Highlight: Stereoselective Cross-Dehydrogenative Coupling Reactions Based on Sp3 C―H Activation to Give Chiral Heterocyclic Compounds Ming Zhang and Aiqin Zhang 721-725
|
| Full: PDF (608 K) |
|
An Efficient Synthesis of Thiazolidine-4-ones with Antitumor and Antioxidant Activities Ashraf A. Aly, Alan B. Brown, Mohamed Abdel-Aziz, Gamal El-Din A. A. Abuo-Rahma, Mohamed F. Radwan, Mohamed Ramadan and Amira M. Gamal-Eldeen 726-731
|
| Full: PDF (355 K) |
|
Synthesis and Herbicidal Activity of Acylpyrazole Derivatives Containing 1,2,3-Thiadiazole Moiety Feng Cheng and De-Qing Shi 732-736
|
| Full: PDF (227 K) |
|
Synthesis and Functionalization of 8-Methyl-2h-pyrimido [2,1-c][1,2,4]triazine-3,6(1h,4h)-dione Virginija Jakubkiene, Vytautas Cepla, Milda M. Burbuliene and Povilas Vainilavicius 737-741
|
| Full: PDF (349 K) |
|
Polycyclic N-Heterocyclic Compounds, Part 71: Synthesis and Bronchodilator Evaluation of 5-Substituted 1,2-Dihydrofuro[3,2-f][1,7]naphthyridines and Related Compounds Kensuke Okuda, Tetsuo Matsushita, Takashi Hirota and Kenji Sasaki 742-747
|
| Full: PDF (181 K) |
|
Synthesis of Some Novel Pyrazole-Substituted 9-Anilinoacridine Derivatives and Evaluation for their Antioxidant and Cytotoxic Activities R. Kalirajan, V. Muralidharan, S. Jubie, B. Gowramma, S. Gomathy, S. Sankar and K. Elango 748-754
|
| Full: PDF (202 K) |
|
Polycyclic N-Heterocyclic Compounds, Part 72: Reaction of N-([1]Benzofuro (or Benzothieno)[3,2-d]pyrimidin-4-yl)formamidine and N-(Pyrido[2,3-d]pyrimidin-4-yl)formamidine Derivatives with Hydroxylamine Hydrochloride Kensuke Okuda, Kiyoko Tsuchie and Takashi Hirota 755-762
|
| Full: PDF (244 K) |
|
Synthesis and Structure of 3,4-Dihydropyrido[2′,3′:3,4]pyrazolo[1,5-a][1,3,5]triazin-2-amines Anton V. Dolzhenko, Shiqi Bai, Anna V. Dolzhenko and Wai Keung Chui 763-767
|
| Full: PDF (166 K) |
|
General Two-Step Preparation of Chalcones Containing Thiazole Dagobert Tazoo, Ovidiu Oniga, D. Scott Bohle, Zhijie Chua and Etienne Dongo 768-773
|
| Full: PDF (295 K) |
|
Utility of Enaminonitriles in Heterocyclic Synthesis: Synthesis of Some New Pyrazole, Pyridine, and Pyrimidine Derivatives Ahmed A. Fadda, Hassan A. Etman, Mohamed Y. El-Seidy and Khaled M. Elattar 774-781
|
| Full: PDF (510 K) |
|
A Theoretical Study of NBO, NICS, and 14N NQR Parameters of Adenine Tautomers in the Gas Phase via DFT Ehsan Zahedi 782-788
|
| Full: PDF (181 K) |
|
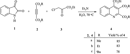
A Facile One-Pot Synthesis of Substituted Quinolines via New Multicomponent Reaction Amir Rineh, Mohammad A. Khalilzadeh, Mohammad M. Hashemi, Medí Rajabi and Fatemeh Karimi 789-791
|
| Full: PDF (295 K) |
|
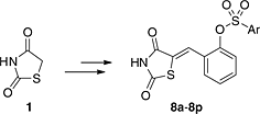
Synthesis and Antiproliferative Evaluation of 2′-Arenesulfonyloxy-5-benzylidene-thiazolidine-2,4-diones Emily M. Chen, Pei-Jung Lu and Arthur Y. Shaw 792-798
|
| Full: PDF (231 K) |
|
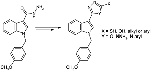
Synthesis of New PMB-Substituted Indoles Containing 1,3,4-Oxadiazole and 1,2,4-Triazole Units Abdel-Rahman Farghaly, Norbert Haider and Duck-Hyung Lee 799-805
|
| Full: PDF (286 K) |
|
Benzimidazole Annulated New Heterocyclic Compounds: Synthesis of New Polycyclic Pyrazole Derivatives Mohamed Ali A. Khalil 806-813
|
| Full: PDF (488 K) |
|
Synthesis and NMR Spectroscopic Characteristics of a Series of Hydrazide-Hydrazones Containing Furoxan Ring Derived from Isoeugenoxyacetic Acid Nguyen Huu Dinh, Hoang Thi Tuyet Lan, Tran Thi Thu Trang and Pham Van Hoan 814-822
|
| Full: PDF (1919 K) |
|
Facile Synthesis of 3,6-Disubstituted-1,2,4-triazolo-[3,4-b]-1,3,4-thiadiazoles via Oxidative Cyclization of n-Heteroaryl-Substituted Hydrazones and Their Biological Activity M. Himaja, K. Jagadeesh Prathap and Sunil V. Mali 823-828
|
| Full: PDF (204 K) |
|
CNS-Agent Precursor: A Simple and Efficient Synthesis of an Antipsychotic Drug Fluanisone A. Venkat Narsaiah, B. Nagaiah and B. Karuna Devi 829-832
|
| Full: PDF (117 K) |
|
(Bromodimethyl)sulfonium Bromide Catalyzed Solvent-Free Friedlander Synthesis of Substituted Quinolines R. Venkatesham, A. Manjula and B. Vittal Rao 833-838
|
| Full: PDF (4448 K) |
|
Syntheses, Characterization, and Antibacterial Activities of Four New Schiff Base Compounds Derived from 1-Phenyl-3-methyl-4-benzoyl-2-pyrazolin-5-one Chong-Bo Liu, Yuan Chen, Liu-Shui Yan, De-He Huang and Zhi-Qiang Xiong 839-844
|
| Full: PDF (576 K) |
|
The Synthesis of 3-Amino-pyrazine-2-carbohydrazide and 3-Amino-N′-methylpyrazine-2-carbohydrazide Derivatives Barbara Milczarska, Katarzyna Gobis, Henryk Foks, Lukasz Golunski and Pawel Sowinski 845-850
|
| Full: PDF (255 K) |
|
Practical and Green Protocol for the Synthesis of Substituted 4H-Chromenes Using Room Temperature Ionic Liquid Choline Chloride–Urea C. N. Revanna, T. R. Swaroop, G. M. Raghavendra, D. G. Bhadregowda, K. Mantelingu and K. S. Rangappa 851-855
|
| Full: PDF (150 K) |
|
Synthesis of Novel 5,6-Dihydropyrrolo[2,1-a]isoquinolines via Grob Reaction between (E)-1,1,1-Trifluoro-3-nitro-2-butene and 3,4-Dihydroisoquinolines Vladislav Y. Korotaev, Vyacheslav Y. Sosnovskikh, Alexey Y. Barkov, Pavel A. Slepukhin and Yurii V. Shklyaev 856-860
|
| Full: PDF (366 K) |
|
Methanesulfonic Acid-Catalyzed One-Pot Synthesis of 12-Aryl or 12-Alkyl-8,9,10,12-tetrahydrobenzo[a]xanthen-11-one Derivatives Yu-Heng Liu and Lei Li 861-864
|
| Full: PDF (110 K) |
|
Synthesis of N-Substituted-6-alkoxypteridin-4-amine Chonggang Duan, Jiong Jia, Rongxiu Zhu and Jianwu Wang 865-872
|
| Full: PDF (521 K) |
|
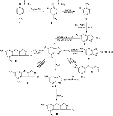
Novel Synthesis and Antimicrobial Activity of 3-Substituted 5-bromo-7-methyl-1,2,4-triazolo-[3,4-b]-benzothiazoles T. M. Bhagat, S. K. Deshmukh and S. V. Kuberkar 873-876
|
| Full: PDF (113 K) |
|
Microwave-Assisted Solvent-Free Synthesis of Highly Functionalized Pyrimidine Derivatives Shengjiao Yan, Yanfei Niu, Xuebing Chen, Yongjiang Liu and Jun Lin 877-882
|
| Full: PDF (1263 K) |
|
Isomeric 3-Isoxadiazolylcoumarins and Their Derivatives Oleksandr S. Detistov, Valeriy D. Orlov and Irina O. Zhuravel' 883-892
|
| Full: PDF (291 K) |
|
A Novel Synthesis of 4-Pyridazineacetic Acids via Ring Expansion of N-Cyanomethylated 3-Pyrazoline-4-acetic Acids Eiichi Masumoto, Hiroshi Maruoka, Fumi Okabe, Sho Nishida, Ryoko Tomita, Toshihiro Fujioka and Kenji Yamagata 893-899
|
| Full: PDF (327 K) |
|
Synthesis and Crystal Structure of 4,7-Diaryl-5-oxo-4H-benzo[b]pyran Derivatives Bin Cui, Li-Zhuang Chen, Xiao-Lei Hu, Ming Wang and Guang-Fan Han 900-904
|
| Full: PDF (477 K) |
|
Novel and Convenient Synthesis of Benzofurans from Dihydrocoumarins Sharona Shachan-Tov and Aryeh A. Frimer 905-908
|
| Full: PDF (350 K) |
|
Synthesis of Thieno[2,3-b]quinolinone Derivatives Guang-Fan Han, Ming Wang, Li-Zhuang Chen and Xiao-Lei Hu 909-912
|
| Full: PDF (259 K) |
|
An Improved Synthesis of Carbazoles via Domino Reaction of N-Protected-2-methylindoles with DMF-DMA/DMA-DMA Radhakrishnan Sureshbabu and Arasambattu K. Mohanakrishnan 913-918
|
| Full: PDF (514 K) |
|
A Re-Examination of the Reaction of 3,4-Diamino[1,2,5]oxadiazole with Glyoxal Rodney L. Willer, Robson F. Storey, Christopher G. Campbell, Steven W. Bunte and Damon Parrish 919-925
|
| Full: PDF (986 K) |
|
Preparation of Novel Di-isoxazolines Using Bis(nitrile oxide) 1,3-Dipolar Cycloaddition Methodology Mohammad Ali Bigdeli, Azim Ziyaei Halimehjani, Mohammad Mohammadipour and Parishad Sagharichi 926-928
|
| Full: PDF (464 K) |
|
Design, Synthesis, Characterization, and Antimicrobial Activity of Biginelli Products of Indandione Vijay V. Dabholkar, Sunil R. Patil and Rajesh V. Pandey 929-932
|
| Full: PDF (100 K) |
|
K2CO3/H2O in [omim][BF4] Ionic Liquid: A Green Medium for Efficient Room-Temperature Synthesis of N-Substituted 1,4-Benzoxazin-3-ones Ali Sharifi, Mehdi Barazandeh, M. Saeed Abaee and Mojtaba Mirzaei 933-938
|
| Full: PDF (176 K) |
|
Dithiocarbamates as an Efficient Intermediate for the Synthesis of Symmetrical Substituted 2,5-Diamino-1,3,4-thiadiazoles in Water Azim Ziyaei Halimehjani, Akram Ashouri and Katayoun Marjani 939-942
|
| Full: PDF (110 K) |
|
A Mild and Highly Efficient Synthesis of Chiral N-Dichloroacetyl-4-ethyl-1,3-oxazolidines Li-Xia Zhao, Ying Fu, Fei Ye and Shuang Gao 943-946
|
| Full: PDF (300 K) |
|
Conversion of Some 2(3H)-Furanones into Pyrrolinotriazine and Oxazolopyrimidine Derivatives Wael S. I. Abou-Elmagd and Ahmed I. Hashem 947-950
|
| Full: PDF (220 K) |
|
A Novel Method for the Synthesis of Spiro[indoline-Pyrazolo[4′,3′:5,6]pyrido[2,3-d]pyrimidine]triones by Alum as a Reusable Catalyst Sadif A. Shirvan, Ramin Ghahremanzadeh, Mojtaba Mirhosseini Moghaddam, Ayoob Bazgir, Amir Hassan Zarnani and Mohammad Mehdi Akhondi 951-954
|
| Full: PDF (187 K) |
|
Regioselective Synthesis of New Bibracchial Lariat Ethers Sattar Ebrahimi, Akbar Mobinikhaldei and Naser Foroughifar 955-958
|
| Full: PDF (160 K) |
|
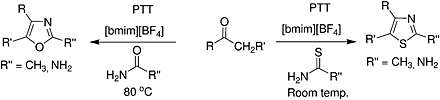
A Novel and Efficient One Pot Synthesis of 2,4-Disubstituted Thiazoles and Oxazoles Using Phenyltrimethylammoniumtribromide in Ionic Liquid Manoj Kumar Muthyala and Anil Kumar 959-964
|
| Full: PDF (160 K) |
|
Acid Catalyzed tert-Butylation and Tritylation of 4-Nitro-1,2,3-triazole: Selective Synthesis of 1-Methyl-5-nitro-1,2,3-triazole via 1-tert-Butyl-4-nitro-1,2,3-triazole Yuliya V. Filippova, Anna G. Sukhanova, Sergei V. Voitekhovich, Vadim E. Matulis, Gennady T. Sukhanov, Yury V. Grigoriev and Oleg A. Ivashkevich 965-968
|
| Full: PDF (195 K) |
|