| 205 data found. 1 - 205 listed |
|
|
| Review |
Heteropentalene Mesomeric Betaines of Type C: Progress since the Early 1980s
|
Dietrich Moderhack
|
| Vol 75, Issue 1, 2008, pp.1-33, |
| REV-07-619 |
|
|
| |
 |
|
| Communication |
Electrooxidative Cyclization of Benzylideneaminothiophenols to the Corresponding 2-Arylbenzothiazoles
|
Mitsuhiro Okimoto,* Takashi Yoshida, Masayuki Hoshi, Kazuyuki Hattori, Masashi Komata, Kenta Tomozawa, and Tomohito Chiba
|
| Vol 75, Issue 1, 2008, pp.35-42, |
| COM-07-11195 |
|
|
| |
 |
|
| Paper |
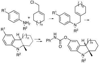
Synthesis of Cycloalkanoindoles, the Carba Analogs of Physostigmine
|
Imre Kiraly, Gabor Hornyanszky, Katalin Kupai, and Lajos Novak*
|
| Vol 75, Issue 1, 2008, pp.43-56, |
| COM-07-11154 |
|
|
| |
 |
|
| Paper |
Synthesis of 2,4-Dibromopyridine and 4,4’-Dibromo-2,2’-bipyridine. Efficient Usage in Selective Bromine-Substitution under Palladium-Catalysis
|
Ramón García-Lago, José-Lorenzo Alonso-Gómez, Cristina Sicre, and María-Magdalena Cid*
|
| Vol 75, Issue 1, 2008, pp.57-64, |
| COM-07-11170 |
|
|
| |
 |
|
| Paper |
Synthesis of Vinca Alkaloids and Related Compounds. Part 109. An Intramolecular [4+2] Cycloaddition Mediated Biomimetic Synthesis of (±)-Iboxyphylline
|
Flórián Tóth, György Kalaus*, Gergely Pipa, István Greiner, Áron Szollosy, Attila Rill, Ágnes Gömöry, László Hazai, and Csaba Szántay
|
| Vol 75, Issue 1, 2008, pp.65-76, |
| COM-07-11172 |
|
|
| |
 |
|
| Paper |
On the Tautomerism of Cinnolin-4-ol, Cinnolin-4-thiol, and Cinnolin-4-amine
|
Wolfgang Holzer,* Gernot A. Eller, and Simeon Schönberger
|
| Vol 75, Issue 1, 2008, pp.77-86, |
| COM-07-11177 |
|
|
| |
 |
|
| Paper |
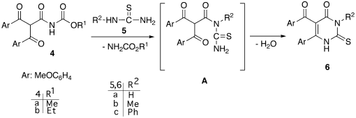
An Efficient Three-Component, One-Pot Synthesis of New Pyrimido[4,5-d]pyrimidine-2,4-diones
|
Minoo Dabiri, Seyyedeh Cobra Azimi, Hamid Arvin-Nezhad, and Ayoob Bazgir*
|
| Vol 75, Issue 1, 2008, pp.87-93, |
| COM-07-11182 |
|
|
| |
 |
|
| Paper |
Convenient Synthesis of 1,4-Dihydro-2H-3,1-benzoxazin-2-ones by Iodocyclization of t-Butyl 2-Vinylphenylcarbamate
|
Kazuhiro Kobayashi,* Shuhei Fukamachi, Daizo Nakamura, Osamu Morikawa, and Hisatoshi Konishi
|
| Vol 75, Issue 1, 2008, pp.95-105, |
| COM-07-11186 |
|
|
| |
 |
|
| Paper |
A Concise Approach to (±)-Tubifoline Based on the Palladium-Catalyzed Cross-Coupling Reaction of Indolylborate
|
Minoru Ishikura,* Norinobu Takahashi, Koji Yamada, and Takumi Abe
|
| Vol 75, Issue 1, 2008, pp.107-118, |
| COM-07-11190 |
|
|
| |
 |
|
| Paper |
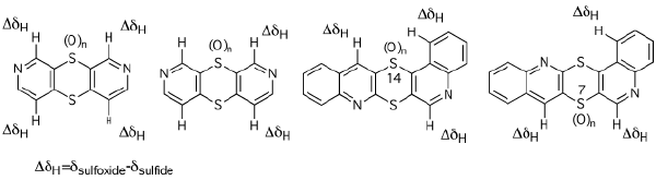
1H NMR Sulfinyl Group Substituent Effects of Dithiinodiazine S-Oxides as a Key for Structure Assignment of Parent Dithiinodiazines
|
Andrzej Maslankiewicz,* Maria J. Maslankiewicz, Andrzej Zieba, and Krzysztof Marciniec
|
| Vol 75, Issue 1, 2008, pp.119-129, |
| COM-07-11191 |
|
|
| |
 |
|
| Paper |
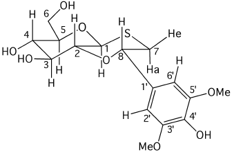
Megastigmane Glycosides from the Leaves of Salacia chinensis
|
Seikou Nakamura, Yi Zhang, Yutana Pongpiriyadacha, Tao Wang, Hisashi Matsuda, and Masayuki Yoshikawa*
|
| Vol 75, Issue 1, 2008, pp.131-143, |
| COM-07-11193 |
|
|
| |
 |
|
| Paper |
Studies with Functionally Substituted Enamines: Synthesis of 2-Aroyl-3-dimethylamino-2-propenenitrile and Their Reactivity toward Nitrogen Nucleophiles
|
Fawzia Al-Qalaf, Mervat Mohammed Abdelkhalik,* Amal Al-Enezi, and Johara Rashed Al-Ajimi
|
| Vol 75, Issue 1, 2008, pp.145-156, |
| COM-07-11196 |
|
|
| |
 |
|
| Note |
Three Mexicanolides from the Root Bark of Entandrophragma angolense
|
Nsiama Tienabe Kipassa, Hiroaki Okamura, Matsumi Doe, Yoshiki Morimoto, Tetsuo Iwagawa, and Munehiro Nakatani*
|
| Vol 75, Issue 1, 2008, pp.157-164, |
| COM-07-11085 |
|
|
| |
 |
|
| Note |
Sulfuric Acid Mediated Heterocyclization of ortho-Cyanomethylnitroarenes to Benzo[c]isoxazoles and Fused Benzo[c]isoxazoles
|
Mehdi Bakavoli,* Mehdi Pordel, Mohammad Rahimizadeh, Pooneh Jahandari, and Esmaeel Rezaei Seresht
|
| Vol 75, Issue 1, 2008, pp.165-171, |
| COM-07-11148 |
|
|
| |
 |
|
| Note |
A New Cyclo-thioglucoside from the Seeds of Raphanus sativus L.
|
Bao-Min Feng, Li-Xin Duan, Ling Tang, Yue-Hu Pei, and Yong-Qi Wang*
|
| Vol 75, Issue 1, 2008, pp.173-176, |
| COM-07-11178 |
|
|
| |
 |
|
| Note |
Densispicnins A and B, Two Unusual Monoterpenes from Pedicularis densispica Franch.
|
Hong-biao Chu, Du-qiang Luo,* Ning-hua Tan, and Xuan Tian
|
| Vol 75, Issue 1, 2008, pp.177-181, |
| COM-07-11200 |
|
|
| |
 |
|
| Note |
A Convenient One-Pot Preparation of N-Substituted 4-Phenylpiperidines
|
Shigehiro Asano and Hitoshi Ban*
|
| Vol 75, Issue 1, 2008, pp.183-188, |
| COM-07-11206 |
|
|
| |
 |
|
| Review |
Barton-Zard Pyrrole Synthesis and Its Application to Synthesis of Porphyrins, Polypyrroles, and Dipyrromethene Dyes
|
Noboru Ono
|
| Vol 75, Issue 2, 2008, pp.243-284, |
| REV-07-622 |
|
|
| |
 |
|
| Communication |
Asymmetric Synthesis of Stellettamides A and C
|
Naoki Yamazaki,* Takeshi Suzuki, Yuta Yoshimura, Chihiro Kibayashi, and Sakae Aoyagi*
|
| Vol 75, Issue 2, 2008, pp.285-290, |
| COM-07-11211 |
|
|
| |
 |
|
| Communication |
Synthesis and Antitumor Activity of Combretastatin D-4
|
Kanako Uno, Takamasa Tanabe, Takahisa Ogamino, Ryoko Okada, Masaya Imoto, and Shigeru Nishiyama*
|
| Vol 75, Issue 2, 2008, pp.291-296, |
| COM-07-11221 |
|
|
| |
 |
|
| Paper |
One-Pot Synthesis of Indolizine Derivative and Its Application as Multi-Dentate Ligand
|
Osamu Niyomura,* Yoshimi Yamaguchi, Ryo Sakao, Mao Minoura, and Yoshihisa Okamoto*
|
| Vol 75, Issue 2, 2008, pp.297-304, |
| COM-07-11197 |
|
|
| |
 |
|
| Paper |
Mass Spectrometry of Aromatic Cyclic Imides and Amides. Part I: Electron Ionization Induced Decomposition of N-Substituted 2,3-Pyridinedicarboximides
|
Maria Mercedes Blanco and Isabel Perillo*
|
| Vol 75, Issue 2, 2008, pp.305-317, |
| COM-07-11205 |
|
|
| |
 |
|
| Paper |
A Novel Synthesis of 1,4-Bis(thiopyrano[2,3-d]thiazolyl)benzene Derivatives
|
Nadia Hanafy Metwally
|
| Vol 75, Issue 2, 2008, pp.319-329, |
| COM-07-11208 |
|
|
| |
 |
|
| Paper |
First Example of Diels-Alder Reaction of 4-(1-Ethenylsubstituted)-3-methylisoxazoles with Acetylenedicarboxylates
|
Stefano Chimichi,* Barbara Cosimelli,* Marco Boccalini, Alessandra Matteucci, and Abdelatif Messaoudi
|
| Vol 75, Issue 2, 2008, pp.331-338, |
| COM-07-11210 |
|
|
| |
 |
|
| Paper |
Synthesis of in vivo Metabolites of the New Adenosine A3 Receptor PET-Radiotracer [18F]FE@SUPPY
|
Karem Shanab,* Wolfgang Wadsak, Leonhard-Key Mien, Markus Mitterhauser, Wolfgang Holzer, Victoria Polster, Helmut Viernstein, and Helmut Spreitzer*
|
| Vol 75, Issue 2, 2008, pp.339-356, |
| COM-07-11219 |
|
|
| |
 |
|
| Paper |
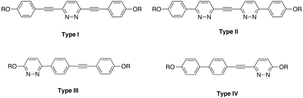
Oligomers Containing Ethynylpyridazine Moieties: Synthesis, Fluorescence and Liquid Crystalline Properties. Diazines 50
|
Sylvain Achelle, Nelly Plé,* David Kreher, Fabrice Mathevet, Alain Turck, and André-Jean Attias
|
| Vol 75, Issue 2, 2008, pp.357-374, |
| COM-07-11220 |
|
|
| |
 |
|
| Paper |
Facile Synthesis of a Series of 2-(4-Alkyloxyphenyl)-5-cyanopyridine Liquid Crystalline Compounds
|
Win-Long Chia* and Yu Wei Cheng
|
| Vol 75, Issue 2, 2008, pp.375-382, |
| COM-07-11224 |
|
|
| |
 |
|
| Paper |
Synthesis of 1,3-Di(2-thiazolyl)azulene and Its Selective Chromogenic Response to Mercury(II) Ion
|
Shigeharu Wakabayashi,* Ryoko Uriu, Tomoko Asakura, Chiharu Akamatsu, and Yoshikazu Sugihara
|
| Vol 75, Issue 2, 2008, pp.383-390, |
| COM-07-11229 |
|
|
| |
 |
|
| Note |
N-Bromosuccinimide (NBS) as Promoter for Acylation of Sydnones in the Presence Acetic Anhydride under Neutral Conditions
|
Hassan Ghasemnejad-Bosra,* Mina Haghdadi, and Issa Gholampour-Azizi
|
| Vol 75, Issue 2, 2008, pp.391-395, |
| COM-07-11185 |
|
|
| |
 |
|
| Note |
An Improved Quinoline Synthesis in the Presence of Nickel Chloride
|
Minoo Dabiri,* Mostafa Baghbanzadeh, and Elham Arzroomchilar
|
| Vol 75, Issue 2, 2008, pp.397-401, |
| COM-07-11202 |
|
|
| |
 |
|
| Note |
A New Rotenoid from Derris malaccensis
|
Ruchira Wangteeraprasert and Kittisak Likhitwitayawuid*
|
| Vol 75, Issue 2, 2008, pp.403-406, |
| COM-07-11214 |
|
|
| |
 |
|
| Note |
Constituents of Green and Ripened Fruit of Garcinia subelliptica
|
Kenji Terashima, Tomoko Ishida, Tadashi Furukawa, Yoshiaki Takaya, and Masatake Niwa*
|
| Vol 75, Issue 2, 2008, pp.407-413, |
| COM-07-11216 |
|
|
| |
 |
|
| Note |
Improved Convenient and Environmentally Benign Synthesis of Biological Active Benzimidazoles Using Activated Carbon and Molecular Oxygen
|
Yoshinobu Tagawa,* Kenji Yamagata, and Kunihiro Sumoto
|
| Vol 75, Issue 2, 2008, pp.415-418, |
| COM-07-11222 |
|
|
| |
 |
|
| Note |
Three New Flavonol Glycosides from the Aerial Parts of Tetragonia tetragonoides
|
Kyu Ha Lee, Ki Myun Park, Kyung Ran Kim, Jongki Hong, Hak Cheol Kwon, and Kang Ro Lee*
|
| Vol 75, Issue 2, 2008, pp.419-426, |
| COM-07-11227 |
|
|
| |
 |
|
| Review |
Organocatalytic Asymmetric Synthesis Using Proline and Related Molecules. Part 1
|
Hiyoshizo Kotsuki,* Hideaki Ikishima, and Atsushi Okuyama
|
| Vol 75, Issue 3, 2008, pp.493-529, |
| REV-07-620 |
|
|
| |
 |
|
| Communication |
Synthesis and Spectroscopic Properties of 2,5-Bis(benzoazol-2-yl)pyrazines
|
Ryota Saito,* Shinnosuke Machida, Saori Suzuki, and Akira Katoh
|
| Vol 75, Issue 3, 2008, pp.531-536, |
| COM-07-11226 |
|
|
| |
 |
|
| Paper |
A Facile Synthesis of 4-Aryl-5-alkoxycarbonyl-6-hydroxy-6-methyl-4,5,6,7-tetrahydro-3-hydroxy-2-(pyridin-2-yl)indazoles and Their NMR Characterizations
|
Shanmugasundaram Amirthaganesan, Gopalakrishnan Aridoss, Young Hwan Park, Jong Su Kim, Se Mo son, and Yeon Tae Jeong*
|
| Vol 75, Issue 3, 2008, pp.537-554, |
| COM-07-11231 |
|
|
| |
 |
|
| Paper |
Synthesis of the Azathioprine Analogs
|
Alicja Kowalska* and Krystina Pluta
|
| Vol 75, Issue 3, 2008, pp.555-569, |
| COM-07-11232 |
|
|
| |
 |
|
| Paper |
Reaction of 1,3-Oxathiin-6-ones with Bases: Synthesis of 4-Mercapto-2-pyrone
|
Kentaro Okuma* and Masahiro Koda
|
| Vol 75, Issue 3, 2008, pp.571-576, |
| COM-07-11236 |
|
|
| |
 |
|
| Paper |
Pyrolytic Study of Cyclic 2-Azidoketones
|
Chin-Hsing Chou,* Li-Tse Chu, I-Ying Chen, and Bo-Jian Wu
|
| Vol 75, Issue 3, 2008, pp.577-582, |
| COM-07-11239 |
|
|
| |
 |
|
| Paper |
Chlorotrimethylsilane Mediated Synthesis of 5-(2-Hydroxybenzoyl)pyrimidines from 3-Formylchromones
|
Sergey V. Ryabukhin,* Andrey S. Plaskon, Dmitriy M. Volochnyuk, Sergey E. Pipko, and Andrey A. Tolmachev
|
| Vol 75, Issue 3, 2008, pp.583-597, |
| COM-07-11240 |
|
|
| |
 |
|
| Paper |
A Facile Synthesis of 1,3-Dihydroisobenzofurans Using Iodocylization of 2-Vinylbenzyl Alcohols
|
Kazuhiro Kobayashi,* Kazuaki Shikata, Shuhei Fukamachi, and Hisatoshi Konishi
|
| Vol 75, Issue 3, 2008, pp.599-609, |
| COM-07-11244 |
|
|
| |
 |
|
| Paper |
Synthesis and Bioactivity of Novel Bisphosphonate Derivatives
|
B. Hari Babu, G. Syam Prasad, M. F. Stephen Babu, Pallamreddy Haranath, S. Hemadri Reddy, and C. Naga Raju*
|
| Vol 75, Issue 3, 2008, pp.611-618, |
| COM-07-11246 |
|
|
| |
 |
|
| Paper |
Synthesis of 4’-Thiopurine Nucleosides Using Hypervalent Iodine Compounds
|
Naozumi Nishizono,* Kayo Soma, Ryosuke Baba, Minoru Machida, and Kazuaki Oda*
|
| Vol 75, Issue 3, 2008, pp.619-634, |
| COM-07-11250 |
|
|
| |
 |
|
| Paper |
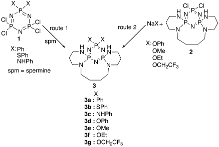
Synthesis and Characterization of Some Tetracyclic Spermine Derivatives of Cyclotriphosphazene: The First Examples of Dispiransa Derivatives
|
Gönül Yenilmez Çiftçi,* Esra Tanriverdi, and Yunus Zorlu
|
| Vol 75, Issue 3, 2008, pp.635-643, |
| COM-07-11251 |
|
|
| |
 |
|
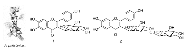
| Note |
Flavonoidal C-Glycosides from Abutilon pakistanicum
|
Munawar Hussain, Durey Nayab Zahra, Abdul Malik, Asam Ejaz, Hina Siddiqui, Muhammad Iqbal Choudary, and Zaheer Ahmed*
|
| Vol 75, Issue 3, 2008, pp.645-653, |
| COM-07-11184 |
|
|
| |
 |
|
| Note |
Facile One-Pot Reaction for the Regioselective Syntheses of 2H-[1,2,4]Thiadiazolo[2,3-a]pyrimidine Derivatives
|
Guohua Liu,* Mei Yao, Yunning Xue, Haibin Fang, and Xiqowei Cao*
|
| Vol 75, Issue 3, 2008, pp.655-660, |
| COM-07-11237 |
|
|
| |
 |
|
| Note |
Three New Furanosesquiterpenoids from Bombax malabaricum and Revised NMR Assignment of Hibiscone C
|
Xiaohui zhang, Shuwei Zhang, and Lijiang Xuan*
|
| Vol 75, Issue 3, 2008, pp.661-668, |
| COM-07-11242 |
|
|
| |
 |
|
| Note |
Silica Sulfuric Acid-Activated Poly-1,3,-dichloro-5-methyl-5(4’-vinylphenyl)hydantoin (PDCVH) as an Effective Reagent for Oxidation of 1,3,5-Trisubstituted 2-Pyrazolines Both under Microwave Irradiation and Thermal Condition
|
Davood Azarifar,* Behrooz Maleki, and Mehrnaz Setayeshnazar
|
| Vol 75, Issue 3, 2008, pp.669-673, |
| COM-07-11248 |
|
|
| |
 |
|
| Note |
A Simple Synthesis of α-Nitro-δ-keto Nitrile
|
Nagatoshi Nishiwaki,* Tomoko Nogami, and Masahiro Ariga*
|
| Vol 75, Issue 3, 2008, pp.675-681, |
| COM-07-11255 |
|
|
| |
 |
|
| Review |
Organocatalytic Asymmetric Synthesis Using Proline and Related Molecules. Part 2.
|
Hiyoshizo Kotsuki,* Hideaki Ikishima, and Atsushi Okuyama
|
| Vol 75, Issue 4, 2008, pp.757-797, |
| REV-07-621 |
|
|
| |
 |
|
| Paper |
Scope and Limitations of the T-Reaction Employing Some Functionalized C-H-Acids and Naturally Occurring Secondary Amines
|
Constantin Rabong, Christian Hametner, Kurt Mereiter, Victor G. Kartsev, and Ulrich Jordis*
|
| Vol 75, Issue 4, 2008, pp.799-838, |
| COM-07-11260 |
|
|
| |
 |
|
| Paper |
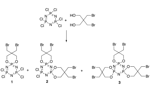
The Reaction of Hexachlorocyclotriphosphazatriene with Bromoneopentyl Glycol
|
Hanife Ibisoglu,* Ferda Hacivelioglu, and Adem Kiliç
|
| Vol 75, Issue 4, 2008, pp.839-846, |
| COM-07-11258 |
|
|
| |
 |
|
| Paper |
Synthesis of Nitrogen-Containing Heterocycles 11. 1,2,4-Triazole Formation through Disproportionation of Polyazapolyenes
|
Yoshiko Miyamoto
|
| Vol 75, Issue 4, 2008, pp.847-857, |
| COM-07-11268 |
|
|
| |
 |
|
| Paper |
Synthesis of 6-Aminoalkyldiquino-1,4-thiazines and Their Acyl and Sulfonyl Derivatives
|
Malgorzata Jelen and Krystian Pluta*
|
| Vol 75, Issue 4, 2008, pp.859-870, |
| COM-07-11269 |
|
|
| |
 |
|
| Paper |
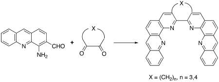
Synthesis and Properties of 3,3’-Polymethylene-2,2’-bibenzo[b]-1,10-phenanthrolines
|
A. F. M. Motiur Rahman and Yurngdong Jahng*
|
| Vol 75, Issue 4, 2008, pp.871-877, |
| COM-07-11281 |
|
|
| |
 |
|
| Paper |
Synthesis and Evaluation of Influenza Virus Sialidase Inhibitory Activity of Hinokiflavone-Sialic Acid Conjugates
|
Kazuhiko Miki, Takayuki Nagai, Takayuki Nakamura, Mitsuru Tuji, Kiyotaka Koyama, Kaoru Kinoshita, Kimio Furuhata, Haruki Yamada, and Kunio Takahashi*
|
| Vol 75, Issue 4, 2008, pp.879-885, |
| COM-07-11285 |
|
|
| |
 |
|
| Paper |
Synthesis and Antimicrobial Evaluation of Some New Pyrimidine Derivatives
|
Nabila A. Kheder, Yahia N. Mabkhot, and Ahmad M. Farag*
|
| Vol 75, Issue 4, 2008, pp.887-897, |
| COM-07-11286 |
|
|
| |
 |
|
| Note |
Transformation of 1,5-Diphenylpentane-1,3,5-trione. The Synthesis of Substituted (4H)-Pyranones, Pyridin-4(1H)-ones and 4H-Pyrano[3,2-c]pyridin-4-ones
|
Silvo Zupancic, Jurij Svete, and Branko Stanovnik*
|
| Vol 75, Issue 4, 2008, pp.899-909, |
| COM-07-11252 |
|
|
| |
 |
|
| Note |
Two New Taxoids from the Needles and Young Stems of Taxus cuspidata
|
Liyan Wang,* Liming Bai, Daisuke Tokunaga, Yuusuke Watanabe, Jun-ichi Sakai, Wanxia Tang, Yuhua Bai, Katsutoshi Hirose, and Masayoshi Ando*
|
| Vol 75, Issue 4, 2008, pp.911-917, |
| COM-07-11256 |
|
|
| |
 |
|
| Note |
One-Pot Synthesis of 2,3-Disubstituted Benzo[b]thiophene Derivatives from 2-Mercaptophenyl Ketones
|
Kazuhiro Kobayashi,* Daizo Nakamura, Shuhei Fukamachi, and Hisatoshi Konishi
|
| Vol 75, Issue 4, 2008, pp.919-924, |
| COM-07-11262 |
|
|
| |
 |
|
| Note |
Rapid Synthesis of New Azaheterocyclic Hydroxymalonate Derivatives Using TDAE Approach
|
Marc Montana, Maxime D. Crozet, Caroline Castera-Ducros, Thierry Terme, and Patrice Vanelle*
|
| Vol 75, Issue 4, 2008, pp.925-932, |
| COM-07-11264 |
|
|
| |
 |
|
| Note |
Calamistrins H and I, Two Linear Annonaceous Acetogenins from the Roots of Uvaria calamistrata Hance
|
Guang-Xiong Zhou,* Yanjun Zhang, Ruo-Yun Chen, and De-Quan Yu
|
| Vol 75, Issue 4, 2008, pp.933-937, |
| COM-07-11270 |
|
|
| |
 |
|
| Note |
New Biflavonoids from Cephalotaxus harringtonia var. fastigiata (Cephalotaxaceae)
|
Hiroaki Sasaki, Kazuhiko Miki, Kiyotaka Koyama, Kaoru Kinoshita, and Kunio Takahashi*
|
| Vol 75, Issue 4, 2008, pp.939-946, |
| COM-07-11275 |
|
|
| |
 |
|
| Note |
Green Protocol for the Friedländer Synthesis: KAl(SO4)2·12H2O-SiO2 (Alum- SiO2), a Highly Efficient Catalyst in the Synthesis of Quinolines
|
Ali A. Mohammadi,* Javad Azizian, Armin Hadadzahmatkesh, and Mohammad R. Asghariganjeh
|
| Vol 75, Issue 4, 2008, pp.947-954, |
| COM-07-11273 |
|
|
| |
 |
|
| Note |
Synthesis and Reactions of Some New Spiro {Indeno[1,2-b]pyran-4,3’-indolines}
|
Maher F. El-Zohry,* Yasser A. Elossaily, Thanaa A. Mohamed, and Essam M. Hussein
|
| Vol 75, Issue 4, 2008, pp.955-963, |
| COM-07-11277 |
|
|
| |
 |
|
| Review |
Synthetic Philosophy: A Study Directed toward Creation of an Ideal Synthetic Method and Its Application for Preventing Global Warming by Combating Desertification
|
Masanori Somei
|
| Vol 75, Issue 5, 2008, pp.1021-1053, |
| REV-07-624 |
|
|
| |
 |
|
| Communication |
Efficient Synthesis of 2-Mono- and 2,3-Disubstituted Indoles via Palladium-Catalyzed Oxidation of Amino Alcohols
|
Yutaka Aoyagi, Masahiro Shishikura, Toshihiko Mizusaki, Takashi Komine, Tokuji Yoshinaga, Haruko Inaba, Akihiro Ohta,* and Koichi Takeya*
|
| Vol 75, Issue 5, 2008, pp.1055-1059, |
| COM-07-11297 |
|
|
| |
 |
|
| Paper |
Synthesis and DNA Cleavage Activity of 4,2’:4’,4’’:2’’,4’’’-Quaterthiazoles
|
Hideaki Sasaki
|
| Vol 75, Issue 5, 2008, pp.1061-1074, |
| COM-07-11228 |
|
|
| |
 |
|
| Paper |
Structural and Conformational Studies on Two Diastereomeric Dihydroisoxazolyl Cyclopropane Derivatives
|
Fiorella Meneghetti* and Roberto Artali
|
| Vol 75, Issue 5, 2008, pp.1075-1085, |
| COM-07-11261 |
|
|
| |
 |
|
| Paper |
Synthesis and Study of Reactivity of Pyrrolo[3,2-e][1,2,4]triazine System
|
Jakub Styskala,* Jan Slouka, and Petr Cankar
|
| Vol 75, Issue 5, 2008, pp.1087-1095, |
| COM-07-11267 |
|
|
| |
 |
|
| Paper |
The Subtle Co-catalytic Intervention of Benzophenone in Radical Cation Mediated Cyclization — An Improved Synthesis of 2-(3’,4’-Dimethoxyphenyl)indoline
|
Noel Francis Thomas,* Chin-Hui Kee, Azhar Ariffin, Khalijah Awang, Jean-Frédéric Faizal Weber, Chuan-Gee Lim, Mat Ropi Mukhtar, and A. Hamid A. Hadi
|
| Vol 75, Issue 5, 2008, pp.1097-1108, |
| COM-07-11280 |
|
|
| |
 |
|
| Paper |
Structures of New Triterpene Glycosides, Malbrancheosides A - D, from Malbranchea filamentosa
|
Daigo Wakana, Tomoo Hosoe, Takeshi Itabashi, Hideaki Okada, Kazutaka Fukushima, and Ken-ichi Kawai*
|
| Vol 75, Issue 5, 2008, pp.1109-1122, |
| COM-07-11283 |
|
|
| |
 |
|
| Paper |
Synthesis of Functionalized β-Enamino Compounds by Carbon-Fragment Transfer Reaction of C(2)-Substituted Imidazolidines with Amines
|
Yongbin Zhang, Donghong Li, Guofu Zhou, Chizhong Xia, and Wei Guo*
|
| Vol 75, Issue 5, 2008, pp.1123-1131, |
| COM-07-11284 |
|
|
| |
 |
|
| Paper |
Synthesis of Nitrogen Heterocycles by Intramolecular Cyclization of Alkenyl N-Acylaminophthalimides Using Phenyliodine(III) Bis(trifluoroacetate) (PIFA)
|
Masato Tsukamoto, Kousuke Murata, Takeshi Sakamoto, Setsuo Saito,* and Yasuo Kikugawa*
|
| Vol 75, Issue 5, 2008, pp.1133-1149, |
| COM-07-11295 |
|
|
| |
 |
|
| Paper |
Studies with Condensed Aminothiophenes: Microwave Assisted Cycloaddition Reactions of Thieno[3,4-d]pyridazinone and Thieno[3,4-c]quinolinone
|
Saleh Mohammed Al-Mousawi,* Morsy Ahmed EL-Apasery, and Mohamed Hilmy Elnagdi
|
| Vol 75, Issue 5, 2008, pp.1151-1161, |
| COM-07-11301 |
|
|
| |
 |
|
| Paper |
Synthesis and Biological Evaluations of New Pyrrolo[2,3-b]pyrimidine as SDI Analogs
|
Jérôme Guillard and Marie-Claude Viaud-Massuard*
|
| Vol 75, Issue 5, 2008, pp.1163-1189, |
| COM-07-11302 |
|
|
| |
 |
|
| Note |
Two Indolotryptanthrin Alkaloids from Cephalantheropsis gracilis
|
Yao-Ting Wu,* Yu-Lin Hsu, and Pei-Lin Wu*
|
| Vol 75, Issue 5, 2008, pp.1191-1197, |
| COM-07-11279 |
|
|
| |
 |
|
| Note |
Diels-Alder Reactions of a Styrene-Isocyanate: Unexpected Formation of a Pyridinone and Uracil
|
Gregory A. Gfesser,* David Whittern, Marlon D. Cowart, and Ramin Faghih
|
| Vol 75, Issue 5, 2008, pp.1199-1203, |
| COM-07-11282 |
|
|
| |
 |
|
| Note |
MoO3/Al2O3: An Efficient and Reusable Heterogeneous Catalyst for Solvent-Free Synthesis of Coumarins via Pechmann Condensation
|
Sweety Singhal, Suman L. Jain, and Bir Sain*
|
| Vol 75, Issue 5, 2008, pp.1205-1211, |
| COM-07-11288 |
|
|
| |
 |
|
| Note |
Applicability of Methyl 2,3,4-Tri-O-benzoyl-1-methanesulfonyl-α-D-glucopyranuronate as a Novel Quaternary Glucuronyl Reagent for Tertiary Amines
|
Ichiro Araya* and Hiroyuki Akita
|
| Vol 75, Issue 5, 2008, pp.1213-1223, |
| COM-07-11289 |
|
|
| |
 |
|
| Note |
Synthesis of 2,4-Disubstituted Isoquinolin-1(2H)-ones Based on Reactions of α-Substituted 2-Lithio-β-methoxystyrenes with Isocyanates
|
Kazuhiro Kobayashi,* Kazutaka Hayashi, Changeng Nam, Shuhei Fukamachi, and Hisatoshi Konishi
|
| Vol 75, Issue 5, 2008, pp.1225-1231, |
| COM-07-11304 |
|
|
| |
 |
|
| Note |
Unexpected Unique Behavior of Spiro-Isoquinolines with a Cyclohexadienone System in Attempted Dienone-Phenol Rearrangement
|
Hiroki Shigehisa and Toshio Honda*
|
| Vol 75, Issue 5, 2008, pp.1233-1239, |
| COM-07-11308 |
|
|
| |
 |
|
| Note |
ent-Sauchinone from Saururus chinensis
|
Lishu Wang, Daqing Zhao, Dongyan Cheng, and Yonghong Liu*
|
| Vol 75, Issue 5, 2008, pp.1241-1246, |
| COM-07-11316 |
|
|
| |
 |
|
| Review |
Palladium-Mediated Intramolecular Biaryl Coupling Reaction for Natural Product Synthesis
|
Hitoshi Abe* and Takashi Harayama*
|
| Vol 75, Issue 6, 2008, pp.1305-1320, |
| REV-07-627 |
|
|
| |
 |
|
| Communication |
A Convenient Synthesis of 5-Amino-Substituted 1,2,4-Oxadiazole Derivatives via Reactions of Amidoximes with Carbodiimides
|
Maria Ispikoudi, Konstantinos E. Litinas, and Konstantina C. Fylaktakidou*
|
| Vol 75, Issue 6, 2008, pp.1321-1328, |
| COM-08-11340 |
|
|
| |
 |
|
| Paper |
Synthesis of the Diazatricyclic Core of Madangamines via Cyclic N,O-Acetalization-Bridgehead Reduction
|
Yuta Yoshimura, Takahiko Kusanagi, Chihiro Kibayashi, Naoki Yamazaki,* and Sakae Aoyagi*
|
| Vol 75, Issue 6, 2008, pp.1329-1354, |
| COM-07-11276 |
|
|
| |
 |
|
| Paper |
Synthesis of 8-Hydroxyimidazo[1,2-a]pyridine-2-carboxylic Acid and Its Derivatives
|
Uros Groselj, Jure Bezensek, Anton Meden, Jurij Svete,* Branko Stanovnik,* Marko Oblak, Petra Stefanic Anderluh, and Uros Urleb
|
| Vol 75, Issue 6, 2008, pp.1355-1370, |
| COM-07-11303 |
|
|
| |
 |
|
| Paper |
Studies with Malononitrile Derivatives: Synthesis and Reactivity of 4-Benzylpyrazole-3,5-diamine, 4-Benzylisoxazole-3,5-diamine and Thiazolidin-3-phenylpropanenitrile
|
Saleh Mohammed Al-Mousawi,* Moustafa Sherief Moustafa, and Mohamed Hilmy Elnagdi
|
| Vol 75, Issue 6, 2008, pp.1371-1383, |
| COM-07-11307 |
|
|
| |
 |
|
| Paper |
A Facile Synthesis of Cycloether Systems Bearing [2,4]-Oxazole Units
|
Marcelo Incerti, Carolina Fontana, Laura Scarone, Guillermo Moyna, and Eduardo Manta*
|
| Vol 75, Issue 6, 2008, pp.1385-1396, |
| COM-07-11313 |
|
|
| |
 |
|
| Paper |
Salaprionol and Ponkoranol with Thiosugar Sulfonium Sulfate Structure from Salacia prinoides and α-Glucosidase Inhibitory Activity of Ponkoranol and Kotalanol Desulfate
|
Masayuki Yoshikawa,* Fengming Xu, Seikou Nakamura, Tao Wang, Hisashi Matsuda, Genzoh Tanabe, and Osamu Muraoka
|
| Vol 75, Issue 6, 2008, pp.1397-1405, |
| COM-07-11315 |
|
|
| |
 |
|
| Paper |
Hf(OTf)4-Catalyzed 1,4-Addition Reactions of Indole to Enone in the Presence of Meso and Chiral Pyridinediamine Ligands
|
Sachiko Aburatani and Jun’ichi Uenishi*
|
| Vol 75, Issue 6, 2008, pp.1407-1416, |
| COM-07-11318 |
|
|
| |
 |
|
| Paper |
Reaction of Dithiolactones with Benzyne: A Novel Synthesis of Benzo-1,3-dithioles
|
Kentaro Okuma,* Akiko Nojima, and Yoshinobu Yokomori
|
| Vol 75, Issue 6, 2008, pp.1417-1424, |
| COM-07-11321 |
|
|
| |
 |
|
| Paper |
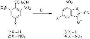
Structure of 2,6-Dinitrophenylsulfanylethanenitrile and 2,4,6-Trinitrophenylsulfanylethanenitrile and Their Ring Closure Giving 2-Cyanobenzo[d]thiazole-3-oxides
|
Jirí Cerny, Valerio Bertolasi, Jirí Hanusek, and Vladimír Machácek*
|
| Vol 75, Issue 6, 2008, pp.1425-1433, |
| COM-08-11322 |
|
|
| |
 |
|
| Paper |
New Phenolic Glycosides from the Leaves of Salacia chinensis
|
Seikou Nakamura, Yi Zhang, Tao Wang, Hisashi Matsuda, and Masayuki Yoshikawa*
|
| Vol 75, Issue 6, 2008, pp.1435-1446, |
| COM-08-11338 |
|
|
| |
 |
|
| Note |
Three New ent-Kaurane Diterpenoids from the Seeds of Pharbitis nil
|
Ki Hyun Kim, Mi Rim Jin, Sang Zin Choi, Mi Won Son, and Kang Ro Lee*
|
| Vol 75, Issue 6, 2008, pp.1447-1455, |
| COM-07-11291 |
|
|
| |
 |
|
| Note |
Metalloreceptors Composed of Organopalladium Complexes Containing 5-Mercapto-3H-1,3,4-thiadiazolin-2-ones
|
Nam Sook Cho,* Sang Beom Kim, Min Hye Kim, Seong Gyun Park, Sung Kown Kang, Se Jin Lee, and Yeong-Joon Kim
|
| Vol 75, Issue 6, 2008, pp.1457-1466, |
| COM-07-11305 |
|
|
| |
 |
|
| Note |
Synthesis and Affinity Evaluation for AT1 Receptor of Phenylsalicylaldoxime-Derivatives Structurally Related to Sartans
|
Simona Rapposelli,* Serena Cuboni, Maria Digiacomo, Antonio Lucacchini, Filippo Minutolo, Maria Letizia Trincavelli, and Aldo Balsamo
|
| Vol 75, Issue 6, 2008, pp.1467-1477, |
| COM-07-11309 |
|
|
| |
 |
|
| Note |
A Convenient Synthesis of Novel Series of 4-Cyclohexyl-2-substituted [1,2,4]Triazolo[1,5-a]quinazolin-5(4H)-ones. Novel Isomers of H1 Antihistaminic Activite Agents
|
Ahmad S. Shawali,* Hamdi M. Hassaneen, and Nabil K. Shurrab
|
| Vol 75, Issue 6, 2008, pp.1479-1488, |
| COM-07-11311 |
|
|
| |
 |
|
| Note |
One-Pot Synthesis of Purinylpurine-2,6-diones
|
Virendra S. Yadava,* Shiv. S. Yadav, and Neeraj Singh
|
| Vol 75, Issue 6, 2008, pp.1489-1492, |
| COM-07-11319 |
|
|
| |
 |
|
| Note |
Stereoselective Synthesis of a Novel Chiral Piperazine
|
Satoshi Kojima,* Takashi Chabayashi, Yasuhiro Umeda, Akihisa Iwamoto, Kazuhisa Tanabe, and Katsuo Ohkata
|
| Vol 75, Issue 6, 2008, pp.1493-1501, |
| COM-08-11328 |
|
|
| |
 |
|
| Note |
New Diacylated Delphinidin 3-Rutinoside-5-glucosides Isolated from the Blue-Purple Flowers of Browallia speciosa
|
Kenjiro Toki,* Norio Saito, Atsushi Shigihara, and Toshio Honda
|
| Vol 75, Issue 6, 2008, pp.1503-1509, |
| COM-08-11344 |
|
|
| |
 |
|
| Review |
Pyrazolo[1,5-a][1,3,5]triazines(5-Aza-9-deazapurines): Synthesis and Biological Activity
|
Anton V. Dolzhenko, Anna V. Dolzhenko, and Wai-Keung Chui*
|
| Vol 75, Issue 7, 2008, pp.1575-1622, |
| REV-08-629 |
|
|
| |
 |
|
| Paper |
Arylhydrazononitriles as Building Blocks in Heterocyclic Synthesis: Synthesis of New Benzothiazolyl-1,2,3-triazole Amines and -1,2,3-triazol-4-yl-1,3,4-thiadiazol-5-ylamines
|
Khadija Omar Badahdah
|
| Vol 75, Issue 7, 2008, pp.1623-1630, |
| COM-07-11320 |
|
|
| |
 |
|
| Paper |
Synthesis of Pyrrolo[2,3-d]pyrimidine Analogues of the Potent Antitumor Agent N-{4-[3-(2,4-Diamino-7H-pyrrolo[2,3-d]pyrimidin-5-yl)propyl]benzoyl}-L- glutamic Acid (TNP-351)
|
Gaojun Zhu, Zenglu Liu, Yun Xu, and Zhenmin Mao*
|
| Vol 75, Issue 7, 2008, pp.1631-1638, |
| COM-08-11323 |
|
|
| |
 |
|
| Paper |
Medicinal Foodstuffs. XXXIII. Gastroprotective Principles from Boesenbergia rotunda (Zingiberaceae) - Absolute Stereostructures of Diels-Alder Type Addition Prenylchalcones
|
Masayuki Yoshikawa,* Toshio Morikawa, Kanako Funakoshi, Momotaro Ochi, Yutana Pongpiriyadacha, and Hisashi Matsuda
|
| Vol 75, Issue 7, 2008, pp.1639-1650, |
| COM-08-11332 |
|
|
| |
 |
|
| Paper |
Solvent-Free Synthesis of 2-(1H-Benzimidazol-1-ylmethyl)-4-substituted 1-Hydroxyaryl by the Two Component Mannich Reaction between 6H,13H-5:12,7:14-Dimethanedibenzo-[d,i][1,3,6,8]tetraazecine (DMDBTA) and Phenols
|
Augusto Rivera,* Miguel Angel Navarro, and Jaime Ríos-Motta
|
| Vol 75, Issue 7, 2008, pp.1651-1658, |
| COM-08-11333 |
|
|
| |
 |
|
| Paper |
Enantioselective Synthesis of Piperidine Diamine Derivatives as Novel fXa Inhibitors
|
Akiyoshi Mochizuki,* Hiroyuki Naito, Yumi Nakamoto, Kouichi Uoto, and Toshiharu Ohta
|
| Vol 75, Issue 7, 2008, pp.1659-1671, |
| COM-08-11341 |
|
|
| |
 |
|
| Paper |
Simple and Convenient Synthesis of 2,3,4,5-Tetrahydro-1,5-dioxopyrrolo[1,2-a]quinazoline- 3a(1H)-carboxylic Acids in Multi-Gram Scale
|
Rustam T. Iminov, Anton V. Tverdokhlebov,* Andrey A. Tolmachev, Yulian M. Volovenko, Alexander N. Kostyuk, Alexander N. Chernega, and Eduard B. Rusanov
|
| Vol 75, Issue 7, 2008, pp.1673-1680, |
| COM-08-11343 |
|
|
| |
 |
|
| Paper |
A New Route for the Synthesis of Linezolid Mimetic 3,4-Disubstituted Oxazolidin-2-one Derivatives
|
Fumiko Fujisaki, Nobuhiro Abe, and Kunihiro Sumoto*
|
| Vol 75, Issue 7, 2008, pp.1681-1694, |
| COM-08-11350 |
|
|
| |
 |
|
| Paper |
Versatile Three Component Coupling for the Synthesis of Pyrazolopyridines and Other Pyrido Fused Systems
|
Carmen Almansa,* Marina Virgili, Elena Carceller, and Pedro Grima-Poveda
|
| Vol 75, Issue 7, 2008, pp.1695-1709, |
| COM-08-11356 |
|
|
| |
 |
|
| Paper |
Ring Current Models of Porphyrin and Conformational Analysis of the Dicarboxylate Complex of SNIV Porphyrin
|
Hajime Iwamoto* and Yoshimasa Fukazawa*
|
| Vol 75, Issue 7, 2008, pp.1711-1723, |
| COM-08-11361 |
|
|
| |
 |
|
| Paper |
Synthesis of 5-(Adamantan-1-yl)-4,4-dimethyl-1-(3-oxyphenyl)-2,6,7-trioxabicyclo-[3.2.0]heptanes and Their Base-Induced Chemiluminescent Decomposition in Liquid/Solid Phase
|
Masakatsu Matsumoto,* Masatoshi Tanimura, Masahiko Tachi, and Nobuko Watanabe
|
| Vol 75, Issue 7, 2008, pp.1725-1734, |
| COM-08-11368 |
|
|
| |
 |
|
| Note |
Synthesis of 6-Pyridylaminopurines
|
Luc Demange, Nassima Oumata, Julia Quinton, Serge Bouaziz, Olivier Lozach, Laurent Meijer, and Hervé Galons*
|
| Vol 75, Issue 7, 2008, pp.1735-1743, |
| COM-08-11324 |
|
|
| |
 |
|
| Note |
Facile Synthesis of 2-Anilinopyrimido[4,5-e]-[1,3,4]thiadiazines
|
Mehdi Bakavoli,* Mohammad Rahimizadeh, Ali Shiri, Hossein Eshghi, and Mohsen Nickpour
|
| Vol 75, Issue 7, 2008, pp.1745-1748, |
| COM-08-11334 |
|
|
| |
 |
|
| Note |
Synthesis of Novel N-Substituted 6-Chlorothieno[2,3-e]-1,4,2-dithiazin-3-amine 1,1-Dioxides
|
Rajab Abu-El-Halawa,* Mahmoud H. Al-Refai, Mustafa M. El-Abadelah, and Hani D. Tabba
|
| Vol 75, Issue 7, 2008, pp.1749-1755, |
| COM-08-11335 |
|
|
| |
 |
|
| Note |
Thiophene Derivatives from the Aerial Part of Pluchea indica
|
Yun-Qi Qiu, Shu-Hua Qi, Si Zhang,* Xin-Peng Tian, Zhi-Hui Xiao, MIn-Yi Li, and Qing-Xin Li
|
| Vol 75, Issue 7, 2008, pp.1757-1764, |
| COM-08-11345 |
|
|
| |
 |
|
| Note |
A Facile Synthesis of Imidazo[1,5-b]pyridazines from 3-Formylchromones
|
Andrey S. Plaskon, Sergey V. Ryabukhin,* Dmitriy M. Volochnyuk, Alexander N. Shivanyuk, and Andrey A. Tolmachev
|
| Vol 75, Issue 7, 2008, pp.1765-1772, |
| COM-08-11347 |
|
|
| |
 |
|
| Note |
A Facile Synthesis of Novel Heteropolycyclic Pyrazines and Oxazoles Mechanistic Studies of 2,3-Dihydrobenzo[de]chromene-7,8-dione with Amines
|
Hua-pei Jian, Xing-yuan Wang, Zhi-shu Huang, Shi-liang Huang,* and Lian-quan Gu
|
| Vol 75, Issue 7, 2008, pp.1773-1778, |
| COM-08-11354 |
|
|
| |
 |
|
| Note |
Synthesis of 1H-Isoindoles by Iodoamination of 2-Vinylbenzylidenamines
|
Kazuhiro Kobayashi,* Mai Horiuchi, Miyuki Tanmatsu, and Hisatoshi Konishi
|
| Vol 75, Issue 7, 2008, pp.1779-1788, |
| COM-08-11359 |
|
|
| |
 |
|
| Review |
Enamines as Precursors to Polyfunctional Heteroaromatic Compounds; a Decade of Development
|
Sayed M. Riyadh,* Ismail A. Abdelhamid, Hamad M. Al-Matar, Noha M. Hilmy, and Mohamed H. Elnagdi
|
| Vol 75, Issue 8, 2008, pp.1849-1905, |
| REV-07-625 |
|
|
| |
 |
|
| Communication |
A Facile One-Pot Synthesis of Benzimidazoles from 2-Nitroanilines by Reductive Cyclization
|
Zheng Liu, Haihong Li, Qingjie Zhao, and Jingshan Shen
|
| Vol 75, Issue 8, 2008, pp.1907-1911, |
| COM-08-11384 |
|
|
| |
 |
|
| Paper |
Solvent-Free Microwave Synthesis of 3-(4-Benzo[b]thiophene-2-carbonyl)-1-piperazinyl-1-benzo[b]thiophen-2-yl-1-propanones. New Hetero Bis-Ligands with Potential 5-HT1A Serotonergic Activity
|
Hernán Pessoa-Mahana,* Johann Kosche C., Nadia Ron H., Gonzalo Recabarren-Gajardo, Claudio Saitz B., Ramiro Araya-Maturana, and C. David Pessoa-Mahana
|
| Vol 75, Issue 8, 2008, pp.1913-1929, |
| COM-08-11326 |
|
|
| |
 |
|
| Paper |
Selenomaltol — Synthesis, Spectroscopy and Theoretical Calculations
|
Waldemar Tejchman,* Krzysztof Zborowski, Wieslaw Lasocha, and Leonard M. Proniewicz
|
| Vol 75, Issue 8, 2008, pp.1931-1942, |
| COM-08-11337 |
|
|
| |
 |
|
| Paper |
Synthesis of Acridine Analogues as Intercalating Crosslinkers and Evaluation of Their Potential Anticancer Properties
|
Toshinori Higashi, Maki Sakamoto, and Masataka Mochizuki*
|
| Vol 75, Issue 8, 2008, pp.1943-1952, |
| COM-08-11346 |
|
|
| |
 |
|
| Paper |
Synthesis of New Thiazolo[3,2-a]pyrimidin-5-one Derivatives in Reaction of 3-Allyl-2-thiouracils Cyclization
|
Renata Studzinska, Marcin Wróblewski, and Marcin Draminski*
|
| Vol 75, Issue 8, 2008, pp.1953-1961, |
| COM-08-11365 |
|
|
| |
 |
|
| Paper |
Investigation of the Acid-Mediated Cyclisation of Amide Acetal for the Synthesis of Benzazepinone
|
Wong Phakhodee, Poolsak Sahakitpichan, Songpon Deechongkit, and Somsak Ruchirawat*
|
| Vol 75, Issue 8, 2008, pp.1963-1970, |
| COM-08-11366 |
|
|
| |
 |
|
| Paper |
Halolactonization of γ-Acetylenic Acids: Synthesis of Novel Spiroisoindole Halobutyrolactones
|
Mohamed M. Rammah, Mohamed Othman,* Moncef Msaddek, and Mohamed B. Rammah
|
| Vol 75, Issue 8, 2008, pp.1971-1981, |
| COM-08-11370 |
|
|
| |
 |
|
| Paper |
Bioactive Constituents from Chinese Natural Medicines. XXXI. Hepatoprotective Principles from Sinocrassula indica: Structures of Sinocrassosides A8, A9, A10, A11, and A12
|
Kiyofumi Ninomiya, Toshio Morikawa, Haihui Xie, Hisashi Matsuda, and Masayuki Yoshikawa*
|
| Vol 75, Issue 8, 2008, pp.1983-1995, |
| COM-08-11385 |
|
|
| |
 |
|
| Note |
Effects of Aromatic Substituents of Electrochemically Generated Hypervalent Iodine Oxidant on Oxidation Reactions
|
Yoshiharu Amano and Shigeru Nishiyama*
|
| Vol 75, Issue 8, 2008, pp.1997-2003, |
| COM-08-11331 |
|
|
| |
 |
|
| Note |
Synthesis of Novel Pyrazolo[5,1-b][1,3]benzothiazoles: A New Pericyclic Pathway
|
Betül Tekiner-Gulbas, László Filák, Gyöngyvér Ágnes Vaskó, Orsolya Egyed, Ismail Yalçin, Esin Aki-Sener, Zuzsanna Riedl, and György Hajós*
|
| Vol 75, Issue 8, 2008, pp.2005-2012, |
| COM-08-11355 |
|
|
| |
 |
|
| Note |
New β-Tricarbonyl Compounds: Synthesis, Reactions with Urea and Some Thioureas
|
Mustafa Saçmaci,* Abdulrezzak Alkan, Serife Saçmaci, Emin Saripinar, and Ertan Sahin
|
| Vol 75, Issue 8, 2008, pp.2013-2021, |
| COM-08-11357 |
|
|
| |
 |
|
| Note |
Aplysinopsin Dimers from a Stony Coral. Tubastraea aurea
|
Tetsuo Iwagawa,* Miho Miyazaki, Yukiko Yokogawa, Hiroaki Okamura, Munehiro Nakatani, Matsumi Doe, Yoshiki Morimoto, and Kaoru Takemura
|
| Vol 75, Issue 8, 2008, pp.2023-2028, |
| COM-08-11358 |
|
|
| |
 |
|
| Note |
Chemical Constituents of Ligularia franchetiana Collected in Yunnan Province of China
|
Motoo Tori,* Yui Tanio, Yasuko Okamoto, Yoshinori Saito, Xun Gong,* Chiaki Kuroda,* and Ryo Hanai*
|
| Vol 75, Issue 8, 2008, pp.2029-2034, |
| COM-08-11363 |
|
|
| |
 |
|
| Note |
2-Pyrazolin-5-ones Bearing a Basic Dialkylaminoalkyl Substituent at the N1-Position: Preparation and NMR Spectroscopic Investigations
|
Barbara M. T. Wolf, Gernot A. Eller,* and Wolfgang Holzer*
|
| Vol 75, Issue 8, 2008, pp.2035-2042, |
| COM-08-11371 |
|
|
| |
 |
|
| Note |
Conformationally Constrained Adamantaneoxazolines of Pharmacological Interest
|
Ioannis Papanastasiou, George B. Foscolos,* Andrew Tsotinis, Judit Olah, Judit Ovadi, S. Radhika Prathalingam, and John Kelly
|
| Vol 75, Issue 8, 2008, pp.2043-2061, |
| COM-08-11377 |
|
|
| |
 |
|
| Review |
Palladium(II)-Catalyzed Cyclization via N-Alkylation of an Allyl Alcohol with a Urethane and Its Application to the Syntheses of Natural Products
|
Hajime Yokoyama and Yoshiro Hirai*
|
| Vol 75, Issue 9, 2008, pp.2133-2153, |
| REV-07-626 |
|
|
| |
 |
|
| Review |
Synthesis and Chemical Transformations of Benzoxazepines
|
Albert Lévai*
|
| Vol 75, Issue 9, 2008, pp.2155-2185, |
| REV-07-628 |
|
|
| |
 |
|
| Communication |
Peroxisome Proliferator-activated Receptor (PPAR) Agonists with 3,4-Dihydro-2H-benzo[e][1,3]oxazine and 2,3,4,5-Tetrahydrobenzo[f][1,4]oxazepine Skeletons: Effects of Cyclization of Linker Moiety on PPAR-Agonistic Activity
|
Kenji Ohgane, Jyun-ichi Kasuga, Takuji Ohyama, Yuko Hirakawa, Kosuke Morikawa, Makoto Makishima, Yuichi Hashimoto, and Hiroyuki Miyachi*
|
| Vol 75, Issue 9, 2008, pp.2187-2192, |
| COM-08-11407 |
|
|
| |
 |
|
| Paper |
Facile Entry to Ethyl Tetrahydro-1H-pyrrolizin-7a(5H)-ylacetate: a Versatile Pharmaceutical Intermediate
|
Claudio Bruno, Alessia Catalano, Giovanni Lentini,* Alessia Carocci, Carlo Franchini, and Vincenzo Tortorella
|
| Vol 75, Issue 9, 2008, pp.2193-2200, |
| COM-08-11369 |
|
|
| |
 |
|
| Paper |
Studies on Enamines and Azaenamines: 2-Oxoarylhydrazonals as C-1 Nucleophiles
|
Saleh M. Al-Mousawi,* Moustafa Sherief Moustafa, and Mohamed Hilmy Elnagdi
|
| Vol 75, Issue 9, 2008, pp.2201-2211, |
| COM-08-11373 |
|
|
| |
 |
|
| Paper |
The Behaviour of M+. and [M+H]+ Ions of Some Oxoisoaporphines and Quinolinone Analogs
|
Giovanni Valitutti, Eduardo Sobarzo-Sánchez, and Pietro Traldi
|
| Vol 75, Issue 9, 2008, pp.2213-2223, |
| COM-08-11374 |
|
|
| |
 |
|
| Paper |
Tungstophosphoric Acid Supported on Titania as an Eco-Friendly, Green and Reusable Catalyst for the Solvent-Free Hantzsch Multi-Component Condensation
|
Ezzat Rafiee,* Sara Eavani, Solmaz Rashidzadeh, and Mohammad Joshaghani
|
| Vol 75, Issue 9, 2008, pp.2225-2233, |
| COM-08-11379 |
|
|
| |
 |
|
| Paper |
Synthesis and Characterization of 2,3,5,6-Tetraphenylpyrazine-N, N-Dioxide: New Nitrone Dimer Species
|
Ali Hashem Essa,* Zeki A. Nasir Al-Shamkhani, Abraham F. Jalbout, and Ali Jameel Hameed
|
| Vol 75, Issue 9, 2008, pp.2235-2242, |
| COM-08-11382 |
|
|
| |
 |
|
| Paper |
A New Sulfa-Heterocyclic Compounds Containing Aziridine Moiety, 3-Benzyl-2-thia-1,3-diazabicyclo[3.1.0]hexane 2,2-Dioxide and Its Reaction with Nucleophiles
|
Nawel Khettache, Malika Berredjem, Zine Régaïnia, and Nour-Eddine Aouf*
|
| Vol 75, Issue 9, 2008, pp.2243-2250, |
| COM-08-11389 |
|
|
| |
 |
|
| Paper |
The Synthesis and Microbiological Activity of 2-Mercapto-4-(pyrrolidin-1-yl)pyridine-3-carbonitrile Derivatives
|
Agnieszka Miszke,* Henryk Foks, Anna Kedzia, Ewa Kwapisz, and Zofia Zwolska
|
| Vol 75, Issue 9, 2008, pp.2251-2261, |
| COM-08-11390 |
|
|
| |
 |
|
| Paper |
Synthesis of New 3-Nitroimidazo[1,2-a]pyridine Derivatives by SRN1 Reactions
|
Rémi Szabo, Maxime D. Crozet, and Patrice Vanelle*
|
| Vol 75, Issue 9, 2008, pp.2263-2274, |
| COM-08-11396 |
|
|
| |
 |
|
| Note |
The Regioselective Synthesis of 2H-Pyrido[2,3-b]pyrrolo[2,3-e]pyrazin-2-one
|
Krzysztof Jamrozy, Katarzyna Szymoniak, and Katarzyna Ostrowska*
|
| Vol 75, Issue 9, 2008, pp.2275-2282, |
| COM-08-11364 |
|
|
| |
 |
|
| Note |
Flavisiamines A-D, New Indole Alkaloids from Kopsia flavida
|
Mitsuhiro Sekiguchi, Yusuke Hirasawa, Kazumasa Zaima, Teh Chin Hoe, Kit-Lam Chan, and Hiroshi Morita*
|
| Vol 75, Issue 9, 2008, pp.2283-2288, |
| COM-08-11381 |
|
|
| |
 |
|
| Note |
An Expedient Method to the Synthesis of N-Substituted 1H-Isoindole-1,3(2H)-diones
|
Farzad Nikpour* and Baran Mohammadi Mogaddam
|
| Vol 75, Issue 9, 2008, pp.2289-2292, |
| COM-08-11383 |
|
|
| |
 |
|
| Note |
A Clean Synthesis of 3,3-Bis(5-Amino-1H-pyrazol-4-yl)-indolin-2-one Derivatives
|
Somayeh Ahadi, Ghazaleh Imani Shakibaei, Peiman Mirzaei, and Ayoob Bazgir*
|
| Vol 75, Issue 9, 2008, pp.2293-2299, |
| COM-08-11391 |
|
|
| |
 |
|
| Note |
Synthesis of 1,4-Dihydro-2H-3,1-benzoxazin-2-ones by Hydriodic Acid Mediated Cyclization of tert-Butyl 2-Vinylphenylcarbamates
|
Kazuhiro Kobayashi,* Shuhei Fukamachi, and Hisatoshi Konishi
|
| Vol 75, Issue 9, 2008, pp.2301-2307, |
| COM-08-11399 |
|
|
| |
 |
|
| Review |
Recent Trends in the Chemistry of Molecular Complexes of Heteroaromatic N-Oxides
|
Alexander V. Ryzhakov* and Ludmila L. Rodina
|
| Vol 75, Issue 10, 2008, pp.2367-2380, |
| REV-08-630 |
|
|
| |
 |
|
| Review |
Chemistry and Applications of 4,5-Diazafluorenes
|
Katsuhiko Ono* and Katsuhiro Saito
|
| Vol 75, Issue 10, 2008, pp.2381-2413, |
| REV-08-631 |
|
|
| |
 |
|
| Communication |
Synthesis and Properties of S-Aminothiiranium Salts of anti- and syn-9,9’-Bibenzonorbornenylidenes and 2,2’-Biadamantylidene
|
Yoshiaki Sugihara,* Rie Ohtsu, and Juzo Nakayama*
|
| Vol 75, Issue 10, 2008, pp.2415-2420, |
| COM-08-11412 |
|
|
| |
 |
|
| Paper |
Guanidine-Annelated Heterocycles XVI. A Practical Synthesis of 7-Chloro-4-phenylamino[1,2,4]triazoloquinazolin-5(4H)-ones
|
Wen-Chuan Hsu,* Pei-Wen Shan, Yi-Chen Huang, Kang-Chien Liu, and Tsu-Chung Chang*
|
| Vol 75, Issue 10, 2008, pp.2421-2428, |
| COM-08-11406 |
|
|
| |
 |
|
| Paper |
Aldolisation and Carboxylation Reactions from α-Silyl-β-lactams. A Combined Theoretical and Experimental Study
|
Sabrina Parat, Béatrice Pelotier, Lycia Fournier, Michel Rajzmann, Philip J. Kocienski, and Jean-Marc Pons*
|
| Vol 75, Issue 10, 2008, pp.2429-2441, |
| COM-08-11408 |
|
|
| |
 |
|
| Paper |
Synthesis, Structure and Photoluminescent Properties of Two Complexes Based on Iso-cyanuric Acid
|
Xifeng Lu, Jing Gao, Ligang Gai, Deliang Cui,* and Qilong Wang
|
| Vol 75, Issue 10, 2008, pp.2443-2458, |
| COM-08-11409 |
|
|
| |
 |
|
| Paper |
Reactivity of (R)-4-Phenyloxazolidine-2-thione Chiral Auxiliary: From Deprotection to Heterocyclic Interconversion
|
Jean-Christophe Monbaliu, Bernard Tinant, and Jacqueline Marchand-Brynaert*
|
| Vol 75, Issue 10, 2008, pp.2459-2475, |
| COM-08-11410 |
|
|
| |
 |
|
| Paper |
Synthesis and Characterisation of Some New N-Glycosides Containing Substituted Pyridopyrimidinone, Pyrimidopyridazinone, Thiazolopyrimidinone and Quinolizin-4-one Moiety
|
Petr Simunek,* Jurij Svete, and Branko Stanovnik*
|
| Vol 75, Issue 10, 2008, pp.2477-2491, |
| COM-08-11414 |
|
|
| |
 |
|
| Paper |
Reactions of Alkylation of Biologically Interesting Triazolo[4,5-g]quinolines and Triazolo[4,5-g]quinoline-1-oxides with Electrophilic Reagents
|
Antonio Carta,* Angela Sias, Sandra Piras, and Giuseppe Paglietti
|
| Vol 75, Issue 10, 2008, pp.2493-2505, |
| COM-08-11415 |
|
|
| |
 |
|
| Paper |
Benzo[b]-1,10-phenanthrolines. V. Synthesis and Properties of 3,3’-Polymethylene-2-(pyrid-2’-yl)benzo[b]-1,10-phenanthrolines
|
A. F. M. Motiur Rahman and Yurngdong Jahng*
|
| Vol 75, Issue 10, 2008, pp.2507-2512, |
| COM-08-11423 |
|
|
| |
 |
|
| Paper |
Friedländer Quinoline Synthesis Catalyzed by M(HSO4)n (M=Al, Mg, Ca) under Solvent-Free Conditions
|
Khodabakhsh Niknam,* Mohammad Ali Zolfigol, and Amin Dehghani
|
| Vol 75, Issue 10, 2008, pp.2513-2521, |
| COM-08-11442 |
|
|
| |
 |
|
| Note |
Green Approach for the Efficient Synthesis of Quinolines Promoted by Citric Acid
|
Ramu Enugala, Sreelatha Nuvvula, Vijay Kotra, Ravi Varala, and Srinivas R. Adapa*
|
| Vol 75, Issue 10, 2008, pp.2523-2533, |
| COM-08-11405 |
|
|
| |
 |
|
| Note |
Kopreasin A, a New Indole Alkaloid from Kopsia arborea
|
Kazumasa Zaima, Yosuke Matsuno, Yusuke Hirasawa, Abdul Rahman, Gunawan Indrayanto, Noor Cholies Zaini, and Hiroshi Morita*
|
| Vol 75, Issue 10, 2008, pp.2535-2540, |
| COM-08-11416 |
|
|
| |
 |
|
| Note |
β-Ketoesters Derived from Pyroglutamic Acid: New Entry to Hydroxylated Pyrrolizidinones
|
Géraldine Le Bouc, Christine Thomassigny, and Christine Greck*
|
| Vol 75, Issue 10, 2008, pp.2541-2547, |
| COM-08-11418 |
|
|
| |
 |
|
| Note |
Synthesis of Novel 3,6-Disubstituted Furo[2,3-d]pyrimidines
|
Mehdi Bakavoli,* Mohammad Rahimizadeh, and Zinat Gordi
|
| Vol 75, Issue 10, 2008, pp.2549-2553, |
| COM-08-11422 |
|
|
| |
 |
|
| Note |
Synthesis of 1(3H)-Iminobenzo[c]thiophene Derivatives by Hydriodic Acid-Mediated Cyclization of 2-(Vinyl)thiobenzamide Derivatives
|
Kazuhiro Kobayashi,* Seiki Fujita, and Hisatoshi Konishi
|
| Vol 75, Issue 10, 2008, pp.2555-2562, |
| COM-08-11425 |
|
|
| |
 |
|
| Review |
Survey of Briarane-Type Diterpenoids — Part III
|
Ping-Jyun Sung,* Jyh-Horng Sheu, Wei-Hsien Wang, Lee-Shing Fang, Hsu-Ming Chung, Chen-Hao Pai, Yin-Di Su, Wei-Tse Tsai, Bo-Yuan Chen, Mei-Ru Lin, and Gung-Ying Li
|
| Vol 75, Issue 11, 2008, pp.2627-2648, |
| REV-08-633 |
|
|
| |
 |
|
| Paper |
1-Alkyl-3-ethylthio-4-(N-benzoyl-N-phenylamino)quinolinium Salts — Synthesis and Transformations
|
Andrzej Zieba* and Kinga Suwinska
|
| Vol 75, Issue 11, 2008, pp.2649-2657, |
| COM-08-11421 |
|
|
| |
 |
|
| Paper |
Synthesis of 2-Substituted Pyrimido[5,4-b]indolizine Derivatives from Acetates of Baylis-Hillman Adducts
|
Min Jiang, Qian He, Chunhao Yang,* and Yuyuan Xie
|
| Vol 75, Issue 11, 2008, pp.2659-2666, |
| COM-08-11428 |
|
|
| |
 |
|
| Paper |
Regio- and Stereoselective Synthesis of Thiazole-Substituted Histamine and Adenine Derivatives by Nucleophilic Attack at Allenyl Isothiocyanate
|
Baker Jawabrah Al-Hourani, Klaus Banert,* Tobias Rüffer, Bernhard Walfort, and Heinrich Lang
|
| Vol 75, Issue 11, 2008, pp.2667-2679, |
| COM-08-11430 |
|
|
| |
 |
|
| Paper |
Inter- and Intramolecular Cyclisation Reactions of Azoacetates Derived from Aryl Hydrazones of Ethylacetoacetate and Acetoacetanilides
|
Neil O’Halloran, John P. James,* Carol A. Downey, Patrick O’Malley, Thomas Duff, and Samuel Bertrand
|
| Vol 75, Issue 11, 2008, pp.2681-2701, |
| COM-08-11433 |
|
|
| |
 |
|
| Paper |
A Facile Synthesis of 2-Difluoromethyl-6-methylpyridine-3,5-dicarboxylates
|
Isamu Katsuyama,* Kazumasa Funabiki, Masaki Matsui, Hiroshige Muramatsu, and Katsuyoshi Shibata
|
| Vol 75, Issue 11, 2008, pp.2703-2711, |
| COM-08-11434 |
|
|
| |
 |
|
| Paper |
New Method of Synthesis of 5,6-Dihydro-4H-pyrrolo[1,2-a][1,4]benzodiazepines
|
Grigory V. Mokrov, Arkady M. Likhosherstov, Rainer Gewald, and Rudolf Schindler*
|
| Vol 75, Issue 11, 2008, pp.2713-2722, |
| COM-08-11436 |
|
|
| |
 |
|
| Paper |
The Synthesis and Microbiological Activity of 2-Mercapto-4-methoxypyridine-3-carbonitrile Derivatives
|
Agnieszka Miszke,* Henryk Foks, Kamil Brozewicz, Anna Kedzia, Ewa Kwapisz, and Zofia Zwolska
|
| Vol 75, Issue 11, 2008, pp.2723-2734, |
| COM-08-11439 |
|
|
| |
 |
|
| Paper |
Synthesis of 1-Aryl-1H-pyrrolo[2,3-b]pyridines (1-Aryl-7-azaindoles) by a Thermal Dehydration-Cyclization-Dehydrogenation Sequence of 2-Arylamino-3-(1-hydroxyalkyl)pyridines
|
Kazuhiro Kobayashi,* Seiki Fujita, Shuhei Fukamachi, and Hisatoshi Konishi
|
| Vol 75, Issue 11, 2008, pp.2735-2744, |
| COM-08-11441 |
|
|
| |
 |
|
| Paper |
Regioselective Syntheses of 1-, 2-, 3- and 4-Aminoindolo[2,3-b]quinoxalines
|
Aurélie Jaouen, Philippe Helissey, Stéphanie Desbène-Finck, and Sylviane Giorgi-Renault*
|
| Vol 75, Issue 11, 2008, pp.2745-2759, |
| COM-08-11444 |
|
|
| |
 |
|
| Paper |
Mannich Reaction of 5-Hydroxy-β-carboline. Application to the Synthesis of Novel Oxazinopyrimidocarboline Derivatives
|
Samar Issa, Nadia Walchshofer, Issam Kassab, Jacques Gentili, Aziz Geahchan, and Zouhair Bouaziz*
|
| Vol 75, Issue 11, 2008, pp.2761-2767, |
| COM-08-11447 |
|
|
| |
 |
|
| Paper |
Synthesis and Alkylation of Sodium 4-Thioxo-1,4-dihydroquinoline-3-sulfinate
|
Leszek Skrzypek and Andrzej Maslankiewicz*
|
| Vol 75, Issue 11, 2008, pp.2769-2778, |
| COM-08-11448 |
|
|
| |
 |
|
| Paper |
A Facile Route to Pyrrolo[2,1-a]- and 1,2,3-Triazolo[5,1-a]dihydroisoquinolines
|
Tayseer A. Abdallah
|
| Vol 75, Issue 11, 2008, pp.2779-2789, |
| COM-08-11452 |
|
|
| |
 |
|
| Note |
A Facile Synthesis of Some New 7,8-Dihydrospiro{imidazo[1,2-a]pyridine-7,3’-indolin}-2’-one Derivatives
|
Maher F. El-Zohry,* Thanaa A. Mohamed, and Essam M. Hussein
|
| Vol 75, Issue 11, 2008, pp.2791-2802, |
| COM-08-11427 |
|
|
| |
 |
|
| Note |
A New Method to Synthesize Famciclovir
|
Lei Luo, Guorong Chen, and Yuanchao Li*
|
| Vol 75, Issue 11, 2008, pp.2803-2808, |
| COM-08-11435 |
|
|
| |
 |
|
| Note |
A New Efficient Method for the Three-Component Synthesis of 4(3H)-Quinazolinones
|
Mostafa Baghbanzadeh, Minoo Dabiri,* and Peyman Salehi*
|
| Vol 75, Issue 11, 2008, pp.2809-2815, |
| COM-08-11437 |
|
|
| |
 |
|
| Note |
A Concise Synthesis of (-)-Cytoxazone
|
Van-Thoai Pham, Jae-Eun Joo, Yong-Shou Tian, Yong-Hyun Kim, Kee-Young Lee, Chang-Young Oh, Jin-Hyun Jeongc, and Won-Hun Hama*
|
| Vol 75, Issue 11, 2008, pp.2817-2823, |
| COM-08-11446 |
|
|
| |
 |
|
| Note |
A Convenient One-Pot Three Component Approach to Synthesis of Highly Substituted Iminothiazolines
|
Heshmat Allah Samimi, Manouchehr Mamaghani,* and Khalil Tabatabaeian
|
| Vol 75, Issue 11, 2008, pp.2825-2833, |
| COM-08-11453 |
|
|
| |
 |
|
| Review |
Reaction of Hydrazines and Hydroxylamine with Trifluoromethyl-β-diketones: Synthesis of Trifluoromethylpyrazole and Isoxazole Derivatives
|
Vinod Kumar, Ranjana Aggarwal, and Shiv P. Singh*
|
| Vol 75, Issue 12, 2008, pp.2893-2929, |
| REV-08-634 |
|
|
| |
 |
|
| Communication |
Rhodium-catalyzed Arylation of 2-Azabicyclo[2.2.1]hept- 5-en-3-one with Arylboronic Acids under Microwave Irradiation
|
Takumi Abe, Hiroyuki Takeda, Yumi Takahashi, Yoshihisa Miwa, Koji Yamada, and Minoru Ishikura*
|
| Vol 75, Issue 12, 2008, pp.2931-2936, |
| COM-08-11483 |
|
|
| |
 |
|
| Paper |
Synthesis and Antimicrobial Evaluation of Some Bis(thioxopyridine), Bis(pyrazolo[3,4-b]pyridine), Bis(thieno[2,3-b]pyridine), Bis(1,3,4-Thiadiazole) and Bisthiophene Derivatives
|
Nabila A. Kheder, Yahia N. Mabkhot, and Ahmad M. Farag*
|
| Vol 75, Issue 12, 2008, pp.2937-2948, |
| COM-08-11426 |
|
|
| |
 |
|
| Paper |
A New Approach to the Benzopyridoxepine Core by Metal Mediated Intramolecular Biaryl Ether Formation
|
Georgeta Serban,* Hitoshi Abe, Yasuo Takeuchi, and Takashi Harayama*
|
| Vol 75, Issue 12, 2008, pp.2949-2958, |
| COM-08-11443 |
|
|
| |
 |
|
| Paper |
Efficient Formation of a Triazole Ring via Novel Ring-opening Reaction of (Z)-2-Methyl-4-arylmethylene-5(4H)-oxazolones with Hydrazides
|
Kei Maekawa, Atsushi Tomoda, Tetsutaro Igarashi, and Tadamitsu Sakurai*
|
| Vol 75, Issue 12, 2008, pp.2959-2971, |
| COM-08-11457 |
|
|
| |
 |
|
| Paper |
A Simple and Practical Synthesis of Methyl Benzo[b]furan-3-carboxylates
|
Ferdinand S. Melkonyan, Nikita E. Golantsov, and Alexander V. Karchava*
|
| Vol 75, Issue 12, 2008, pp.2973-2980, |
| COM-08-11458 |
|
|
| |
 |
|
| Paper |
Rearrangement of Dialkyl-2-(azetidin-3-yl)propane-1,3-dioates - A Structural Revision
|
Mark R. Faust, Cornelia E. Hoesl, and Klaus T. Wanner*
|
| Vol 75, Issue 12, 2008, pp.2981-2988, |
| COM-08-11463 |
|
|
| |
 |
|
| Paper |
Facile Synthesis of Model Indazolo[2,1-c][1,3,4]benzotriazepin-5,13-diones
|
Jalal A. Zahra, Mustafa M. El-Abadelah,* Bassam A. Abu Thaher, Stefan Laufer, and Roland Boes
|
| Vol 75, Issue 12, 2008, pp.2989-3004, |
| COM-08-11464 |
|
|
| |
 |
|
| Paper |
Synthesis and Antimicrobial Evaluation of Novel Pyrazolo[1,5-a]pyrimidine, Pyrimido[1,2-a]benzimidazole, Triazolo[4,3-a]pyrimidine and Pyrido[1,2-a]benzimidazole Derivatives Incorporated Phenylsulfonyl Moiety
|
Mohamed R. Shaaban*
|
| Vol 75, Issue 12, 2008, pp.3005-3014, |
| COM-08-11471 |
|
|
| |
 |
|
| Paper |
Novel and Efficient Access to Thieno[3,4-c]cinnolines
|
Karine Gehanne, Jean-Charles Lancelot, Stéphane Lemaître, Hussein El-Kashef, and Sylvain Rault*
|
| Vol 75, Issue 12, 2008, pp.3015-3024, |
| COM-08-11472 |
|
|
| |
 |
|
| Paper |
Synthesis of 1-Iminoisothiochroman Derivatives Based on Reactions of 2-Lithio-β-methoxystyrene Derivatives with Isothiocyanates Followed by Acid-mediated Cyclization
|
Kazuhiro Kobayashi,* Daisuke Nakai, Kazutaka Hayashi, and Hisatoshi Konishi
|
| Vol 75, Issue 12, 2008, pp.3025-3033, |
| COM-08-11473 |
|
|
| |
 |
|
| Paper |
Furanoeremophilanes and Other Constituents of Pittocaulon bombycophole
|
Jhon Ironzi Maldonado R., Amira Arciniegas, Ana-L. Pérez Castorena, José Luis Villaseñor, and Alfonso Romo de Vivar*
|
| Vol 75, Issue 12, 2008, pp.3035-3042, |
| COM-08-11479 |
|
|
| |
 |
|
| Note |
Grayanane Diterpenoids from the Barks of Craibiodendron henryi
|
Xiang-zhong Huang,* Rong Huang, Gang Du, Yan Yin, Yun Dai, and Ming-qian Yu
|
| Vol 75, Issue 12, 2008, pp.3043-3049, |
| COM-08-11413 |
|
|
| |
 |
|
| Note |
Singaporentine A: A New Indole Alkaloid from Kopsia singapurensis Ridl.
|
Khalijah Awang,* Kartini Ahmad, Noel F. Thomas, Yusuke Hirasawa, Koichi Takeya, A. Hamid A. Hadi, Mat Ropi Mukhtar, Khalit Mohamad, and Hiroshi Morita
|
| Vol 75, Issue 12, 2008, pp.3051-3056, |
| COM-08-11438 |
|
|
| |
 |
|
| Note |
Coumarins and Flavones from Casimiroa pringlei
|
Emma Maldonado, Imelda Márquez, Fernando Chiang, and Alfredo Ortega*
|
| Vol 75, Issue 12, 2008, pp.3057-3064, |
| COM-08-11440 |
|
|
| |
 |
|
| Note |
An Alternative Preparation of Pyrazolo-pyridine Derivatives in Ionic Liquid and Comparison Study on the Reactivity of Thioamide and Amide Group
|
Xin-Ying Zhang, Xiao-Yan Li, Xue-Sen Fan,* Xia Wang, Gui-Rong Qu,* Jian-Ji Wang
|
| Vol 75, Issue 12, 2008, pp.3065-3075, |
| COM-08-11455 |
|
|
| |
 |
|
| Note |
Efficient Synthesis of 1,8-Dioxo-octahydroxanthenes Using HClO4/SiO2 as Catalyst
|
Gholam Hossein Mahdavinia, Mohammad A. Bigdeli,* Yaser Saeidi Hayeniaz, and Firouzeh Nemati
|
| Vol 75, Issue 12, 2008, pp.3077-3083, |
| COM-08-11459 |
|
|
| |
 |
|
| Note |
Studies of the Egyptian Traditional Folk Medicines. IV. New Isoflavonoid Isolated from Egyptian Licorice
|
Masaki Baba,* Sakiko Sumi, Noriaki Iwasaki, Hisahiro Kai, Masami Sakano (nee Komiya), Yoshihito Okada, Toru Okuyama
|
| Vol 75, Issue 12, 2008, pp.3085-3089, |
| COM-08-11462 |
|
|
| |
 |
|
| Note |
A Mild and Efficient Synthesis of New 3-Phenylthienotriazolopyrimidine Derivatives Using Iodobenzene Diacetate
|
Byeoung Sun Joe, Hoon Young Son, and Yang-Heon Song*
|
| Vol 75, Issue 12, 2008, pp.3091-3097, |
| COM-08-11465 |
|
|
| |
 |
|
| 205 data found. 1 - 205 listed |
|
|
|
|