Dibenzo[b,f]oxepin-10(11H)-one and dibenzo[b,f]thiepin-10(11H)-one as useful synthons in the synthesis of various dibenzo[e,h]azulenes Dijana Pešić, Ivana Ozimec Landek, Renata Rupčić, Marina Modrić, Iva Džapo [1], Rudolf Trojko [2], Mladen Merćep [3] and Milan Mesić 243-252
|
| Full: PDF (303 K) |
|
Four component one-pot synthesis of novel 7,8-dihydroquinolin-5(1H,4H,6H)-one derivatives containing an ionone unit and in vitro antioxidant activity Esra Fındık, Mustafa Ceylan and Mahfuz Elmastaş 253-260
|
| Full: PDF (422 K) |
|
Oxidative transformations of 4-methylcoumarins using dimethyldioxirane Sanja Ćavar and Franci Kovač 261-266
|
| Full: PDF (279 K) |
|
Synthesis and chemistry of new spiro-Δ1-pyrazoline Nesrine Louhichi, Amel Houas, Naoufel Ben Hamadi and Moncef Msaddek 267-271
|
| Full: PDF (133 K) |
|
Synthesis and antitumor activity of some novel hydrazide, 1,2-dihydropyridine, chromene, and benzochromene derivatives Mostafa M. Ghorab and Mansour S. Al-Said 272-280
|
| Full: PDF (189 K) |
|
Polycyclic N-Heterocyclic Compounds, Part 69: Synthesis of 5-amino-1,2-dihydro[1]benzofuro[3,2-d]furo[2,3-b]pyridines and their transformations to related compounds Kensuke Okuda, Jun-ichi Takano, Takashi Hirota and Kenji Sasaki 281-287
|
| Full: PDF (174 K) |
|
Quinolone analogs 11: Synthesis of novel 4-quinolone-3-carbohydrazide derivatives with antimalarial activity Yoshihisa Kurasawa, Kiminari Yoshida, Naoki Yamazaki, Eisuke Kaji, Kenji Sasaki, Yoshito Zamami, Yasuhiro Sakai, Takatoshi Fujii and Hideyuki Ito 288-292
|
| Full: PDF (134 K) |
|
2-amino-X-nitrobenzimidazoles as precursors of food-borne carcinogens: A new approach to IQ synthesis Maroš Bella, Viktor Milata and Lyudmila I. Larina 293-296
|
| Full: PDF (129 K) |
|
Tetrahydropyridinium bromide: Useful synthon to functionalized pyrrolidines Luca Guideri, Rossella Noschese and Fabio Ponticelli 297-302
|
| Full: PDF (257 K) |
|
Synthesis and biological activities of some new thiazolidine derivatives containing pyrazole ring system Sho Nishida, Hiroshi Maruoka, Yuki Yoshimura, Takao Goto, Ryoko Tomita, Eiichi Masumoto, Fumi Okabe, Kenji Yamagata and Toshihiro Fujioka 303-309
|
| Full: PDF (183 K) |
|
An efficient one-pot synthesis of pyrimido[2,1-b][1,3]oxazine derivatives via the reaction of isocyanides with dialkyl acetylenedicarboxylates in the presence of 5-substituted uracils Robabeh Baharfar and Seyed Meysam Baghbanian 310-314
|
| Full: PDF (357 K) |
|
Synthesis of novel pyrazolo[3,4-d]pyrimidines peri-fused with 1,4-diazepine, 1,4-thiazepine, and 1,2,4-triazepine rings Viktoras Masevicius, Robertas Juskenas and Sigitas Tumkevicius 315-320
|
| Full: PDF (143 K) |
|
Efficient synthesis of flupirtine analogues derived from pyrimidine Finn K. Hansen and Detlef Geffken 321-328
|
| Full: PDF (199 K) |
|
Novel synthesis of 1,2,4-triazolophanes and 1,3,4-oxadiazolophanes: A dieckmann condensation approach Madhukar S. Chande, C. Sajithkumar, Hemant S. Mondkar, Pravin A. Barve and Sachin Diwan 329-335
|
| Full: PDF (206 K) |
|
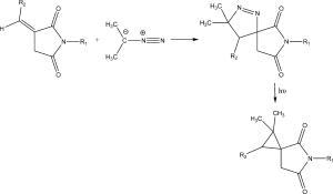
1,3-dipolar cycloaddition reactions of 2-substituted azomethine N-oxides with N-benzyl maleimides leading to the synthesis of stereoisomers Rahul Badru, Sakshi Shah and Baldev Singh 336-341
|
| Full: PDF (237 K) |
|
1,3-Di-n-butylimidazolium tribromide-mediated chemoselective oxidative cyclization of benzothiazoyl carbaimides: A novel approach toward the synthesis of N-bis-benzothiazole derivatives Ravindra M. Kumbhare, Tulshiram Dadmal, Umesh Kosurkar and K. Vijay Kumar 342-348
|
| Full: PDF (399 K) |
|
Synthesis, characterization, and in vitro biological studies of some novel pyran fused pyrimidone derivatives Prashant T. Mistry, Nimesh R. Kamdar, Dhaval D. Haveliwala and Saurabh K. Patel 349-357
|
| Full: PDF (319 K) |
|
Reaction of 2-Alkoxy-4,5-diphenyl-1,3-oxazin-6-one with different alcohols and elucidation of the products Amir Assadieskandar, Mohsen Amini, Matti Haukka and Abbas Shafiee 358-362
|
| Full: PDF (414 K) |
|
Synthesis of new thieno[2,3-d]pyrimidines, thieno[3,2-e]pyridines, and thieno[2,3-d][1,3]oxazines Shrikant B. Kanawade, Shivaraj P. Patil, Prashant S. Nikam, Sachin A. Gangurde, Madhukar N. Jachak and Raghunath B. Toche 363-369
|
| Full: PDF (173 K) |
|
Convenient syntheses of bulky group containing imidazolium ionic liquids Neeraj Kumar and Rahul Jain 370-374
|
| Full: PDF (144 K) |
|
Tandem synthesis of 2,3-dihydroquinazolin-4(1H)-ones on grinding under solvent-free conditions Quan-Sheng Ding, Ji-Lei Zhang, Jiu-Xi Chen, Miao-Chang Liu, Jin-Chang Ding and Hua-Yue Wu 375-380
|
| Full: PDF (184 K) |
|
Synthetic studies with 3-Oxo-N-[4-(3-oxo- 3-phenylpropionylamino)-phenyl]-3-phenylpropionamide Fathy M. Abdelrazek, Nehal A. Sobhy, Peter Metz and Akram A. Bazbouz 381-387
|
| Full: PDF (177 K) |
|
Efficient synthesis of pyrimido[5,4-c]pyridazines and of thiino[2,3-d]pyrimidines based on an aza-wittig reaction/heterocyclization strategy Magda A. Barsy, Eman A. El Rady and Mostafa A. Ismael 388-393
|
| Full: PDF (150 K) |
|
Synthesis of 3-(3,5-dinitropyrazol-4-yl)-4-nitrofurazan and its salts Aleksei B. Sheremetev, Igor L. Yudin, Nadezhda V. Palysaeva and Kyrill Yu. Suponitsky 394-401
|
| Full: PDF (270 K) |
|
Solvent-free synthesis of 2H-pyrans: One-pot reactions of dithiocarbamates, alkyl propiolates, and isocyanides Zinatossadat Hossaini, Faramarz Rostami-Charatib, Rahimeh Hajinasiria, Hojatollah Jafaryanc and Mehdi Shahrakid 402-404
|
| Full: PDF (150 K) |
|
Solvent-free one-pot synthesis of pyrane derivatives Faramarz Rostami-Charati, Zinatossadat Hossaini, Mohammad A. Khalilzadeh, Mahboube Islami Moghaddam and Vahid Babaei 405-408
|
| Full: PDF (120 K) |
|
Tetrakis(acetonitrile)copper(I) hexafluorophosphate catalyzed coumarin synthesis via pechmann condensation under solvent-free condition Ebrahim Soleimani, Mohammad Mehdi Khodaei, Nasim Batooie and Saadi Samadi 409-412
|
| Full: PDF (125 K) |
|
One-pot synthesis of tetrahydroindeno[1,2-b]pyrrolo-3-carboxylates derivatives Javad Azizian, Fatemeh Sheikholeslami, Javad Hosseini, Mohammadkazem Mohammadi and Behrooz Mirza 413-416
|
| Full: PDF (129 K) |
|
Zinc chloride-catalyzed one-pot, three-component synthesis of 5,8-dihydro-5,8-dioxo-4H-chromene derivatives Vakiti Srinivas and Vedula Rajeswar Rao 417-420
|
| Full: PDF (289 K) |
|
Synthesis of cyclic N-nitrourethanes by the simultaneous oxidative desulfurization and nitration of cyclic thiourethanes Rodney L. Willer, Christopher G. Campbell and Robson F. Storey 421-423
|
| Full: PDF (99 K) |
|
InBr3- and AgOTf-catalyzed beckmann rearrangement of (E)-benzoheterocyclic oximes Vishnu K. Tandon, Anoop K. Awasthi, Hardesh K. Maurya and Pushyamitra Mishra 424-427
|
| Full: PDF (324 K) |
|
Synthesis and antimicrobial activities of new 4,6-diaryl- 4,5-dihydro-3-hydroxy-2H-indazoles Parasuraman Amutha and Samuthira Nagarajan 428-432
|
| Full: PDF (127 K) |
|
Facile synthesis of 5-aryl-1-[(arylamino)methyl]- 1,3,5-triazinane-2-thiones Zhenfeng Zhang, Siqian Wang and Guisheng Zhang 433-437
|
| Full: PDF (127 K) |
|
Improved synthesis of 2-methoxyphenothiazine Jian-Cheng Ruan, Tao Zhang, Shuai Wang, Jin-Qiang Liu, Chao Qian and Xin-Zhi Chen 438-441
|
| Full: PDF (370 K) |
|
Preparation of 2-, 4-, 5-, and 6-aminonicotinic acid tert-butyl esters Stephen W. Wright 442-445
|
| Full: PDF (182 K) |
|
Novel synthesis of some new pyrimido[1,6-a]pyrimidine and pyrazolo[1,5-a]pyrimidine derivatives Ahmed M. Hussein 446-451
|
| Full: PDF (322 K) |
|