Synthesis and structure of substituted 5-phenoxy-1,2,4-dithiazole-3-ones Oleksandr Ponomarov, Zdeňka Padělková and Jiří Hanusek 1225-1228
|
| Full: PDF (133 K) |
|
Synthesis, characterization, and evaluation of antimicrobial activities of a new class of macrocyclic phosphonates G. Chandra Sekhar Reddy, A. Uma Ravi Sankar, M. Veera Narayana Reddy, C. Radha Rani and C. Suresh Reddy 1229-1233
|
| Full: PDF (117 K) |
|
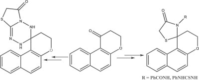
Synthesis of spiroheterocycles derived from benzo[f]chromanone Anita Pati, Snigdha Mohapatra and Rajani K. Behera 1234-1237
|
| Full: PDF (132 K) |
|
Synthesis of novel piperidyl spirofused benzofurans/benzopyrans by radical cyclization Zilong Tang, Joelle Mayrargue and Mouad Alami 1238-1242
|
| Full: PDF (113 K) |
|
New heterocycles of 2,3-diaryl-substituted maleic hydrazides Hsiencheng Shih[1], Renshuay J. Shih and Dennis A. Carson 1243-1250
|
| Full: PDF (441 K) |
|
Synthesis and α-glucosidase inhibitory, DPPH scavenging activity of substituted 2-oxo-2H-chromen-7-yl-dihydrogen phosphate derivatives J. Ashok Kumar, Ashok K. Tiwari, A.Zehra Ali, R. Ranga Rao and B. China Raju 1251-1257
|
| Full: PDF (233 K) |
|
A new conjugated addition of trialkyl phosphites and alkylidenephosphoranes to 3-ω-azideoacetyl coumarin synthesis of some 1,2,3,4-triazaphospholes, triazoles, and azido-coumarin derivatives Ashraf A. Sediek, Abeer A. Shaddy and Wafaa M. Abdou 1258-1263
|
| Full: PDF (312 K) |
|
An improved procedure for the three-component synthesis of benzo[g]chromene derivatives using basic ionic liquid Yi Yu, Hongyun Guo and Xiaojun Li 1264-1268
|
| Full: PDF (91 K) |
|
Design and synthesis of some novel quinoline derivatives as anticancer and radiosensitizing agents targeting VEGFR tyrosine kinase Mostafa M. Ghorab, Fatma A. Ragab, Helmy I. Heiba and Walid M. Ghorab 1269-1279
|
| Full: PDF (831 K) |
|
Cyanoacetamide in heterocyclic chemistry: Synthesis, antitumor and antioxidant activities of some new benzothiophenes Serry A. A. El Bialy and Moustafa A. Gouda 1280-1286
|
| Full: PDF (371 K) |
|
Novel sulfenamides as promising acetylcholinesterase inhibitors Carla Proença, M. Luísa Serralheiro, M. Eduarda Araújo, Teresa Pamplona, Susana Santos, M. Soledade Santos and Fátima Frazão 1287-1294
|
| Full: PDF (199 K) |
|
Coupling of two diazotized 3-aminothieno[3,4-c]coumarins with aromatic amines Emmanuel Sopbué Fondjo, Joseph Tsemeugne, Beibam Luc Sondengam, Thomas Oppenlaender, Hippolyte Kamdem Wabo, Pierre Tane, Joseph D. Connolly, Wim Dehaen, Taoufik Rohand, Haruhisa Kikuchi and Yoshiteru Oshima 1295-1301
|
| Full: PDF (136 K) |
|
Bismuth triflate–L(−)-proline catalyzed synthesis of chiral 2,5-diaryl-2,3-dihydropyrano[2,3-b]quinolin-4-ones Nitu Mahajan, Surrinder Koul and Tej K. Razdan 1302-1307
|
| Full: PDF (277 K) |
|
Synthesis and conversion of 6-fluoro derivatives of 1,3,4-thiadiazolo-[3,2-a]pyrimidine Muhamadsho A. Kukaniev and Cyril Párkányi 1308-1311
|
| Full: PDF (86 K) |
|
Unanticipated products from reductive and oxidative cleavages of 1-substituted 3,3-diphenyl-1′-methylspiro[azetidine-2,3′-indoline]-2′,4-diones Girija S. Singh and Patrick M. Luntha 1312-1316
|
| Full: PDF (93 K) |
|
Synthesis of some new 1H-benzimidazole-2-carboxamido derivatives and their antimicrobial activitiy Seçkin Özden, Figen Usta, Nurten Altanlar and Hakan Göker 1317-1322
|
| Full: PDF (389 K) |
|
Synthesis, characterization, antibacterial and antifungal activity of 2-(aryl)-3-(3-((8-hydroxyquinolin-5-yl)diazenyl)phenyl)thiazolidin-4-ones Himani N. Chopde, Ramakanth Pagadala, Jyotsna S. Meshram and Venkateshwarlu Jetti 1323-1328
|
| Full: PDF (91 K) |
|
Optimization of the Suzuki coupling reaction in the synthesis of 2-[(2-substituted)phenyl]pyrrole derivatives Marija Alešković, Nikola Basarić and Kata Mlinarić-Majerski 1329-1335
|
| Full: PDF (232 K) |
|
Eco-friendly HClO4–SiO2 catalyzed synthesis of mono- and bis-diaryl-2h-1,4 benzothiazines Mohd. Imran Ansari, Ravi Shankar, Mohd. Kamil Hussain, Ruchir Kant, Prakash R. Maulik, K. Ravi Kumar and K. Hajela 1336-1341
|
| Full: PDF (265 K) |
|
A simple synthesis of trisubstituted quinolines through transesterification Dipti R. Patil, Madhukar B. Deshmukh, Sonali M. Salunkhe and Prashant V. Anbhule 1342-1346
|
| Full: PDF (137 K) |
|
Molecular iodine-catalyzed one-pot synthesis of tetrahydrobenzo[a]xanthene-11-one and diazabenzo[a]anthracene-9,11-dione derivatives under microwave irradiation X. J. Sun, J. F. Zhou and P. S. Zhao 1347-1350
|
| Full: PDF (153 K) |
|
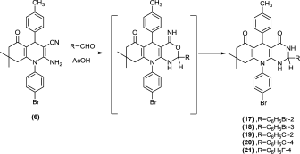
Design and synthesis of new derivatives of 3H-quinazolin-4-one as potential anticonvulsant agents Uma Kabra, Chandrabhan Chopde and Sudhir Wadodkar 1351-1355
|
| Full: PDF (106 K) |
|
Ytterbium(III) triflate: An efficient and simple catalyst for isomerization of 2′-hydroxychalcone and 2′-aminochalcones in ionic liquid V. Kameswara Rao, M. Sudershan Rao and Anil Kumar 1356-1360
|
| Full: PDF (86 K) |
|
Behavior of 3(2-pyridinylmethylene)-5-aryl-2(3H)-furanones and 3(3-pyridinylmethylene)-5-aryl-2(3H)-furanones as alkylating agents: A comparative study Wael S. I. Abou Elmagd 1361-1365
|
| Full: PDF (255 K) |
|
Synthesis and antimicrobial activity of some novel substituted 1,2,4-triazoles bearing 1,3,4-oxadiazoles or pyrazoles Mehdi Kalhor, Akbar Mobinikhaledi, Akbar Dadras and Maryam Tohidpour 1366-1370
|
| Full: PDF (99 K) |
|
Oximes as products in the reactions of 5-substituted 2-nitrothiophenes with arylacetonitriles Nazar I. Rad, Yuriy O. Teslenko, Mykola D. Obushak, Vasyl S. Matiychuk and Roman Z. Lytvyn 1371-1374
|
| Full: PDF (75 K) |
|
NMR and X-ray structural studies on 3-benzyl-8-bromoadenine Huey-San Melanie Siah, Carl Henrik Görbitz and Lise-Lotte Gundersen 1375-1378
|
| Full: PDF (305 K) |
|
Zr(HSO4)4-catalyzed one-pot three-component synthesis of 7-alkyl-6H,7H-naphtho[1′,2′:5,6]pyrano[3,2-c]chromen-6-ones Xiao Wang, Guangzhou Lu, Fulin Yan, Weiwei Ma and Liqiang Wu 1379-1382
|
| Full: PDF (82 K) |
|
Synthesis of novel 1,7-naphthyridines by Friedländer condensation of pyridine substrates Vegar Stockmann and Anne Fiksdahl 1383-1387
|
| Full: PDF (298 K) |
|
An efficient and convenient approach for the synthesis of novel 2-hydroxy-12-aryl-8,9,10,12-tetrahydrobenzo[a]xanthene-11-ones using p-toluenesulfonic acid in ethanol and ionic liquid Jitender M. Khurana, Bhaskara Nand and Sneha 1388-1392
|
| Full: PDF (187 K) |
|
Synthesis and optical properties of cis-dibenzothiazolyldibenzo-24-crown-8 Dong-Jing Han, Zhi-Bin Huang and Shun-Jun Ji 1393-1397
|
| Full: PDF (244 K) |
|
Synthesis of tetrahydropyrimidino[4,3-a]isoquinolines via regiospecific N-alkylation-annulation of 4-aryldihydropyrimidinones Jagjeet Singh, Nitu Mahajan, Rattan L. Sharma and Tej K. Razdan 1398-1403
|
| Full: PDF (130 K) |
|
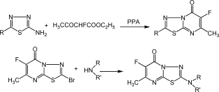
Synthesis and transformations of hydrazine substituted 6-fluoro derivatives of 1,3,4-thiadiazolo[3,2-a]pyrimidine Muhamadsho A. Kukaniev and Cyril Párkányi 1404-1406
|
| Full: PDF (77 K) |
|
Polycyclic N-heterocyclic compounds, part 67: Reaction of 6,7-substituted N-(quinazolin-4-yl)amidine derivatives with hydroxylamine hydrochloride: Formation of in vitro inhibitors of pentosidine Kensuke Okuda, Hideki Muroyama and Takashi Hirota 1407-1413
|
| Full: PDF (136 K) |
|
An efficient synthesis of 2,3,4-trisubstituted quinolines through alkynylation-cyclization at ambient temperature Dipti R. Patil, Sonali M. Salunkhe, Madhukar B. Deshmukh and Prashant V. Anbhule 1414-1418
|
| Full: PDF (105 K) |
|
One-pot synthesis of 2,3-disubstituted-2,3-dihydroquinazolin-4(1H)-ones using [Hmim][NO3]: An eco-friendly protocol Iraj Mohammadpoor-Baltork, Ahmad Reza Khosropour, Majid Moghadam, Shahram Tangestaninejad, Valiollah Mirkhani, Mohammad Soltani and Arsalan Mirjafari 1419-1427
|
| Full: PDF (512 K) |
|
Synthesis of 2-(sulfamoylphenyl)-4′-(iminoaryl/hetroaryl)-4-(4′′-hydroxyphenyl)-thiazoles and their O-glucosides V. S. Taile, K. M. Hatzade and V. N. Ingle 1428-1433
|
| Full: PDF (115 K) |
|
Synthesis of new 3,3′-(1,4-phenylene)bis(1,5-diones) derivatives Qiang Shao, Hui Liu, Ting-Ting Wang and He-Ping Zeng 1434-1439
|
| Full: PDF (379 K) |
|
A facile and efficient addition reaction of nitrogen-containing heterocyclic compounds with DMAD under neat conditions Hassan Valizadeh, Ashkan Shomali and Hamid Gholipour 1440-1444
|
| Full: PDF (98 K) |
|
2-Arylhydroxynitroindoles: A new procedure for the cleavage of aryl methyl ethers G. V. Kokurkina, M. D. Dutov and S. A. Shevelev 1445-1447
|
| Full: PDF (69 K) |
|
Synthesis and application of silica phenyl sulfonic acid as a solid acid heterogeneous catalyst for one-pot synthesis of 2-aryl-1-arylmethyl-1H-1,3-benzimidazoles and bis(indolyl)methanes in water Hojat Veisi, Alireza Sedrpoushan, Mohammad Ali Zolfigol and Farajollah Mohanazadeh 1448-1454
|
| Full: PDF (301 K) |
|