71, Issue 1, 2007, pp.13-18, |
| COM-06-10854 |
|
|
| |
 |
|
| Paper |
Stereoselective Modification of Cytisine: T-Reaction for Construction of Benzoannelated Anagyrine Skeleton
|
Konstantin A. Krasnov and Victor G. Kartsev
|
| Vol 71, Issue 1, 2007, pp.19-25, |
| COM-06-10855 |
|
|
| |
 |
|
| Paper |
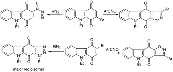
Regioselectivity in the 1,3-Dipolar Cycloaddition Reactions of Nitrile Oxides and Organic Azides with Bromocarbazole-1,4-diones
|
Muriel Compain-Batissou, Jacques Gentili, Nadia Walchshofer, Monique Domard, Bernard Fenet, and Zouhair Bouaziz*
|
| Vol 71, Issue 1, 2007, pp.27-38, |
| COM-06-10882 |
|
|
| |
 |
|
| Paper |
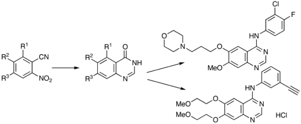
One-Pot Conversion 2-Nitrobenzonitriles to Quinazolin-4(3H)-ones and Synthesis of Gefitinib and Erlotinib Hydrochloride
|
Venkateshappa Chandregowda, Gudapati Venkateswara Rao, and Goukanapalli Chandrasekara Reddy*
|
| Vol 71, Issue 1, 2007, pp.39-48, |
| COM-06-10884 |
|
|
| |
 |
|
| Paper |
1H and 13C NMR Analysis of a 1,2-Diaryl-3-methyl-4,5-dihydro-1H-imidazolium Salts Series
|
Isabel Perillo, Maria C. Caterina, Carlos de los Santos, and Alejandra Salerno*
|
| Vol 71, Issue 1, 2007, pp.49-60, |
| COM-06-10892 |
|
|
| |
 |
|
| Paper |
N-(2-Alkoxycarbonylbenzenesulfenyl)benzimidazoles as Nitrogen-, Sulfur-, and Carbon-Sulfenylation Reagents
|
Masao Shimizu,* Hidenori Fukazawa, Jun’ichi Inoue, Yoshimoto Abe, and Takeo Konakahara
|
| Vol 71, Issue 1, 2007, pp.61-73, |
| COM-06-10904 |
|
|
| |
 |
|
| Paper |
Total Synthesis of (4R,5S)-Melithiazol C and (3R,4S)-Cystothiazole E
|
Hiroyuki Takayama, Keisuke Kato, Masayuki Kimura, and Hiroyuki Akita*
|
| Vol 71, Issue 1, 2007, pp.75-85, |
| COM-06-10907 |
|
|
| |
 |
|
| Paper |
Tri- and Tetracyclic Heteroaromatic Systems: Synthesis of Novel Benzo-, Benzothieno- and Thieno-Fused Pyrano[2,3-c]pyrazol-4(1H)-ones
|
Gernot A. Eller,* Andreas W. Haring, Barbara Datterl, Maryam Zwettler, and Wolfgang Holzer*
|
| Vol 71, Issue 1, 2007, pp.87-104, |
| COM-06-10908 |
|
|
| |
 |
|
| Paper |
Structural and Conformational Studies on 5-[1’-Methylpyrrolidin-2’-yl]-1,3-oxazolidin-2-one Free Base and Hydrochloride Form
|
Fiorella Meneghetti, Roberto Artali, Marco Pallavicini, Ermanno Valoti, and Gabriella Bombieri*
|
| Vol 71, Issue 1, 2007, pp.105-115, |
| COM-06-10913 |
|
|
| |
 |
|
| Paper |
Synthesis of 5-Chloromethylene Hydantoins and Thiohydantoins
|
Timothy A. Cernak and James L. Gleason*
|
| Vol 71, Issue 1, 2007, pp.117-134, |
| COM-06-10914 |
|
|
| |
 |
|
| Paper |
Selective Synthesis of 2-Aryl-1-arylmethyl-1H-1,3-benzimidazoles Promoted by Ionic Liquid
|
Huiqiang Ma, Yulu Wang,* Jianping Li, and Jinye Wang*
|
| Vol 71, Issue 1, 2007, pp.135-140, |
| COM-06-10920 |
|
|
| |
 |
|
| Paper |
The Selective Functionalization of Pyridazino[4,5-d]pyridazines Using Polar Organometallic Reagents
|
Tibor Zs. Nagy, Krisztián Lörincz, Antal Csámpai,* and András Kotschy*
|
| Vol 71, Issue 1, 2007, pp.141-151, |
| COM-06-10923 |
|
|
| |
 |
|
| Paper |
Positional Effect on the NMR Spectroscopy of Esters and Amides of 2- and 3-Furancarboxylic Acids
|
Kyu Ok Jeon, Ji Sook Yu, and Chang Kiu Lee*
|
| Vol 71, Issue 1, 2007, pp.153-164, |
| COM-06-10925 |
|
|
| |
 |
|
| Note |
Synthesis of Areno[e]indenes by the Flash Vacuum Pyrolysis of 4-Methoxystyrylarenes
|
Li-Tse Chu, Pin-Chih Yu, Bo-Jian Wu, Ying-Chi Liao, and Chin-Hsing Chou*
|
| Vol 71, Issue 1, 2007, pp.165-173, |
| COM-06-10897 |
|
|
| |
 |
|
| Note |
Reactions of Some Dithiinodiquinoline 7-Oxides with Potassium Phenoxide
|
Maria J. Maslankiewicz and Andrzej Maslankiewicz*
|
| Vol 71, Issue 1, 2007, pp.175-180, |
| COM-06-10922 |
|
|
| |
 |
|
| Note |
Dowex 50W in Aqueous Medium: Highly Efficient Biginelli Condensation Procedure for the Synthesis of 4-Aryl-3,4-dihydropyrimidones
|
Chhanda Mukhopadhyay,* Arup Datta, and Bimal K. Banik
|
| Vol 71, Issue 1, 2007, pp.181-188, |
| COM-06-10924 |
|
|
| |
 |
|
| Note |
Hafnium Chloride Catalyzed Conjugate Addition of Pyrrole, Pyrazole and Imidazole to α,β-Unsaturated Ketones
|
Sachiko Aburatani, Motoi Kawatsura, and Jun’ichi Uenishi*
|
| Vol 71, Issue 1, 2007, pp.189-196, |
| COM-06-10935 |
|
|
| |
 |
|
| Communication |
An Improved Pictet-Spengler Condensation: A convenient Synthetic Route to Bioactive Manzamine Derivatives
|
Yeun-Mun Choo and Mark T. Hamann*
|
| Vol 71, Issue 2, 2007, pp.245-252, |
| COM-06-10937 |
|
|
| |
 |
|
| Paper |
Synthesis, Structures, and Spectroscopic Properties of Push-Pull Heteroquinoid Compounds
|
Shinobu Inoue, Shinji Mikami, Kazuo Takimiya, Tetsuo Otsubo,* and Yoshio Aso
|
| Vol 71, Issue 2, 2007, pp.253-268, |
| COM-06-10848 |
|
|
| |
 |
|
| Paper |
The Study of Cyclization of N-Acylphenacyl Anthranilates with Ammonium Salts under Various Conditions
|
Pavel Hradil,* Martin Grepl, Jan Hlavac, and Antonin Lycka
|
| Vol 71, Issue 2, 2007, pp.269-280, |
| COM-06-10899 |
|
|
| |
 |
|
| Paper |
The Reactions of Phenoxy Substituted Phosphazenes with 1,3-Propanediol and 3-Amino-1-propanol
|
Saliha Begeç,* Sümeyya Alatas, and Adem Kiliç
|
| Vol 71, Issue 2, 2007, pp.281-287, |
| COM-06-10915 |
|
|
| |
 |
|
| Paper |
Spiroheterocycles from the Reaction of Arylnitrile Oxides with Some (Z)-3-Arylidene-2(3H)-benzofuranones. New Access to Orthohydroxyphenylisoxazoline Esters
|
Moheddine Askri, Naffa Jgham, Mohamed Rammah, Kabula Ciamala,* Karin Monnier-Jobé, and Joël Vebrel
|
| Vol 71, Issue 2, 2007, pp.289-303, |
| COM-06-10918 |
|
|
| |
 |
|
| Paper |
Short and Efficient Synthesis of 3-Substituted 4-Oxazolin-2-thiones and Their Reactivity
|
Carlos González-Romero, Rafael Martínez-Palou, Hugo A. Jiménez-Vázquez, Aydeé Fuentes, Fabiola Jiménez, and Joaquín Tamariz*
|
| Vol 71, Issue 2, 2007, pp.305-322, |
| COM-06-10919 |
|
|
| |
 |
|
| Paper |
Practical Synthesis of (-)-α-Aminobenzolactam via Nitration-Cyclization of L-Homophenylalanine Ethyl Ester
|
Luoting Yu, Jiling Huang, Ching-Yao Chang, and Teng-Kuei Yang*
|
| Vol 71, Issue 2, 2007, pp.323-330, |
| COM-06-10926 |
|
|
| |
 |
|
| Paper |
Structure of New Cucurbitane-Type Triterpenes and Glycosides, Karavilagenins D and E, and Karavilosides VI, VII, VIII, IX, X, and IX, from the Fruit of Momordica charantia
|
Hisashi Matsuda, Seikou Nakamura, Toshiyuki Murakami, and Masayuki Yoshikawa*
|
| Vol 71, Issue 2, 2007, pp.331-341, |
| COM-06-10934 |
|
|
| |
 |
|
| Paper |
Reaction of 1-Acyl and Aroyl-2-hydroxy-3,3-dimethylindolines with Arylamines Catalyzed by BF3·Etherate. Formation of Dihydroindolo[1,2-c]quinazoline
|
Akiko Watanabe, Koki Yamaguchi, Fumikazu Ito, Yasuyuki Yoshitake, and Kazunobu Harano*
|
| Vol 71, Issue 2, 2007, pp.343-359, |
| COM-06-10944 |
|
|
| |
 |
|
| Paper |
Lewis Acid-Catalyzed Michael Addition Reactions of N-Boc-2-silyloxypyrroles to 3-Acryloyl-2-oxazolidinone
|
Hiroyuki Suga,* Haruka Takemoto, and Akikazu Kakehi
|
| Vol 71, Issue 2, 2007, pp.361-371, |
| COM-06-10966 |
|
|
| |
 |
|
| Note |
H4SiW12O40·xH2O As a New Catalyst for the Synthesis of 3,4-Dihydropyrimidin-2(1H)-one
|
Khodabakhsh Niknam* and Nader Daneshvar
|
| Vol 71, Issue 2, 2007, pp.373-378, |
| COM-06-10905 |
|
|
| |
 |
|
| Note |
Microwave-Assisted Dehydrosulphurization: An Efficient, Solvent-Free Synthesis of 5-(1-Adamantyl)-2-arylamino-1,2,4-triazolo[3,4-b][1,3,4]thiadiazoles
|
Ebtehal S. Al-Abdullah, Ihsan A. Shehata, Omar A. Al-Deeb, and Ali A. El-Emam*
|
| Vol 71, Issue 2, 2007, pp.379-388, |
| COM-06-10906 |
|
|
| |
 |
|
| Note |
Efficient Method for the Synthesis of Dibenzo[b,f]thiepin-10-ones under Mild Conditions
|
Qiang Zhang,* Youyi Peng, and William J. Welsh*
|
| Vol 71, Issue 2, 2007, pp.389-398, |
| COM-06-10909 |
|
|
| |
 |
|
| Note |
Synthesis and Fluorescence of 4-Methylsulfanyl-6-pyridyl-2H-pyran-2-ones in Solid State
|
Naoko Mizuyama, Shinya Kohra, Kazuo Ueda, Kyoko Hiraoka, Kojiro Takahashi, and Yoshinori Tominaga*
|
| Vol 71, Issue 2, 2007, pp.399-409, |
| COM-06-10928 |
|
|
| |
 |
|
| Note |
Heterocycles [h]Fused on 4-Oxoquinoline-3-carboxylic Acid, II. A Facile Synthesis of Some 2,7-Dioxo[1,4]thiazino[2,3-h]quinoline-8-carboxylic Acids
|
Mohammed H. Al-Huniti, Jalal A. Zahra, and Mustafa M. El-Abadelah*
|
| Vol 71, Issue 2, 2007, pp.411-418, |
| COM-06-10930 |
|
|
| |
 |
|
| Note |
Synthesis of 5-Substituted 4,5,6,7-Tetrahydroindoles from Cyclohexanones
|
Chang Kiu Lee,* In-Sook Han Lee, and Wayland E. Noland
|
| Vol 71, Issue 2, 2007, pp.419-428, |
| COM-06-10933 |
|
|
| |
 |
|
| Note |
Synthesis of 5,7-Diamino[1,2,4]triazolo[1,2-a][1,3,5]triazines via Annulation of 1,3,5-Triazine Ring onto 3(5)-Amino-1,2,4-trizoles
|
Anton V. Dolzhenko, Anna V. Dolzhenko, and Wai-Keung Chui*
|
| Vol 71, Issue 2, 2007, pp.429-436, |
| COM-06-10936 |
|
|
| |
 |
|
| Note |
Diastereoselective Synthesis of Chiral Methyl 2-Piperidin-2-ylpropanoates
|
Jennifer Pereira, Sandrine Calvet-Vitale, Marie-Claude Fargeau-Bellassoued, Virginie Mouries-Mansuy, Corinne Vanucci-Bacqué,* and Gérard Lhommet*
|
| Vol 71, Issue 2, 2007, pp.437-444, |
| COM-06-10938 |
|
|
| |
 |
|
| Note |
Efficient Preparation of Medium Ring Oxygen Heterocycles
|
Atsuko Nishiguchi,* Tomomi Ikemoto, Tatsuya Ito, Shotaro Miura, and Kiminori Tomimatsu
|
| Vol 71, Issue 2, 2007, pp.445-452, |
| COM-06-10941 |
|
|
| |
 |
|
| Note |
Expeditious Entry to 1,5-Benzodiazepines Catalyzed by Sulfamic Acid at Room Temperature in Tap Water Suspension
|
Zhenjiang Li,* Yingjie Sun, Xinghua Ren, Yuhu Shi, and Pingkai Ouyang
|
| Vol 71, Issue 2, 2007, pp.453-458, |
| COM-06-10945 |
|
|
| |
 |
|
| Note |
Concise Synthesis of Diarylmethyl-1H-pyrroles
|
Meng-Yang Chang,* Tsun-Cheng Wu, and Ya-Jung Ko
|
| Vol 71, Issue 2, 2007, pp.459-465, |
| COM-06-10953 |
|
|
| |
 |
|
| Communication |
The First Chemical Synthesis of 6-Thio-D-fructopyranose via Methyl 6-Bromo-6-deoxy-1,3-O-isopropylidene-α-D-fructofuranoside as a Key Intermediate
|
Tadashi Hanaya,* Nobuaki Sato, and Hiroshi Yamamoto
|
| Vol 71, Issue 3, 2007, pp.517-522, |
| COM-06-10965 |
|
|
| |
 |
|
| Paper |
Direct Involvement of Benzoxazinoids in the Growth Suppression Induced by Phototropic Stimulation in Maize Coleoptiles
|
Riffat Jabeen, Kosumi Yamada,* Tsuyoshi Hasegawa, Eiichi Minami, Hideyuki Shigemori, and Koji Hasegawa
|
| Vol 71, Issue 3, 2007, pp.523-529, |
| COM-06-10940 |
|
|
| |
 |
|
| Paper |
Diastereoselective Synthesis of Spiro-β-lactams via Staudinger Reaction
|
Susana Rojas-Lima,* Lidia Santillán-Sid, Heraclio López-Ruiz, and Alejandro Álvarez-Hernández
|
| Vol 71, Issue 3, 2007, pp.531-542, |
| COM-06-10942 |
|
|
| |
 |
|
| Paper |
A Simple and Environmentally Benign Method for the Synthesis of Naphthoxazin-3-one Derivatives
|
Minoo Dabiri, Akram Sadat Delbari, and Ayoob Bazgir*
|
| Vol 71, Issue 3, 2007, pp.543-548, |
| COM-06-10946 |
|
|
| |
 |
|
| Paper |
Synthesis and Aggregation of Tetrathiafulvalene-Annulated Porphyrazines
|
Tie Chen, Chunlan Wang, Han Qui, Longyi Jin, Bingzhu Yin,* and Kimiaki Imafuku*
|
| Vol 71, Issue 3, 2007, pp.549-555, |
| COM-06-10954 |
|
|
| |
 |
|
| Paper |
Wittig-Horner-Emmons Reactions of Triethyl 3-Methylphosphonocrotonate with 3-Formylchromones En Route to Benzophenone-Based Retinoid Candidates
|
Weilin Sun, Shyam Desai, Huri Piao, Patrick Carroll, and Daniel J. Canney*
|
| Vol 71, Issue 3, 2007, pp.557-567, |
| COM-06-10955 |
|
|
| |
 |
|
| Paper |
A Convenient K2CO3 Catalysed Regioselective Synthesis for Benzopyrano[4,3-c]pyrazoles in Aqueous Medium
|
Mazaahir Kidwai,* Priya, Kavita Singhal, and Shweta Rastogi
|
| Vol 71, Issue 3, 2007, pp.569-576, |
| COM-06-10958 |
|
|
| |
 |
|
| Paper |
Structures of Dammarane-Type Triterpene Triglycosides from the Flower Buds of Panax ginseng
|
Seikou Nakamura, Sachiko Sugimoto, Hisashi Matsuda, and Masayuki Yoshikawa*
|
| Vol 71, Issue 3, 2007, pp.577-588, |
| COM-06-10959 |
|
|
| |
 |
|
| Paper |
Solvation Effects on Imidazolium Salts That Contain Alkyl Side Chains
|
Allan D. Headley,* S. R. S. Saibabu Kotti, and Bukuo Ni
|
| Vol 71, Issue 3, 2007, pp.589-596, |
| COM-06-10960 |
|
|
| |
 |
|
| Paper |
A Total Synthesis of (17S)-Hexahydro-TMC-69
|
Kazutoshi Sugawara,* Yasuhiro Imanishi, and Tomiki Hashiyama
|
| Vol 71, Issue 3, 2007, pp.597-607, |
| COM-06-10962 |
|
|
| |
 |
|
| Paper |
Isolation and Structure Elucidation of a Potent Growth Inhibitor, Helian, from Blue Light-Illuminated Sunflower (Helianthus annuus) Hypocotyls
|
Tsuyoshi Hasegawa, Shigenori Togo, Yosuke Hisamatsu, Kosumi Yamada,* Kiyotake Suenaga, Mitsuhiro Sekiguchi, Hideyuki Shigemori, and Koji Hasegawa
|
| Vol 71, Issue 3, 2007, pp.609-617, |
| COM-06-10967 |
|
|
| |
 |
|
| Paper |
A New One-Step Synthesis of 1,2,4-Triazino[2,3-c]quinazolines
|
Oleksandr V. Karpenko,* Sergiy I. Kovalenko, Oleksiy O. Chekotylo, and Svitlana V. Shishkina
|
| Vol 71, Issue 3, 2007, pp.619-626, |
| COM-06-10971 |
|
|
| |
 |
|
| Paper |
Total Synthesis of (S)-(+)- and (R)-(-)-Curcudiols Based on 1,2-Aryl Migration via Phenonium Ion
|
Takeru Ehara, Hirofumi Yokoyama, Machiko Ono, and Hiroyuki Akita*
|
| Vol 71, Issue 3, 2007, pp.627-634, |
| COM-06-10972 |
|
|
| |
 |
|
| Paper |
Chemoselective Synthesis of New Dibenzo[d,f]-1,3-dioxepines and 12H-Dibenzo[d,g]-1,3-dioxocines
|
Graziella Tocco,* Michela Begala, Gabriele Meli, and Gianni Podda
|
| Vol 71, Issue 3, 2007, pp.635-645, |
| COM-06-10975 |
|
|
| |
 |
|
| Paper |
Synthesis and Cytostatic Evaluation of Pyridopyrimidobenzimidazole Derivatives
|
Kristina Starcevic, Marijeta Kralj, Katja Ester, and Grace Karminski-Zamola*
|
| Vol 71, Issue 3, 2007, pp.647-656, |
| COM-06-10977 |
|
|
| |
 |
|
| Note |
Synthesis of 2-Unsubstituted 2,3,5,6,7,8-Hexahydropyrazolo[4,3-d][1,2]diazepinone-8-carboxylates
|
David Bevk, Jurij Svete,* and Branko Stanovnik*
|
| Vol 71, Issue 3, 2007, pp.657-668, |
| COM-06-10921 |
|
|
| |
 |
|
| Note |
Synthesis of a 9-Aza Analogue of Eleutherol
|
Norman O. Townsend and Yvette A. Jackson*
|
| Vol 71, Issue 3, 2007, pp.669-675, |
| COM-06-10952 |
|
|
| |
 |
|
| Note |
Silica Sulfuric Acid as an Efficient and Reusable Catalyst for the Pechmann Synthesis of Coumarins under Solvent-Free Conditions
|
Minoo Dabiri,* Peyman Salehi,* Mohammad Ali Zolfigol, and Mostafa Baghbanzadeh
|
| Vol 71, Issue 3, 2007, pp.677-682, |
| COM-06-10956 |
|
|
| |
 |
|
| Note |
Oxidative Aromatization of 3,5-Disubstituted Isoxazolines to the Corresponding Isoxazoles with N,N,N’,N’-Tetrabromobenzene-1,3-disolfonamide (TBBDS) and 1,3-Dibromo-5,5-dimetylhydantoin (DBH) as Efficient Reagents under Mild Reaction Conditions
|
Davood Azarifar,* Behrooz Maleki, and Kobra Mohammadi
|
| Vol 71, Issue 3, 2007, pp.683-689, |
| COM-06-10961 |
|
|
| |
 |
|
| Note |
Synthesis of 4,5-Diaminopyrrolo[1,2-a]quinoline Derivatives by a Lewis Acid Catalyzed Reaction of 2-(Pyrrol-1-yl)benzaldimines with Isocyanides
|
Kazuhiro Kobayashi,* Yasutoshi Himei, Yuichi Izumi, Shuhei Fukamachi, Osamu Morikawa, and Hisatoshi Konishi
|
| Vol 71, Issue 3, 2007, pp.691-697, |
| COM-06-10963 |
|
|
| |
 |
|
| Note |
Synthesis of 3-(2-Pyridyl)-2-pyrazoline Derivatives as Candidates for Heterocyclic Chiral Ligands of the Chirality Relay Types
|
Hiroshi Yanagita and Shuji Kanemasa*
|
| Vol 71, Issue 3, 2007, pp.699-709, |
| COM-06-10981 |
|
|
| |
 |
|
| Review |
Pyrrolo[2,1-b]thiazoles
|
Anton V. Tverdokhlebov
|
| Vol 71, Issue 4, 2007, pp.761-798, |
| REV-06-616 |
|
|
| |
 |
|
| Communication |
Synthesis and Electron-Transporting Ability of 3,6-Diaryl-4,5-diazafluorenes Modified Using Direct Arylation
|
Katsuhiko Ono,* Kyohei Nagano, Michitaka Suto, and Katsuhiro Saito
|
| Vol 71, Issue 4, 2007, pp.799-804, |
| COM-06-10983 |
|
|
| |
 |
|
| Paper |
Aluminum Dodecatungstophosphate Promoted Synthesis of 1,5-Benzodiazepine Derivatives under Solvent-Free Conditions
|
Razieh Fazaeli,* Hamid Aliyan,* and Shahram Tangestaninejad
|
| Vol 71, Issue 4, 2007, pp.805-814, |
| COM-06-10948 |
|
|
| |
 |
|
| Paper |
Regio- and Stereoselective Head-to-Head Photo[2+2]cycloaddition of 3-(1-Methyl-2-phenylsulfanyl-1H-imidazol-5-yl)propenoates
|
Shunsaku Ohta,* Abdul Khadeer, Akiko Kakuno, Ikuo Kawasaki, and Masayuki Yamashita
|
| Vol 71, Issue 4, 2007, pp.815-833, |
| COM-06-10964 |
|
|
| |
 |
|
| Paper |
Pictet-Spengler Synthesis of Some New Indolo[2,3-c]quinolines
|
Saida A. Dabaien, Mustafa M. El-Abadelah,* Salim F. Haddad, and Helmut Duddeck
|
| Vol 71, Issue 4, 2007, pp.835-846, |
| COM-06-10982 |
|
|
| |
 |
|
| Paper |
Copper(I) Iodide-Catalyzed Coupling Reaction of Haloindoles with α-Amino Acids
|
Masayuki Kurokawa, Waka Nakanishi, and Tsutomu Ishikawa*
|
| Vol 71, Issue 4, 2007, pp.847-854, |
| COM-06-10985 |
|
|
| |
 |
|
| Paper |
A Stepwise Synthesis of Bi-1,2,5-thiadiazole Compounds Using S4N4·SbCl5 Complex
|
Kil-Joong Kim* and Kyongtae Kim
|
| Vol 71, Issue 4, 2007, pp.855-863, |
| COM-07-10989 |
|
|
| |
 |
|
| Paper |
Synthesis of Vinca Alkaloids and Related Compounds. Part 107. An Efficient Convergent Synthetic Pathway to Build up the Ibophyllidine Skeleton III. Total Synthesis of (±)-Ibophyllidine and (±)-20-Epiibophyllidine
|
Flórián Tóth, György Kalaus,* István Greiner, Mária Kajtár-Peredy, Ágnes Gömöry, László Hazai, and Csaba Szántay
|
| Vol 71, Issue 4, 2007, pp.865-880, |
| COM-07-10991 |
|
|
| |
 |
|
| Paper |
A Novel Divergent Synthesis of ortho-Hydroxy-E and -F Oxide-Bridged 5-Phenylmorphans
|
Josef Zezula, Arthur E. Jacobson, and Kenner C. Rice*
|
| Vol 71, Issue 4, 2007, pp.881-889, |
| COM-07-11000 |
|
|
| |
 |
|
| Paper |
Synthesis of Mexiletine Analogues from Non-Activated Aziridines
|
Truls Ingebrigtsen and Tore Lejon*
|
| Vol 71, Issue 4, 2007, pp.891-902, |
| COM-07-11001 |
|
|
| |
 |
|
| Paper |
Mechanism of Criss-Cross Reaction of Aromatic Glyoxalimines with Potassium Cyanate and Thiocyanate
|
Jirí Hanusek,* Jirí Verner, and Milan Potácek
|
| Vol 71, Issue 4, 2007, pp.903-910, |
| COM-07-11002 |
|
|
| |
 |
|
| Paper |
Chemoselective Oxidation of 6-Hydroxyalkylpteridine and Its Application to Synthesis of 6-Acyl-7,8-dihydropteridine
|
Sudhir S. Landge, Kazunari Kudoh, Yuri Yamada, and Shizuaki Murata*
|
| Vol 71, Issue 4, 2007, pp.911-918, |
| COM-07-11003 |
|
|
| |
 |
|
| Note |
Bismuth Nitrate-Catalyzed Michael Reactions of Indoles in Water
|
Bimal K. Banik,* Isabella Garcia, and Frances R. Morales
|
| Vol 71, Issue 4, 2007, pp.919-924, |
| COM-06-10957 |
|
|
| |
 |
|
| Note |
An Efficient Two-Step Synthesis of 4-Methyl-1,2,3,5,6,10b-hexahydropyrimido[5,4-c]quinoline-2,5-diones via Biginelli Reaction
|
Lhassane Ismaili, Sophie Ubaldi, Jean-Francois Robert, Alain Xicluna, and Bernard Refouvelet*
|
| Vol 71, Issue 4, 2007, pp.925-932, |
| COM-06-10970 |
|
|
| |
 |
|
| Note |
Synthesis of Indolizidine 167B
|
Meng-Yang Chang,* Tsun-Cheng Wu, and Ya-Jung Ko
|
| Vol 71, Issue 4, 2007, pp.933-940, |
| COM-07-10997 |
|
|
| |
 |
|
| Note |
Four New Lignans from Kadsura heteroclita
|
Li-jia Xu, Yong Peng, Si-bao Chen,* Shi-lin Chen, and Pei-gen Xiao*
|
| Vol 71, Issue 4, 2007, pp.941-947, |
| COM-07-10999 |
|
|
| |
 |
|
| Review |
Advances in the Synthesis and Biological Perspectives of Benzannulated Medium Ring Heterocycles
|
Tirtha Pada Majhi, Basudeb Achari, and Partha Chattopadhyay*
|
| Vol 71, Issue 5, 2007, pp.1011-1052, |
| REV-07-612 |
|
|
| |
 |
|
| Communication |
Efficient 2-Amino-2-thiazolin-4-ones or 2-Iminothiazolidin-4-ones Formation from Thioureas and Maleimides under Solvent-Free Conditions
|
Tetsuro Shimo, Yuki Matsuda, Tetsuo Iwanaga, Teruo Shinmyozu, and Kenichi Somekawa*
|
| Vol 71, Issue 5, 2007, pp.1053-1058, |
| COM-07-11012 |
|
|
| |
 |
|
| Paper |
Synthesis of Lactam Analog of 4-Epi-brefeldin A
|
Seung-Mann Paek, Seung-Yong Seo, Kyung-Hoon Min, Dong Mok Shin, Young Keun Chung, and Young-Ger Suh*
|
| Vol 71, Issue 5, 2007, pp.1059-1066, |
| COM-07-10987 |
|
|
| |
 |
|
| Paper |
Cassane and Norcassane Diterpenoids of Caesalpinia bonduc
|
Joy S. Roach, Stewart McLean, William F. Reynolds, and Winston F. Tinto*
|
| Vol 71, Issue 5, 2007, pp.1067-1073, |
| COM-07-10992 |
|
|
| |
 |
|
| Paper |
Dimerization of (+)-Lysergic Acid Esters
|
István Moldvai,* Eszter Gács-Baitz, Eszter Termesvári-Major, Luca Russo, Imre Pápai, Kari Rissanen, Éva Szárics, Julianna Kardos, and Csaba Szántay
|
| Vol 71, Issue 5, 2007, pp.1075-1094, |
| COM-07-11011 |
|
|
| |
 |
|
| Paper |
Reaction of Hydrazonoyl Chlorides to Trimethylsilyl Homoallyl Ethers
|
Paola Del Buttero, Giorgio Molteni,* Sara Mondini, and Alessandro Ponti
|
| Vol 71, Issue 5, 2007, pp.1095-1105, |
| COM-07-11013 |
|
|
| |
 |
|
| Paper |
Efficient Synthesis of Pyrimidinecarbonitriles and Their Derivatives
|
Petra Doláková, Milena Masojídková, and Antonín Holy*
|
| Vol 71, Issue 5, 2007, pp.1107-1115, |
| COM-07-11014 |
|
|
| |
 |
|
| Paper |
Four Acylated Cyanidin 3-Sambubioside-5-glucosides from the Purple-Violet Flowers of Lobularia maritima
|
Fumi Tatsuzawa,* Kenjiro Toki, Norio Saito, Koichi Shinoda, Atsushi Shigihara, and Toshio Honda
|
| Vol 71, Issue 5, 2007, pp.1117-1125, |
| COM-07-11034 |
|
|
| |
 |
|
| Note |
Efficient Synthesis of (±)-N-Boc-pregabalin via Hetero-Diels-Alder Addition of Methyl 3-Nitrosoacrylate to Ethyl Vinyl Ether
|
John K. Gallos,* Elli S. Alexandraki, and Christos I. Stathakis
|
| Vol 71, Issue 5, 2007, pp.1127-1134, |
| COM-07-10994 |
|
|
| |
 |
|
| Note |
Pubescenone, a New Marasmane Sesquiterpenoid from the Mushroom Lactarius pubescens
|
Hong-Jun Shao, Chun-Jiang Wang, Yun Dai, Fei Wang, Wan-Qiu Yang, and Ji-Kai Liu*
|
| Vol 71, Issue 5, 2007, pp.1135-1139, |
| COM-07-11015 |
|
|
| |
 |
|
| Note |
Efficient One-Pot Synthesis of 2-Substituted Furans from 3,3-Diethoxypropyne and Aldehydes Using a Ti(O-i-Pr)4/2 i-PrMgCl Reagent
|
Deok Ki Eom, Seong Jib Choi, and Duk Keun An*
|
| Vol 71, Issue 5, 2007, pp.1141-1146, |
| COM-07-11017 |
|
|
| |
 |
|
| Note |
Four New Prenylated 2-Arylbenzofurans from the Root Bark of Artocarpus petelotii
|
Hong Shen, Ai-Jun Hou,* and Ji-Zong Li
|
| Vol 71, Issue 5, 2007, pp.1147-1154, |
| COM-07-11019 |
|
|
| |
 |
|
| Note |
Semisynthesis and Antifeedant Activity of New Acylated Derivatives of Tutin, a Sesquiterpene Lactone from Coriaria sinica
|
Meng-Lou Li, Jun Cui, Rui-Hao Qin, Jin-Ming Gao,* Yan-Bing Zhang, Xin-Rong Guo, and Wei Zhang
|
| Vol 71, Issue 5, 2007, pp.1155-1162, |
| COM-07-11021 |
|
|
| |
 |
|
| Note |
N-Methylpseudoephedrine-Mediated Asymmetric Syntheses of O-Carboxyalkylated Flavones
|
Kyoung Hee Kang, Ji Hyeon Heo, Yongtae Kim, and Yong Sun Park*
|
| Vol 71, Issue 5, 2007, pp.1163-1171, |
| COM-07-11022 |
|
|
| |
 |
|
| Note |
An Improved Synthesis of 3-Methyl-4-nitro-5-heteroarylethenylisoxazoles
|
Mauro F. A. Adamo,* Eleanor F. Duffy, Vivekananda R. Konda, and Finbar Murphy
|
| Vol 71, Issue 5, 2007, pp.1173-1181, |
| COM-07-11023 |
|
|
| |
 |
|
| Note |
Preparation of a 1-Unsubstituted-2,3-Dihydro-1-benzazepine Derivative
|
Atsuko Nishiguchi,* Tomomi Ikemoto, Tatsuya Ito, Shotaro Miura, and Kiminori Tomimatsu
|
| Vol 71, Issue 5, 2007, pp.1183-1192, |
| COM-07-11025 |
|
|
| |
 |
|
| Note |
New Flavanone Oligoglycosides, Theaflavanosides I, II, III, and IV, with Hepatoprotective Activity from the Seeds of Tea Plant (Camellia sinensis)
|
Ning Li, Toshio Morikawa, Hisashi Matsuda, Kiyofumi Ninomiya, Xian Li, and Masayuki Yoshikawa*
|
| Vol 71, Issue 5, 2007, pp.1193-1201, |
| COM-07-11028 |
|
|
| |
 |
|
| Note |
Synthesis of a Diastereomeric Mixture of (4R,5S,6E,14R)- and (4R,5S,6E,14S)-Melithiazols G
|
Hiroyuki Takayama, Keisuke Kato, Masayuki Kimura, and Hiroyuki Akita*
|
| Vol 71, Issue 5, 2007, pp.1203-1209, |
| COM-07-11032 |
|
|
| |
 |
|
| Review |
The Chemistry of Calixpyrroles
|
Vinod K. Jain* and Hiren C. Mandalia
|
| Vol 71, Issue 6, 2007, pp.1261-1314, |
| REV-07-611 |
|
|
| |
 |
|
| Paper |
Preparation and Structure of Bicycloalkane-Condensed Aryldiaziridines Accompanied by Pyrimidines
|
Pál Sohár, Antal Csámpai, Reijo Sillanpää, Ferenc Fülöp, and Géza Stájer*
|
| Vol 71, Issue 6, 2007, pp.1315-1326, |
| COM-07-11018 |
|
|
| |
 |
|
| Paper |
Domino Inverse Electron Demand Diels-Alder Reactions of Chromones with Ethyl Vinyl Ether
|
Jorge Heredia-Moya, Karsten Krohn,* Ulrich Flörke, Hernán Pessoa-Mahana, Boris Weiss-López, Ana Estévez-Braun, and Ramiro Araya-Maturana*
|
| Vol 71, Issue 6, 2007, pp.1327-1345, |
| COM-07-11026 |
|
|
| |
 |
|
| Paper |
Synthesis of Novel Dipyrido-1,4-thiazines
|
Beata Morak-Mlodawska and Krystian Pluta*
|
| Vol 71, Issue 6, 2007, pp.1347-1361, |
| COM-07-11035 |
|
|
| |
 |
|
| Paper |
1-Substituted 4-Hydroxy-3-quinolinesulfonic Acids – Preparation and Structures
|
Leszek Skrzypek* and Kinga Suwinska
|
| Vol 71, Issue 6, 2007, pp.1363-1370, |
| COM-07-11036 |
|
|
| |
 |
|
| Paper |
Intramolecular Nitrilimine Cycloadditions to the Thiophene and the Furan Rings
|
Giorgio Molteni,* Sara Mondini, and Alessandro Ponti
|
| Vol 71, Issue 6, 2007, pp.1371-1379, |
| COM-07-11039 |
|
|
| |
 |
|
| Paper |
Stereoselective Synthesis of Polyfunctionalized Aziridines
|
Luigino Troisi,* Catia Granito, Emanuela Pindinelli, and Ludovico Ronzini
|
| Vol 71, Issue 6, 2007, pp.1381-1396, |
| COM-07-11045 |
|
|
| |
 |
|
| Paper |
Synthesis of Thymine Polyoxin C by Using L-Threonine Aldolase-Catalyzed Aldol Reaction
|
Toshihiro Nishiyama, Swapnil Surendra Mohile, Tetsuya Kajimoto,* and Manabu Node*
|
| Vol 71, Issue 6, 2007, pp.1397-1405, |
| COM-07-11055 |
|
|
| |
 |
|
| Note |
Synthesis of 1,2,4-Triazolo[3,2-b]benzothiazoles by Photolysis of Sulfilimines Having a (Methylthio)carbonimidoyl Group
|
Masahiko Takahashi* and Shohtaroh Satoh
|
| Vol 71, Issue 6, 2007, pp.1407-1411, |
| COM-07-11043 |
|
|
| |
 |
|
| Note |
Synthetic Methods for Preparing 1,3-Di(2-pyridyl)azulene
|
Mitsunori Oda,* Sayaka Kishi, Nguyen Chung Thanh, and Shigeyasu Kuroda
|
| Vol 71, Issue 6, 2007, pp.1413-1416, |
| COM-07-11053 |
|
|
| |
 |
|
| Review |
Pyrazole Chemistry in Crop Protection
|
Clemens Lamberth
|
| Vol 71, Issue 7, 2007, pp.1467-1502, |
| REV-07-613 |
|
|
| |
 |
|
| Communication |
The Nicotinic Acid-p-Aminophenylalanine-Hydroxybenzoic Acid Triads Induce Apoptosis in Human Leukemia U937 Cells
|
Mika Yamaguchi, Ryota Saito, Keiichiro Utsumi, Akira Ochiai, Norimichi Kawashima, Yoshikazu Tokuoka, and Akira Katoh*
|
| Vol 71, Issue 7, 2007, pp.1503-1508, |
| COM-07-11071 |
|
|
| |
 |
|
| Paper |
Microwave Mediated Synthesis of 3,4,4a,11a-Tetrahydro-5-phenyl/5-(4’-substituted phenyl)-2H-indeno[1,2-b]pyrano[3,2-e]pyran-6(5H)-ones
|
Som N. Dhawan, Mamta Sharma, Sunita Bajaj, Kusum Sharma, and Somesh Sharma*
|
| Vol 71, Issue 7, 2007, pp.1509-1516, |
| COM-07-10988 |
|
|
| |
 |
|
| Paper |
Reaction of 3-Methylenedihydro-(3H)furan-2-one with Diazoalkanes. Syntheses and Crystal Structures of Spiranic Cyclopropyl Compounds
|
Christophe Roussel, Kabula Ciamala,* Joël Vebrel, Michael Knorr, and Marek M. Kubicki
|
| Vol 71, Issue 7, 2007, pp.1517-1528, |
| COM-07-10998 |
|
|
| |
 |
|
| Paper |
On the Photoreaction of Some 1,2,4-Oxadiazoles in the Presence of 2,3-Dimethyl-2-butene. Synthesis of N-Imidoylaziridines
|
Antonio Palumbo Piccionello, Ivana Pibiri, Andrea Pace, Rosa Angela Raccuglia, Silvestre Buscemi, Nicolò Vivona,* and Gianluca Giorgi
|
| Vol 71, Issue 7, 2007, pp.1529-1537, |
| COM-07-11040 |
|
|
| |
 |
|
| Paper |
First Total Synthesis of (±)-Flustraminol B
|
Oscar R. Suárez-Castillo,* Maricruz Sánchez-Zavala, Myriam Meléndez-Rodríguez, Eliazar Aquino-Torres, Martha S. Morales-Ríos, and Pedro Joseph-Nathan
|
| Vol 71, Issue 7, 2007, pp.1539-1551, |
| COM-07-11048 |
|
|
| |
 |
|
| Paper |
Aromatic Electrophilic Substitutions on Vindoline
|
Álmos Gorka-Kereskényi, Lajos Szabó, László Hazai, Miklós Lengyel, Csaba Szántay, Jr., Zsuzsanna Sánta, György Kalaus, and Csaba Szántay*
|
| Vol 71, Issue 7, 2007, pp.1553-1563, |
| COM-07-11049 |
|
|
| |
 |
|
| Paper |
Bioactive Constituents from Chinese Natural Medicines. XXV. New Flavonol Bisdesmosides, Sarmenosides I, II, III, and IV, with Hepatoprotective Activity from Sedum sarmentosum (Crassulaceae)
|
Yi Zhang, Toshio Morikawa, Seikou Nakamura, Kiyofumi Ninomiya, Hisashi Matsuda, Osamu Muraoka, and Masayuki Yoshikawa*
|
| Vol 71, Issue 7, 2007, pp.1565-1576, |
| COM-07-11050 |
|
|
| |
 |
|
| Paper |
Synthesis, Characterization, and Biological Activities of New Benzofuran Derivatives
|
Kifah S. M. Salih, Mikdad T. Ayoub, Haythem A. Saadeh, Najim A. Al-Masoudi, and Mohammad S. Mubarak*
|
| Vol 71, Issue 7, 2007, pp.1577-1587, |
| COM-07-11052 |
|
|
| |
 |
|
| Paper |
Microwave-Assisted Efficient Synthesis of Polymethoxyacetophenones and Natural Polymethoxyflavones, and Their Inhibitory Effects on Melanogenesis
|
Masao Tsukayama,* Eiji Kusunoki, Mohammad M. Hossain, Yasuhiko Kawamura, and Shinji Hayashi
|
| Vol 71, Issue 7, 2007, pp.1589-1600, |
| COM-07-11054 |
|
|
| |
 |
|
| Note |
Eco-Friendly Synthesis of Novel Lariat Ethers via Mannich Reaction under Solventless Conditions
|
Hashem Sharghi* and Reza Khalifeh
|
| Vol 71, Issue 7, 2007, pp.1601-1614, |
| COM-07-11044 |
|
|
| |
 |
|
| Note |
One-Pot Heterocondensation for Benzoxazinone Derivatives Using Sodium Perborate as Catalyst
|
Mazaahir Kidwai,* Priya, and Kavita Singhal
|
| Vol 71, Issue 7, 2007, pp.1615-1622, |
| COM-07-11046 |
|
|
| |
 |
|
| Note |
Studies toward the Synthesis of Toddaquinoline by Intramolecular Cyclization
|
Georgeta Serban,* Yasumi Shigeta, Hiromi Nishioka, Hitoshi Abe, Yasuo Takeuchi, and Takashi Harayama*
|
| Vol 71, Issue 7, 2007, pp.1623-1630, |
| COM-07-11062 |
|
|
| |
 |
|
| Review |
Inclusion Complexes Containing Quaternary Azaaromatic Moieties
|
Wanda Sliwa* and Jerzy Peszke
|
| Vol 71, Issue 8, 2007, pp.1685-1713, |
| REV-06-615 |
|
|
| |
 |
|
| Communication |
Design and Synthesis of Novel Ring-Expanded Arbekacin Analogues
|
Nobuto Minowa,* Yukiko Hiraiwa, Yoshihisa Akiyama, Kazunori Maebashi, Takayuki Usui, and Daishiro Ikeda
|
| Vol 71, Issue 8, 2007, pp.1715-1721, |
| COM-07-11081 |
|
|
| |
 |
|
| Paper |
Molecular Design and Synthesis of 4,8-Di(hetero)arylquinazolines with Potential Applications in Quadratic Nonlinear Optics. Diazines Part 48
|
Alexandrine Busch, Alain Turck, Kamila Nowicka, Alberto Barsella, Chantal Andraud, and Nelly Plé*
|
| Vol 71, Issue 8, 2007, pp.1723-1741, |
| COM-06-10984 |
|
|
| |
 |
|
| Paper |
The Thorpe-Ingold Effect in Cyclic Imides. Part III
|
Michal Pawlowski, Krystyna Wojtasiewicz, Jan K. Maurin, Andrzej Leniewski, Dariusz Blachut, and Zbigniew Czarnocki*
|
| Vol 71, Issue 8, 2007, pp.1743-1754, |
| COM-07-11047 |
|
|
| |
 |
|
| Paper |
Synthesis of 2-Aryl-2H-indazoles via Copper(I)-Catalyzed Intramolecular Amination Reaction
|
Rui Liu, Yong-ming Zhu,* Lie-na Qin, Shun-jun Ji, and Hajime Katayama
|
| Vol 71, Issue 8, 2007, pp.1755-1763, |
| COM-07-11058 |
|
|
| |
 |
|
| Paper |
Synthesis and Antimicrobial Evaluation of Novel Pyrazolo[1,5-a]pyrimidine, Triazolo[1,5-a]pyrimidine and Pyrimido[1,2-a]benzimidazole Derivatives
|
Mohamed R. Shaaban, Tamer S. Saleh, and Ahmad M. Farag*
|
| Vol 71, Issue 8, 2007, pp.1765-1777, |
| COM-07-11060 |
|
|
| |
 |
|
| Paper |
New Constituents from the Roots of Erythrina x bidwillii
|
Hitoshi Tanaka,* Hisanori Hattori, Masaru Sato, Ryozo Yamaguchi, Toshio Fukai, Toshihiro Tanaka, and Eiji Sakai
|
| Vol 71, Issue 8, 2007, pp.1779-1785, |
| COM-07-11065 |
|
|
| |
 |
|
| Paper |
Stereoselective Synthesis of D-1-Deoxynojirimycin and Its Stereoisomers
|
In Su Kim, Ho Young Lee, and Young Hoon Jung*
|
| Vol 71, Issue 8, 2007, pp.1787-1800, |
| COM-07-11066 |
|
|
| |
 |
|
| Paper |
Synthesis of Arnoamine B and Related Compounds
|
Shinsuke Nakahara,* Akinori Kubo, Yuzuru Mikami,* and Hiroki Mitani
|
| Vol 71, Issue 8, 2007, pp.1801-1806, |
| COM-07-11074 |
|
|
| |
 |
|
| Paper |
New Kehokorins and Trichiols from the Myxomycete Trichia favoginea
|
Kousuke Watanabe, Takashi Ohtsuki, Yukinori Yamamoto, and Masami Ishibashi*
|
| Vol 71, Issue 8, 2007, pp.1807-1814, |
| COM-07-11075 |
|
|
| |
 |
|
| Note |
One-Pot Conversion of N-Arylglycines to Sydnones Efficiently Promoted by Bis-chlorine-1,4-diazabicyclo[2.2.2]octane Complex (Cl2-DABCO) in the Presence of NaNO2/Ac2O under Neutral Conditions
|
Davood Azarifar,* Hassan Ghasemnejad-Bosra, Mahmood Tajbaksh, and Setareh Habibzadeh
|
| Vol 71, Issue 8, 2007, pp.1815-1819, |
| COM-07-11033 |
|
|
| |
 |
|
| Note |
A Simple and Efficient Method for Synthesis of Benzimidazoles Using FeBr3 or Fe(NO3)3·9H2O as Catalyst
|
Huiqiang Ma, Xiangming Han, Yulu Wang,* and Jinye Wang*
|
| Vol 71, Issue 8, 2007, pp.1821-1825, |
| COM-07-11070 |
|
|
| |
 |
|
| Note |
A Facile Synthesis of 1,1-Disubstituted Isoindoline Derivatives by Intramolecular Iodoamination of 2-Vinylbenzylamine Derivatives
|
Kazuhiro Kobayashi,* Shizuka Kondo, Kenichi Hashimoto, Shuhei Fukamachi, Osamu Morikawa, and Hisatoshi Konishi
|
| Vol 71, Issue 8, 2007, pp.1827-1835, |
| COM-07-11072 |
|
|
| |
 |
|
| Note |
A Green Method for the Synthesis of 2-Arylbenzothiazoles
|
Chhanda Mukhopadhyay* and Arup Datta
|
| Vol 71, Issue 8, 2007, pp.1837-1842, |
| COM-07-11079 |
|
|
| |
 |
|
| Note |
Synthesis of Enantiomerically Pure (+)- and (-)-3-Methyl-3-(2-naphthyl)-2H-
benzo[e][1,2]thiazine 1,1,4-Triones
|
Zhao-Peng Liu*
|
| Vol 71, Issue 8, 2007, pp.1843-1849, |
| COM-07-11084 |
|
|
| |
 |
|
| Paper |
Synthesis of N-Imidazolidin-2-ylidenehydrazones and Their Transformation into 5,10,11,12a-Tetrahydro-6H,9H-imidazo[2’,1’:3,4][1,2,4]triazolo[1,5-c]quinazoline-6-thiones
|
Anita Kornicka* and Maria Gdaniec
|
| Vol 71, Issue 9, 2007, pp.1907-1917, |
| COM-07-10995 |
|
|
| |
 |
|
| Paper |
Chemistry of Nitroenamines. Synthesis of Pyrrolizine Derivatives
|
Mihály V. Pilipecz, Zoltán Mucsi, Péter Nemes,* and Pál Scheiber
|
| Vol 71, Issue 9, 2007, pp.1919-1928, |
| COM-07-11073 |
|
|
| |
 |
|
| Paper |
Conversion of Bacteriochlorophyll-A to Bacteriopurpurin-18: A Useful Synthon for the Construction of Bioactive Agents for Photodynamic Therapy (PDT)
|
Lalit N. Goswami, Yihui Chen, Joseph Missert, Guolin Li, Alex Pallenberg, and Ravindra K. Pandey*
|
| Vol 71, Issue 9, 2007, pp.1929-1949, |
| COM-07-11077 |
|
|
| |
 |
|
| Paper |
Utility of Cyanoacetamides as Precursors to Pyrazolo[3,4-d]pyrimidin-4-ones, 2-Aryl-6-substituted 1,2,3 Triazolo[4,5-d]pyrimidines and Pyrazolo[1,5-a]pyrimidine-3-carboxamides
|
Hamada Mohamed Ibrahim, Saad Makhseed,* Ramadan Maawad Abdel-Motaleb, Abdel-Moneim Abdel-Salam Makhlouf, and Mohamed Hilmy Elnagdi
|
| Vol 71, Issue 9, 2007, pp.1951-1966, |
| COM-07-11083 |
|
|
| |
 |
|
| Paper |
Two-Stage Sonogashira Coupling Method in the Synthesis of Auxin Active Acetylenes
|
G. Wayne Craig,* Martin Eberle, Bruno Irminger, Anegret Schückenböhmer, Yvette Laime, and Patrick Müller
|
| Vol 71, Issue 9, 2007, pp.1967-1974, |
| COM-07-11087 |
|
|
| |
 |
|
| Paper |
From Haloquinolines and Halopyridines to Quinoline- and Pyridinesulfonyl Chlorides and Sulfonamides
|
Andrzej Maslankiewicz,* Krzysztof Marciniec, Maciej Pawlowski, and Pawel Zajdel
|
| Vol 71, Issue 9, 2007, pp.1975-1990, |
| COM-07-11088 |
|
|
| |
 |
|
| Paper |
Properties of the Keto Amides Formed by Aminolysis of 3,7-Diarylpyrano[4,3-c]pyran-1,5-dione Derivatives: A Solid-State Reaction, Crystal Structures, and Thermal Analysis
|
Chika Kawabe, Keitaro Kawakita, Masanori Morinaga, Mitsuru Kondo, and Hajime Irikawa*
|
| Vol 71, Issue 9, 2007, pp.1991-2001, |
| COM-07-11090 |
|
|
| |
 |
|
| Paper |
Synthesis and Properties of 3,2’-Polymethylene-2-phenylbenzo[b]-1,10-phenanthrolines
|
A. F. M. Motiur Rahman and Yurngdong Jahng*
|
| Vol 71, Issue 9, 2007, pp.2003-2010, |
| COM-07-11094 |
|
|
| |
 |
|
| Paper |
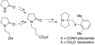
Pilsicainide and Its Oxymethylene Analog: Facile Alternative Syntheses and in vitro Testing on Human Skeletal Muscle Sodium Channels
|
Claudio Bruno, Alessia Catalano, Jean-Francois Desaphy, Maria M. Cavalluzzi, Alessia Carocci, Antonella Dipalma, Carlo Franchini, Giovanni Lentini,* Diana Conte Camerino, and Vincenzo Tortorella
|
| Vol 71, Issue 9, 2007, pp.2011-2026, |
| COM-07-11096 |
|
|
| |
 |
|
| Note |
Biomimetic Aromatization of Hantzsch 1,4-Dihydropyridines by S-S Bonds under Mild Conditions
|
Hamid Aliyan,* Razieh Fazaeli, Ahmad Reza Moemeni, Ahmad Reza Massah, Hamid Javaherian Naghash, and Fattaneh Khosravi
|
| Vol 71, Issue 9, 2007, pp.2027-2034, |
| COM-07-11030 |
|
|
| |
 |
|
| Note |
Sessilifoliamide I, a New Alkaloid from Stemona sessilifolia
|
Yukio Hitotsuyanagi, Maho Hikita, Kazuhiro Nakada, Haruhiko Fukaya, and Koichi Takeya*
|
| Vol 71, Issue 9, 2007, pp.2035-2040, |
| COM-07-11051 |
|
|
| |
 |
|
| Note |
Synthesis of 6-Cycloalkylcarbonyl-2(3H)-benzothiazolones via 6-Tributyltin Intermediates
|
Pascal Carato,* Kallyl Cherry, Nicolas Lebegue, Pascal Berthelot, and Saïd Yous
|
| Vol 71, Issue 9, 2007, pp.2041-2047, |
| COM-07-11078 |
|
|
| |
 |
|
| Note |
Synthesis of New Heterocyclic System: 1(5)H-1,5-Diazacycl[3.3.2]azine-2,4-dione
|
Anton V. Dolzhenko, Anna V. Dolzhenko, and Wai-Keung Chui*
|
| Vol 71, Issue 9, 2007, pp.2049-2054, |
| COM-07-11092 |
|
|
| |
 |
|
| Note |
Pecrassipines A and B, Seco-Bisbenzylisoquinoline Alkaloids from Phaeanthus crassipetalus
|
Khalijah Awang,* Saripah Salbiah Syed Abd. Azziz, A. Hamid A. Hadi, Hiroshi Morita, Yusuke Hirasawa, Toru Iizuka, Marc Litaudon, and Mat Ropi Mukhtar
|
| Vol 71, Issue 9, 2007, pp.2055-2061, |
| COM-07-11102 |
|
|
| |
 |
|
| Communication |
First Total Syntheses of New Phenylpropanoid Lignans, (±)-Aglacin K Stereoisomer and (±)-Arborone
|
Masaki Takahashi, Koji Takada, Daisuke Matsuura, Kunihiko Takabe, and Hidemi Yoda*
|
| Vol 71, Issue 10, 2007, pp.2113-2118, |
| COM-07-11119 |
|
|
| |
 |
|
| Paper |
Synthesis, Structure, and Fluorescent Properties of [2.1.2.1]Metacyclophane Containing 2-(9-Anthralyl)imidazoles
|
Yousuke Nishiyama, Tsuyoshi Sawada,* Akiko Furuta, Aiko Sato, Kazuhumi Chifuku, Yutaka Kuwahara, and Hideto Shosenji
|
| Vol 71, Issue 10, 2007, pp.2119-2130, |
| COM-07-11024 |
|
|
| |
 |
|
| Paper |
Design, Synthesis, and Evaluation of Tetrahydroquinoline-Linked Thiazolidinedione Derivatives as PPARγ Selective Activators
|
HyeSung Kim, HyoJin Gim, Mihi Yang, Jae-Ha Ryu, and Raok Jeon*
|
| Vol 71, Issue 10, 2007, pp.2131-2154, |
| COM-07-11095 |
|
|
| |
 |
|
| Paper |
Heterocycles [h]-Fused onto 4-Oxoqunoline-3-carboxylic Acid, III. Facile Synthesis and Antitumor Activity of Model Heterocycles [a]-Fused onto Pyrido[2,3-f]quinoxaline-3-carboxylic Acids
|
Mohammad Y. Abu Shuheil, Mona R. Hassuneh, Yusuf M. Al-Hiari, Ali M. Qaisi, and Mustafa M. El-Abadelah*
|
| Vol 71, Issue 10, 2007, pp.2155-2172, |
| COM-07-11097 |
|
|
| |
 |
|
| Paper |
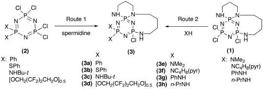
Synthesis and Characterization of Some Fused Tricyclic Spermidine Derivatives of Cyclotriphosphazene
|
Hanife Ibisoglu
|
| Vol 71, Issue 10, 2007, pp.2173-2181, |
| COM-07-11098 |
|
|
| |
 |
|
| Paper |
Novel 2H-1,2,3-Triazole Sodium Complex from N-[2-Amino-1,2-dicyanovinyl]alkanamides
|
Amal Al-Azmi,* Paulson George, and Osman M. E. El-Dusouqui
|
| Vol 71, Issue 10, 2007, pp.2183-2201, |
| COM-07-11109 |
|
|
| |
 |
|
| Paper |
Novel and Efficient Synthesis of 5,8-Dimethyl-9H-carbazol-3-ol via a Hydroxydeboronation Reaction
|
Anna Caruso, Anne Sophie Voisin-Chiret, Jean-Charles Lancelot, Maria Stefania Sinicropi, Antonio Garofalo, and Sylvain Rault*
|
| Vol 71, Issue 10, 2007, pp.2203-2210, |
| COM-07-11113 |
|
|
| |
 |
|
| Paper |
Synthesis and Structure of Thiacalix[4]arene Derivatives Bearing Thiazole Functional Groups at Lower Rims
|
Bang-Tun Zhao,* Zhen Zhou, and Zhen-Ning Yan*
|
| Vol 71, Issue 10, 2007, pp.2211-2218, |
| COM-07-11116 |
|
|
| |
 |
|
| Paper |
Reaction of 3-Hydrazono-1,1,1-trifluoro-2-alkanones with Lawesson Reagent Accessing 6-Trifluoromethyl-3,6-dihydro-2H-[1,3,4]thiadiazines
|
Yasuhiro Kamitori,* Tomoko Sekiyama, and Etsuji Okada
|
| Vol 71, Issue 10, 2007, pp.2219-2226, |
| COM-07-11124 |
|
|
| |
 |
|
| Paper |
Preparation of 1,4-Bis(2-ethynyl-3-thienyl)benzenes as Versatile Spacers for Connection of Heterocycles
|
Kozo Toyota,* Yoichi Goto, Kazuyuki Okada, and Noboru Morita
|
| Vol 71, Issue 10, 2007, pp.2227-2236, |
| COM-07-11138 |
|
|
| |
 |
|
| Note |
Synthesis of 1-(3-Isoxazolyl)- and 1-(3-Pyrazolyl)azulene Derivatives via Methyl 1-(3-Dimethylamino-2-propenoyl)azulene-3-carboxylate
|
Dao-Lin Wang,* Jin-Jun Deng, Jiao Xu, and Kimiaki Imafuku*
|
| Vol 71, Issue 10, 2007, pp.2237-2242, |
| COM-07-11101 |
|
|
| |
 |
|
| Note |
Asymmetric Formal Synthesis of (-)-Formoterol and (-)-Tamsulosin
|
Yongeun Kim, Lae-Sung Kang, Hyun-Joon Ha,* Seung Whan Ko, and Won Koo Lee*
|
| Vol 71, Issue 10, 2007, pp.2243-2248, |
| COM-07-11106 |
|
|
| |
 |
|
| Note |
Synthesis and Friedländer Reactions of 5-Amino-4-cyano-1,3-oxazoles
|
M. Carmo Carreiras,* Ana Eleutério, Catarina Dias, M. Alexandra Brito, Dora Brites, J. Marco-Contelles, and Elena Gómez-Sánchez
|
| Vol 71, Issue 10, 2007, pp.2249-2262, |
| COM-07-11110 |
|
|
| |
 |
|
| Note |
Synthesis of 1,3-Diepi-ED-71, a Biologically Important Diastereomer of 1α,25-Dihydroxy-2β-(3-hydroxypropoxy)vitamin D3 (ED-71)
|
Ayako Fujiyama, Mai Kaneko, Keisuke Takahashi, Jun Ishihara, Susumi Hatakeyama, and Noboru Kubodera*
|
| Vol 71, Issue 10, 2007, pp.2263-2271, |
| COM-07-11123 |
|
|
| |
 |
|
| Communication |
Unprecedented Stereocontrol of β-Lactam Formation Derived from N-Cinnamylidenearylamine
|
Bimal K. Banik,* Hector Aguilar, and Daniel Cordova
|
| Vol 71, Issue 11, 2007, pp.2321-2324, |
| COM-07-11134 |
|
|
| |
 |
|
| Communication |
Investigation of the Regioselectivity on the Reaction of 2-Indolylcyanocuprate with N-(Prop-2-en-1-ylidene)aminium Chloride Derivatives
|
Minoru Ishikura,* Hiroyuki Komatsu, Koji Yamada, Takumi Abe, and Reiko Yanada
|
| Vol 71, Issue 11, 2007, pp.2325-2329, |
| COM-07-11149 |
|
|
| |
 |
|
| Paper |
Synthesis of New Tricyclic Spirobispidines via Ring Closing Metathesis Reaction
|
Christian Hametner,* Daniel Dangl, Kurt Mereiter, Martina Marchetti, and Johannes Fröhlich
|
| Vol 71, Issue 11, 2007, pp.2331-2345, |
| COM-07-11063 |
|
|
| |
 |
|
| Paper |
Synthesis of 18-Hydroxyvincamines and Epoxy-1,14-secovincamines; A New Proof for the Aspidospermane-Eburnane Rearrangement
|
András Nemes,* Csaba Szántay Jr., László Czibula, and István Greiner
|
| Vol 71, Issue 11, 2007, pp.2347-2362, |
| COM-07-11114 |
|
|
| |
 |
|
| Paper |
A Novel Method for N3-Functionalized Aminoimidazolines and Aminopyrimidines by Aza-Michael Additions of Aminoimidazolines and Aminopyrimidines to α,β-Unsaturated Carbonyl Compounds
|
Xi-Cun Wang,* Cheng-Wei Lv, Zheng-Jun Quan, Guo-Li Huang, and Wen-Long Yang
|
| Vol 71, Issue 11, 2007, pp.2363-2376, |
| COM-07-11118 |
|
|
| |
 |
|
| Paper |
Novel Method for the Synthesis of 3-Monosubstituted Six-membered Benzosultams
|
Fang Fang, Rui Wang, Zhao-Peng Liu,* and Ai-Guo Ji
|
| Vol 71, Issue 11, 2007, pp.2377-2388, |
| COM-07-11120 |
|
|
| |
 |
|
| Paper |
The Oxidation of Benzo[b]thiophene Derivatives with DDQ--------Preparation of π-Extended Hemithioindigoid Compounds
|
Hiroyuki Endo, Kinji Nagahama, Hidetsugu Wakabayashi, Makoto Kanazumi, Tatsuhisa Kato, and Keiji Kobayashi*
|
| Vol 71, Issue 11, 2007, pp.2389-2395, |
| COM-07-11125 |
|
|
| |
 |
|
| Paper |
Heterocyclic Ortho-Aminocarbonyl Compounds in the Friedländer Reaction Promoted by Chlorotrimethylsilane
|
Sergey V. Ryabukhin,* Andrey S. Plaskon, Vasiliy S. Naumchik, Dmitriy M. Volochnyuk, Sergey E. Pipko, and Andrey A. Tolmachev
|
| Vol 71, Issue 11, 2007, pp.2397-2411, |
| COM-07-11128 |
|
|
| |
 |
|
| Paper |
Syntheses and Anticholinesterase Activities of Novel 3-Aminocarbonylmethylene-3-methyl-2,3-dihydrobenzofuran-5-yl Carbamates
|
Weiming Luo, Qian-sheng Yu, Harold W. Holloway, David Tweedie, Damon Parrish, Arnold Brossi, and Nigel H. Greig*
|
| Vol 71, Issue 11, 2007, pp.2413-2425, |
| COM-07-11136 |
|
|
| |
 |
|
| Paper |
Copper Triflate Catalyzed Regioselective Alkylation of Pyrrole: Conversion of 2-Alkylated Pyrroles to Novel Pyrrolizine Derivatives by Self-Cyclization
|
Canan Unaleroglu,* Sertan Aytac, and Baris Temelli
|
| Vol 71, Issue 11, 2007, pp.2427-2440, |
| COM-07-11137 |
|
|
| |
 |
|
| Paper |
Three New ent-Kauranoids from Isodon phyllostachys
|
Xian Li, Jianxin Pu, Shenghong Li, Shengxiong Huang, Zhiying Weng, Quanbin Han, and Handong Sun*
|
| Vol 71, Issue 11, 2007, pp.2441-2447, |
| COM-07-11140 |
|
|
| |
 |
|
| Paper |
Synthesis of Aza-Analog of N-Methylated Acycloformycin A
|
Mariusz Mojzych* and Andrzej Rykowski
|
| Vol 71, Issue 11, 2007, pp.2449-2456, |
| COM-07-11142 |
|
|
| |
 |
|
| Paper |
Nitration of Dimethyl 1-Substituted Indole-2,3-dicarboxylates: Synthesis of Nitro- and Aminoindole Derivatives
|
Yasuyoshi Miki,* Misako Umemoto, Hiroko Maruyama, Makoto Kuromatsu, and Hiromi Hamamoto
|
| Vol 71, Issue 11, 2007, pp.2457-2463, |
| COM-07-11145 |
|
|
| |
 |
|
| Paper |
Synthesis and Redox Ring Cleavage of cis-1,3,4,5-Tetrahydrobenzo[c]oxepines
|
Xinfang Duan, Xiali Xu, Zhanbin Zhang,* and Zhibing Zheng
|
| Vol 71, Issue 11, 2007, pp.2465-2476, |
| COM-07-11153 |
|
|
| |
 |
|
| Note |
Prenylated Flavonoids from Tephrosia apollinea
|
Mohamed H. Abd El-Razek,* Abou El-Hamd H. Mohamed, and Ahmed A. Ahmed
|
| Vol 71, Issue 11, 2007, pp.2477-2490, |
| COM-07-11089 |
|
|
| |
 |
|
| Note |
The First Synthesis of Protected 5-Hydroxymethyl-2-cyanomethylbenzimidazole
|
Isamu Katsuyama* and Masanori Kubo
|
| Vol 71, Issue 11, 2007, pp.2491-2497, |
| COM-07-11133 |
|
|
| |
 |
|
| Review |
Chemistry of Hydrazonoalkanenitriles
|
Sayed M. Riyadh,* Ismail A. Abdelhamid, Hamada M. Ibrahim, Hamad M. Al-Matar, and Mohamed H. Elnagdi
|
| Vol 71, Issue 12, 2007, pp.2545-2586, |
| REV-07-618 |
|
|
| |
 |
|
| Communication |
Oxidative Desymmetrization of meso-Cyclic Ethers (2): Recognition of the Core Structure of Substrates of the Mn(salen) Catalyst
|
Hidehiro Suematsu, Yuusuke Tamura, Hiroaki Shitama, and Tsutomu Katsuki*
|
| Vol 71, Issue 12, 2007, pp.2587-2593, |
| COM-07-11160 |
|
|
| |
 |
|
| Paper |
Synthesis of Oxathiolone Fused Chalcones Bearing O-Aminoalkyl Side Chain. Comparison of Stability of Isomeric Benzoxathiolones under Alkylation Reaction Conditions
|
Marek T. Konieczny,* Wojciech Konieczny, Danuta Pirska, Anita Bulakowska, Michal Sabisz, Andrzej Skladanowski, Roland Wakiec, Ewa Augustynowicz-Kopec, and Zofia Zwolska
|
| Vol 71, Issue 12, 2007, pp.2595-2615, |
| COM-07-11165 |
|
|
| |
 |
|
| Paper |
Reaction of Hydrazide of (Tetrazol-5-yl)acetic Acid with Isothiocyanates and Antimicrobial Investigations of Newly-Obtained Compounds
|
Monika Wujec,* Urszula Kosikowska, Piotr Paneth, and Anna Malm
|
| Vol 71, Issue 12, 2007, pp.2617-2626, |
| COM-07-11129 |
|
|
| |
 |
|
| Paper |
Studies Using (E)-6-Oxo-1-aryl-4-(2-N-piperidinyl)vinyl-1,6-dihydropyridazine-5-carbonitrile
|
Ismail Abdelshafy Abdelhamid,* Said Ahmed Soliman Ghozlan, Heinz Kolshorn, Herbert Meier, and Mohamed Hilmy Elnagdi
|
| Vol 71, Issue 12, 2007, pp.2627-2637, |
| COM-07-11141 |
|
|
| |
 |
|
| Paper |
Quantum-Chemical Study of 1,2-Bis(dimethylethyleneguanidino)benzenes
|
Davor Margetic,* Waka Nakanishi, Takuya Kumamoto, and Tsutomu Ishikawa*
|
| Vol 71, Issue 12, 2007, pp.2639-2658, |
| COM-07-11143 |
|
|
| |
 |
|
| Paper |
Synthesis of 1’-Phenyl Substituted Nucleoside Analogs
|
Tamer Nasr, Yosuke Taniguchi, and Shigeki Sasaki*
|
| Vol 71, Issue 12, 2007, pp.2659-2668, |
| COM-07-11150 |
|
|
| |
 |
|
| Paper |
A Stereocontrolled Construction of rel-(7S,8S,7’R,8’S)-7,7’-Epoxylignan Skeleton
|
Maria Kitamura, Hiromi Hayashi, Masahiro Yano, Tetsuaki Tanaka, and Naoyoshi Maezaki*
|
| Vol 71, Issue 12, 2007, pp.2669-2680, |
| COM-07-11156 |
|
|
| |
 |
|
| Paper |
Synthesis of 8-Substituted 12-Methyl-12H-imidazo[4’,5’: 2,3][1,4]diazepino[6,7,1-jk]carbazoles
|
Kayed A. Abu Safieh, Fouad H. Darras, Mikdad T. Ayoub, Mustafa M. El-Abadelah, Salim S. Sabri, and Wolfgang Voelter*
|
| Vol 71, Issue 12, 2007, pp.2681-2688, |
| COM-07-11162 |
|
|
| |
 |
|
| Paper |
Microwave-Assisted Synthesis of N-2-Benzyl-3-(4-ethoxycarbonylphenyl)indazole Derivatives
|
Hua-Sin Chen, Li-Jiau Huang, Fung Fuh Wong,* Fang-Yu Lee, Che-Ming Teng, and Sheng-Chu Kuo*
|
| Vol 71, Issue 12, 2007, pp.2689-2697, |
| COM-07-11169 |
|
|
| |
 |
|
| Paper |
Preparation of (R)-(+)-3-Phenyl-2,3,5,6,7,8-hexahydrooxazolo[3,2-a]pyridin-4-ylium Bromide: Synthesis of (S)-(+)-Coniine, (R)-(-)-Coniceine and (R)-(+)-Anabasine
|
Alejandro Castro, Johana Ramírez, Jorge Juárez,* Joel L. Terán,* Laura Orea, Alberto Galindo, and Dino Gnecco
|
| Vol 71, Issue 12, 2007, pp.2699-2708, |
| COM-07-11171 |
|
|
| |
 |
|
| Paper |
7,11-Diaryl-2,4-diazaspiro[5.5]undecane-1,5,9-triones: A New Series of Spiroheterocycles
|
Jitender M. Khurana,* Reema Arora, and Sarishti Satija
|
| Vol 71, Issue 12, 2007, pp.2709-2716, |
| COM-07-11181 |
|
|
| |
 |
|
| Note |
A New Method for the Synthesis of Pyrrolo[1,2-a]quinolines Based on Boron Trifluoride-Mediated Cyclization of 1-(2-Oxiranylphenyl)pyrroles
|
Kazuhiro Kobayashi,* Atsushi Takanohashi, Yasutoshi Himei, Takehiko Sano, Shuhei Fukamachi, Osamu Morikawa, and Hisatoshi Konishi
|
| Vol 71, Issue 12, 2007, pp.2717-2720, |
| COM-07-11163 |
|
|
| |
 |
|
| Note |
Al2O3/MeSO3H (AMA) as a Novel Heterogeneous System for Synthesis of Coumarins under Mild Conditions
|
Hashem Sharghi* and Mahboubeh Jokar
|
| Vol 71, Issue 12, 2007, pp.2721-2733, |
| COM-07-11175 |
|
|
| |
 |
|
| Note |
The Synthesis of Trans-A2B-Corroles Bearing Acridine Moiety
|
Mariusz Tasior and Daniel T. Gryko*
|
| Vol 71, Issue 12, 2007, pp.2735-2742, |
| COM-07-11179 |
|
|
| |
 |
|
| 192 data found. 1 - 192 listed |
|
|
|
|