Halogenated Quinolines as Substrates for the Palladium-Catalyzed Cross-Coupling Reactions to Afford Substituted Quinolines Malose J. Mphahlele and Lehlohonolo G. Lesenyeho 1-16
|
| Full: PDF (536 K) |
|
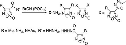
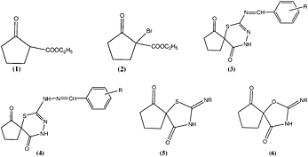
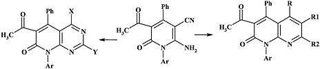
Reaction of Hydrazonoyl Halides with Bis-enaminones: A Convenient Route for Synthesis of Novel Polyaza-Terheterocycles Ahmad S. Shawali and Adel J. M. Haboub 17-22
|
| Full: PDF (546 K) |
|
An Efficient, One-Pot, Green Synthesis of Tetracyclic Imidazo[2,1-b]Thiazoles via Electrochemically Induced Tandem Heteroannulation Reactions Mohammad M. Khodaei, Abdolhamid Alizadeh and Tayyebeh Kanjouri 23-28
|
| Full: PDF (583 K) |
|
Synthesis of Novel Benzotriazoloazepine Derivatives Wei Zhang, Rong-Bi Han, Wen-Bin Zhang, Ri-Shan Jiang and Feng-Yu Piao 29-32
|
| Full: PDF (803 K) |
|
Synthesis of Tetrazoloquinoline-Based Mono- and Bisphosphonate Esters as Potent Anti-Inflammatory Agents Wafaa M. Abdou, Rizk E. Khidre and Abeer A. Shaddy 33-41
|
| Full: PDF (758 K) |
|
Synthesis of Some New [1,8]Naphthyridine, Pyrido[2,3-d]-Pyrimidine, and Other Annulated Pyridine Derivatives Abu-Bakr A. A. M. El-Adasy, Ahmed A. Khames and Mohamed A. M. Gad-Elkareem 42-48
|
| Full: PDF (500 K) |
|
Synthesis of β-Arylacyl/β-Heteroarylacyl-β-alkylidene Malonates and Their Application in Substituted Pyridone Synthesis Manoj Balu Wagh, R. Shankar, K. Mini, T. Krishnamohan, M. V. Madhubabu, Abir K. Pal, Sarva Jayaprakash, T. Krishna, Vilas Dahanukar, U. K. Syam Kumar and C. H. Gill 49-55
|
| Full: PDF (560 K) |
|
Efficient One-Pot Synthesis of Spiro[indoline-3,1′-pyrazolo[1,2-b] phthalazine] Derivatives via Three-Component Reaction Hui Chen and Da-Qing Shi 56-60
|
| Full: PDF (386 K) |
|
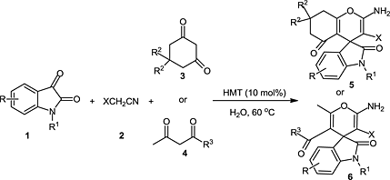
One-Pot Three-Component Synthesis of Spirooxindoles Catalyzed by Hexamethylenetetramine in Water Guo-Dong Wang, Xiao-Nan Zhang and Zhan-Hui Zhang 61-65
|
| Full: PDF (243 K) |
|
Microwave-Assisted Aqueous Synthesis of 6-Ferrocenyl Pyridin-2(1H)-one Derivative Jin-Peng Zhang, Jie Ding, Ning Ma, Bo Jiang, Li-Chun Xu and Shu-Jiang Tu 66-70
|
| Full: PDF (225 K) |
|
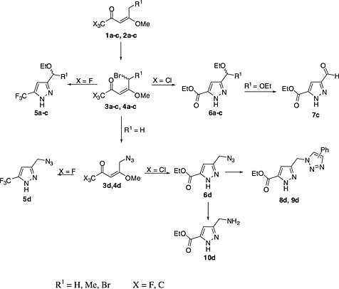
Brominated Trihalomethylenones as Versatile Precursors to 3-Ethoxy, -Formyl, -Azidomethyl, -Triazolyl, and 3-Aminomethyl Pyrazoles Marcos A. P. Martins, Adilson P. Sinhorin, Clarissa P. Frizzo, Lilian Buriol, Elisandra Scapin, Nilo Zanatta and Helio G. Bonacorso 71-77
|
| Full: PDF (914 K) |
|
A Novel Approach for the Synthesis of 5-Pyridylindolizine Derivatives via 2-(2-Pyridyl)pyridinium Ylides Emilian Georgescu, Florea Dumitrascu, Florentina Georgescu, Constantin Draghici and Loredana Barbu 78-82
|
| Full: PDF (170 K) |
|
Synthesis of Functionalized Polynorbornanes Employing 2,5-Bis(trifluoromethyl)-1,3,4-oxadiazole Pavle Trošelj, Ivica Đilović, Dubravka Matković-Čalogović and Davor Margetić 83-90
|
| Full: PDF (1323 K) |
|
A Tandem Reduction–Oxidation Protocol for the Conversion of 1-Keto-1,2,3,4-tetrahydrocarbazoles to Carbazoles via Tosylhydrazones through Microwave Assistance: Efficient Synthesis of Glycozoline, Clausenalene, Glycozolicine, and Deoxycarbazomycin B and the Total Synthesis of Murrayafoline A Suchandra Chakraborty, Gautam Chattopadhyay and Chandan Saha 91-98
|
| Full: PDF (675 K) |
|
An Efficient Synthesis of N-Substituted-3-aryl-3-(4-hydroxy-6-methyl-2-oxo-2H-pyran-3-yl)propanamides by Four-Component Reaction in Aqueous Medium Guo-Lan Dou, De-Ming Wang, Xiao-Xing Zhong and Da-Qing Shi 99-103
|
| Full: PDF (431 K) |
|
Ionic Liquid-Mediated Facile Synthesis of Novel Spiroheterobicyclic Rings as Potential Antifungal and Antibacterial Drugs Anshu Dandia and Anuj K. Jain 104-113
|
| Full: PDF (392 K) |
|
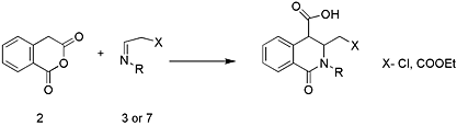
Synthesis of trans/cis-3,4-Disubstituted 1,2,3,4-Tetrahydroisoquinolines by Nucleophilic Acyl Substitution of Homophthalic Anhydride with Aldimines Sherif F . Hammad and Forrest T. Smith 114-119
|
| Full: PDF (340 K) |
|
Organotellurium Chemistry: Remarkably Facile Preparation of Benzo-1,3-tellurazoles Nathan C. McMullen, Frank R. Fronczek and Thomas Junk 120-124
|
| Full: PDF (152 K) |
|
Facile Synthesis, Characterization, and Fluorescence Studies of Novel Porphyrin Appended Thiazoles Bhupendra Mishra, K. P. Chandra Shekar, Anil Kumar, S. Phukan, S. Mitra and Dalip Kumar 125-128
|
| Full: PDF (264 K) |
|
Synthesis and Antitumor Activity of New Substituted Mercapto-1,2,4-Triazine Derivatives, Their Thioglycosides, and Acyclic Thioglycoside Analogs Ibrahim F. Nassar 129-134
|
| Full: PDF (242 K) |
|
The First Synthesis of Furoxan and 1,3,4-Oxadiazole Ring Ensembles Aleksey O. Finogenov, Alexander S. Kulikov, Margarita A. Epishina, Igor V. Ovchinnikov, Yu. V. Nelyubina and Nina N. Makhova 135-140
|
| Full: PDF (588 K) |
|
Pd-Assisted Cross-Coupling Reactions with 4-Chlorocinnoline Helmut Julian Heiter, Gyte Vilkauskaite and Wolfgang Holzer 141-144
|
| Full: PDF (131 K) |
|
Improved Synthesis of 2-Chloro-3-amino-4-methylpyridine Qian Zhao, Han-Geng Chen, Chao Qian and Xin-Zhi Chen 145-148
|
| Full: PDF (691 K) |
|
Synthesis and Antimicrobial Activity of 2-(Pyridine-3-yl)-4H-chromen-4-one Derivatives Asha V. Chate, Dattatraya S. Ghotekar, Sunil S. Bhagat, and Charansingh H. Gill 149-154
|
| Full: PDF (671 K) |
|
Synthesis and Biological Applications of Some Novel Spiro Heterocycles Containing 1,3,4-Thiadiazine, Thiazole, and Oxazole Derivatives Vijay V. Dabholkar and Nitin V. Bhusari 155-158
|
| Full: PDF (182 K) |
|
Synthesis of Coumarin Substituted Triazolothiadiazine Derivatives via Ring Transformation Reaction Venkata Sreenivasa Rao Chunduru and Vedula Rajeswar Rao 159-163
|
| Full: PDF (265 K) |
|
New Efficient and Flexible Synthetic Route to Emivirine and Its Analogs Li Li, Liying Ma, Xiaowei Wang and Junyi Liu 164-168
|
| Full: PDF (177 K) |
|
A General and Facile Synthesis of Novel Polysubstituted Quinazolin-4(3H)-ones Minhang Xin, Ying Gao, Hua Xiang, Dong Chen, Yi He and Qidong You 169-174
|
| Full: PDF (351 K) |
|
Synthesis of New Tetrahydro-1,5-benzodiazepin-3-yl-2-phenylacetamides via Isocyanide-Based Multicomponent Reactions Ali Mohammad Astaraki and Ayoob Bazgir 175-178
|
| Full: PDF (237 K) |
|