Synthesis of Pyrazolo[3,4-b]pyridin-6-ones Elena S. Komarova, Vadim A. Makarov, Vladimir G. Granik and Cyril Párkányi 969-998
|
| Full: PDF (3105 K) |
|
Regioselective Synthesis of Natural 6-Prenylpolyhydroxyisoflavone (Lupisoflavone) and Lupisoflavone Hydrate with Hypervalent Iodine Reagents Mohammad Mamun Hossain 999-1003
|
| Full: PDF (159 K) |
|
Synthesis and Antimicrobial Activity of 4-(10H-Phenothiazin-2-yl)-pyrimidin-2(1H)-one/thione Derivatives Tanaji N. Bansode and Gangadhar A. Meshram 1004-1008
|
| Full: PDF (120 K) |
|
Thieno[2,3-d]pyrimidines in the Synthesis of New Fused Heterocyclic Compounds of Prospective Antitumor and Antioxidant Agents (Part II) Ashraf A. Aly, Mohamed Ramadan, Ashraf M. Mohamed and Esam A. Ishak 1009-1018
|
| Full: PDF (378 K) |
|
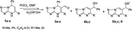
Formylation of 4,7-Dihydro-1,2,4-triazolo[1,5-a]pyrimidines Using Vilsmeier–Haack Conditions Victoria V. Lipson, Nataliya V. Svetlichnaya, Victoria V. Borodina, Maria G. Shirobokova, Sergey M. Desenko, Vladimir I. Musatov, Svetlana V. Shishkina, Oleg V. Shishkin and Roman I. Zubatyuk 1019-1025
|
| Full: PDF (218 K) |
|
Synthesis and Antimicrobial Activity of New Thiazole Derivatives and Their Glucoside and Acyclic Nucleoside Analogs Omar M. Ali, Wael A. El-Sayed, Heba A. El-Sayed and Adel A.-H. Abdel-Rahman 1026-1032
|
| Full: PDF (222 K) |
|
Solvent-Free Synthesis of 2-(Phenylamino)-4-(trifluoromethyl)-1,6-dihydropyrimidine Derivatives Catalyzed by Sulfamic Acid Shide Shen, Weihua Yang, Chenxia Yu, Tuanjie Li and Changsheng Yao 1033-1037
|
| Full: PDF (154 K) |
|
Synthesis and Antimicrobial Activity of Linked Heterocyclics Containing Pyrazole and Oxadiazoles Ch. Sanjeeva Reddy, L. Sanjeeva Rao, M. Vani Devi and A. Nagaraj 1038-1043
|
| Full: PDF (156 K) |
|
β-Functionalized meso Tetrahalothien-2-ylporphyrins: Synthesis, Spectral, and Electrochemical Properties R. Prasath and P. Bhavana 1044-1049
|
| Full: PDF (151 K) |
|
Synthesis of Novel Spiro Thiazolotriazole Derivatives via 1,3-Dipolar Cycloaddition of Azomethine Ylide Li Xiaofang, Liu Bin, Liu Haochong, Yu Xianyong and Yi Pinggui 1050-1053
|
| Full: PDF (148 K) |
|
Novel Synthesis of Oxothiazolidine Derivatives Alaa A. Hassan, Yusria R. Ibrahim, Essmat M. El-Sheref and Alan B. Brown 1054-1058
|
| Full: PDF (164 K) |
|
Synthesis and Antimicrobial Activities of New Polyhalogenated Benzimidazoles Agnieszka E. Laudy, Rosa Moo-Puc, Roberto Cedillo-Rivera, Zygmunt Kazimierczuk and Andrzej Orzeszko 1059-1065
|
| Full: PDF (181 K) |
|
Synthesis of New Chiral and Racemic 1,3-Dioxolanes Hatice Başpınar Küçük and Ayşe Yusufoğlu 1066-1070
|
| Full: PDF (143 K) |
|
A Simple and Convenient Synthesis of 4-Ylidene-5(4H)oxazolone Derivatives: Oxazolone Ring Transformation Leading to Other Heterocyclic Structures Ramadan M. Abdel-Motaleb, Hadeer M. Bakeer, Gammal H. Tamam and Wael A. A. Arafa 1071-1076
|
| Full: PDF (389 K) |
|
Synthesis of Some Series of 1,3-Thiazolidin-4-ones and Indoles Incorporating Furoxan Moiety Starting with Anethole Isolated from Star Anise Oil Nguyen Huu Dinh, Nguyen Quang Trung, Nguyen Dang Dat and Nguyen Hien 1077-1085
|
| Full: PDF (209 K) |
|
Synthesis of Indeno[2′,1′:5,6]pyrido[2,3-d]pyrimidine Derivatives and Their Recognition Properties as New Type Anion Receptors Da-Qing Shi, Yan Li and Hai-Ying Wang 1086-1090
|
| Full: PDF (170 K) |
|
Organoiodine(III) Mediated Synthesis of Novel Symmetrical Bis([1,2,4]triazolo)[3,4-a:4′,3′-c]phthalazines as Antibacterial and Antifungal Agents Om Prakash, Deepak K. Aneja, Khalid Hussain, Ravi Kumar, Sanjiv Arora, Chetan Sharma and Kamal R. Aneja 1091-1097
|
| Full: PDF (296 K) |
|
Reaction with Hydrazonoyl Halides 64: Synthesis of Some New Triazolino[4,3-a]pyrimidines, 1,3,4-Thiadiazoles, and 5-Arylazothiazoles Abdou O. Abdelhamid, Abdelgawad A. Fahmi and Basma S. Baaui 1098-1107
|
| Full: PDF (517 K) |
|
Synthesis of Chiral Benzimidazoles as Acylating Agents for Kinetic Resolution of Racemic α-Amino Esters Hao Xu, Hua Tian, Liangyu Zheng, Qingwen Liu, Li Wang and Suoqin Zhang 1108-1113
|
| Full: PDF (160 K) |
|
Syntheses, Crystal Structures, and Spectral Characterization of Three New Asymmetrical Substituted Triaryltriazoles Jian Zhao, Guo-Ping Shen, Yu Zhang, Xuan Shen and Dun-Ru Zhu 1114-1119
|
| Full: PDF (466 K) |
|
Microwave-Assisted Synthesis of Bis(enaminoketones): Versatile Precursors for Novel Bis(pyrazoles) via Regioselective 1,3-Dipolar Cycloaddition with Nitrileimines Ahmed H. M. Elwahy, Ahmed F. Darweesh and Mohamed R. Shaaban 1120-1125
|
| Full: PDF (303 K) |
|
An Efficient One-Pot Synthesis of 1,4-Dihydropyridines Catalyzed by Magnetic Nanocrystalline Fe3O4 Shu-Hong Yang, Fei-Yang Zhao, Hong-Yan Lü, Jia Deng and Zhan-Hui Zhang 1126-1129
|
| Full: PDF (88 K) |
|
Synthesis and Anti-Avian Influenza Virus (H5N1) Evaluation of Some Novel Nicotinonitriles and Their N-Acylic Nucleosides Aymn E. Rashad, Ahmed H. Shamroukh, Maher A. El-Hashash, Ahmed F. El-Farargy, Nabil M. Yousif, Mowafia A. Salama, Ahmed Mostafa and Mahmoud El-Shahat 1130-1135
|
| Full: PDF (365 K) |
|
Synthesis and Insecticidal Activities of Chlorothiazolyl Analogs of Nitromethylene Neonicotinoids with Tetrahydropyridine Fixed cis-Configuration Xusheng Shao, Xinglong Huang, Qian Shi, Zhong Li, Liming Tao and Gonghua Song 1136-1142
|
| Full: PDF (211 K) |
|
A Facile Solvent-Free Synthesis of Chiral Oxazolidinone Derivatives Catalyzed by MgI2 Etherate: An Approach to Enantiopure Synthesis of Linezolid Xingxian Zhang, Chengfeng Zhao and Yue Gu 1143-1146
|
| Full: PDF (128 K) |
|
Chlorotrimethylsilane-Promoted Condensation of Ketones and Aminoazoles Sergey V. Ryabukhin, Vasiliy S. Naumchik, Oleksandr O. Grygorenko and Andrey A. Tolmachev 1147-1150
|
| Full: PDF (163 K) |
|
Synthesis and Antimicrobial Evaluation of New Monocyclic β-Lactams Ramakanth Pagadala, Jyotsna S. Meshram, Himani N. Chopde, Venkateshwarlu Jetti, Praveen Chidurala and Uppalaiah Kusampally 1151-1155
|
| Full: PDF (193 K) |
|
2-Arylimino(diferrocenyl)- and (di-p-anisyl)dihydropyrimidines: Novel Synthesis, Structures, and Electrochemistry Elena I. Klimova, Eduardo A. Vázquez López, Marcos Flores Alamo, Luis A. Ortiz-Frade, Gerardo Hernández-Sánchez, Victor H. Sotelo Domínguez and Marcos Martínez García 1156-1162
|
| Full: PDF (459 K) |
|
Structural Characterization of a Phenoxazine Analog Formed as a By-product of the Synthesis of a 3-Amino-N,N-dimethylsalicylamide Wendy Zhong, Jiong Yang, Bruce D. Hilton, Gary E. Martin, Jianguo Yin, Kiran Muppalla, Weidong Tong and Xiaoyong Fu 1163-1168
|
| Full: PDF (591 K) |
|
Synthesis, Characterization, and In Vitro Microbial Evaluation of Some New 4H-Chromene and Quinoline Derivatives of 1H-Pyrazole Nilesh J. Thumar and Manish P. Patel 1169-1178
|
| Full: PDF (267 K) |
|
Synthesis, Spectroscopic, and Dyeing Properties of New Azo and Bisazo Dyes Derived from 5-Pyrazolones Emine Bagdatli and Nuket Ocal 1179-1186
|
| Full: PDF (358 K) |
|
Conventional and Microwave-Assisted Synthesis of Benzimidazole Derivatives and Their In Vitro Inhibition of Human Cyclooxygenase Daniela Secci, Adriana Bolasco, Melissa D'Ascenzio, Flavio della Sala, Matilde Yáñez and Simone Carradori 1187-1195
|
| Full: PDF (221 K) |
|
Synthesis, Photophysical Properties, and Antimicrobial Activity of Novel Styryl Colorants Derived from 7-Methoxy-1,4-diphenethyl-1,2,3,4-tetrahydroquinoxaline-6-carbaldehyde K. J. Jarag, A. R. Jagtap, B. N. Borse, S. R. Shukla and G. S. Shankarling 1196-1201
|
| Full: PDF (179 K) |
|
Reaction of Phthalaldehyde with Aminoethanol under Different Conditions: Products and Mechanisms of Their Formation Jiří Klíma, Miroslav Polášek, Jiří Ludvík and Jiří Urban 1202-1209
|
| Full: PDF (372 K) |
|
Synthesis and Structure of Novel 4-Arylamino-2-phenyl-6-substituted-quinazoline Zhi-Yong Xing, Ying Fu and Fei Ye 1210-1213
|
| Full: PDF (142 K) |
|
Asymmetric Synthesis of Both Enantiomers of Protected 5-Hydroxynorvaline by Hetero-Diels-Alder Addition of ethyl 2-Nitrosoacrylate to (R)- and (S)-1-Phenylbutyl Vinyl Ether Zoe S. Massen and John K. Gallos 1214-1217
|
| Full: PDF (141 K) |
|
Synthesis and Biological Activity of Some New Pyrazole Copper(II) Complexes Hiroshi Maruoka, Sho Nishida, Nobuhiro Kashige, Yuki Yoshimura, Masahiko Omori, Ryoko Tomita, Eiichi Masumoto, Fumi Okabe, Fumio Miake, Kenji Yamagata and Toshihiro Fujioka 1218-1223
|
| Full: PDF (237 K) |
|
Zwitterionic-Type Molten Salt-Catalyzed Multicomponent Reactions: One-Pot Synthesis of Substituted Imidazoles Under Solvent-Free Conditions Matiur Rahman, Avik Kr. Bagdi, Dhiman Kundu, Adinath Majee and Alakananda Hajra 1224-1228
|
| Full: PDF (330 K) |
|
Structural Transformation of Methoxy-Substituted Benzo[de]benzo[4,5]imidazo[2,1-a]isoquinolin-7-ones Liang He, Wei Jian, Meifen Chen, Kun Jin, Jihong Liu, Limei Luo and Defeng Zhao 1229-1234
|
| Full: PDF (320 K) |
|
One-Pot Microwave-Assisted Synthesis of Novel Substituted N-Dichloroacetyl-4,5-dimethyl-1,3-oxazolidines Ying Fu, Lei Yang, Fei Ye and Shuang Gao 1235-1238
|
| Full: PDF (311 K) |
|
An Efficient Method for the Synthesis of 3-Aryl-4,7-phenanthroline Derivatives Catalyzed by Iodine Ming-Yue Yin, Mei-Mei Zhang, Wei Wang, Yu-Ling Li and Xiang-Shan Wang 1239-1242
|
| Full: PDF (114 K) |
|
Solvent-Free One Pot Synthesis of 2-aryl/Heteroarylbenzothiazoles Using Hypervalent Iodine (III) Reagents Parvin Kumar, Meenakshi, Sunil Kumar, Ashwani Kumar, Khalid Hussain and Suresh Kumar 1243-1249
|
| Full: PDF (328 K) |
|
Cerous Methanesulfonate Catalyzed Facile Synthesis of 2-Substituted-2,3-dihydro-4(1h)-quinazolinones by Grinding Technique Min Wang, Jingjing Gao, Zhiguo Song and Lei Wang 1250-1253
|
| Full: PDF (157 K) |
|
Facile Synthesis of 4-Substituted-2-quinolinone-3-carboxylic Acid Ethyl Esters Lijuan Zhang, Yu Luo, Shanbao Yu and Wei Lu 1254-1256
|
| Full: PDF (137 K) |
|
Multinuclear NMR Characterization of Cyanuric Fluoride (2,4,6-Trifluoro-1,3,5-triazine) Nieves Fresno, Ruth Pérez-Fernández, M. Luisa Jimeno, Ibon Alkorta, Goar Sánchez-Sanz, José Elguero and Janet E. Del Bene 1257-1259
|
| Full: PDF (115 K) |
|
High Yield One-Pot Synthesis of Some Novel N-Methyl Isoxazolidine Derivatives Using N-Methyl-α-chloro Nitrone in Water Bhaskar Chakraborty, Prawin Kumar Sharma and Manjit Singh Chhetri 1260-1265
|
| Full: PDF (175 K) |
|
Synthesis of Monosubstituted 1,3,4-Selenadiazoles Using Woollins' Reagent Wojciech Ostrowski, Błażej Gierczyk and Rafał Frański 1266-1268
|
| Full: PDF (113 K) |
|