Recent Report on Thieno[2,3-d]pyrimidines. Their Preparation Including Microwave and Their Utilities in Fused Heterocycles Synthesis Ashraf A Aly, Esam A. Ishak, Mohamed Ramadan, Mousa O. Germoush, Talaat I. El-Emary and Nayef S. Al-Muaikel 451-472
|
| Full: PDF (3416 K) |
|
Reactions of Dimethyl Ethynedicarboxylate with (Substituted Ethylidene)hydrazinecarbothioamides Alaa A. Hassan, Yusria R. Ibrahim, Ashraf A. Aly, Essmat M. El-Sheref and Takehiko Yamato 473-477
|
| Full: PDF (674 K) |
|
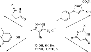
One-Pot Synthesis of 1,3,5-Triarylpyrazoles Shufang Huang, Huazhou Ying and Yongzhou Hu 478-483
|
| Full: PDF (380 K) |
|
Synthesis and Antimicrobial Activity of New Tetrazoles Incorporating Isoindole-1,3-dione Moiety and Their Sugar Derivatives Adel A.-H. Abdel-Rahman, Omar M. Ali and Amira A.-S. Abdel-Megeed 484-489
|
| Full: PDF (341 K) |
|
Facile Syntheses of Novel Salts of a Triazole Antifungal Agent with Enhanced Solubility Neeraj Kumar, Shishu and Varun Rishi Kapoor 490-495
|
| Full: PDF (381 K) |
|
Efficient One-Pot Syntheses of Betti Bases Catalyzed by 1-Methyl-3-(2-(sulfooxy)ethyl)-1H-imidazol-3-ium Chloride C. Wang, Y. Wan, H.-Y. Wang, L.-L. Zhao, J.-J. Shi, X.-X. Zhang and H. Wu 496-500
|
| Full: PDF (203 K) |
|
One-Pot Synthesis of Pyrrolo[1,2-a]quinolin-1-ones by the Cyclocondensation of 5-Hydroxy-1-arylpyrrolidin-2-ones with Dicarbonyls Xuerui Wang, Wenxue Zhang, Hongjuan Shen and Wei Zhang 501-505
|
| Full: PDF (233 K) |
|
Synthesis of Novel Pyrimido[4,5-b]quinolin-4-ones with Potential Antitumor Activity Braulio Insuasty, Diana Becerra, Jairo Quiroga, Rodrigo Abonia, Manuel Nogueras and Justo Cobo 506-512
|
| Full: PDF (279 K) |
|
Synthesis of Novel Fluorinated 11H-Azaindolo[3,2-c]isoquinolines Krishnaiah Atmakur, Narender Reddy Emmadi and Sridhar Balasubramanian 513-518
|
| Full: PDF (752 K) |
|
Synthesis and Antimicrobial Activity of Novel Thiazole Substituted Pyrazole Derivatives Nitin D. Gaikwad, Sachin V. Patil and Vivek D. Bobade 519-527
|
| Full: PDF (530 K) |
|
Propargyl Anthranilate Derivatives and Their Application in the Synthesis of Rings Containing 1,2,3-Triazolo Motifs Ludmila Hradilová, Martin Grepl, Jan Hlaváč, Antonín Lyčka and Pavel Hradil 528-533
|
| Full: PDF (198 K) |
|
Ionic Liquid as an Efficient and Recyclable Reaction Medium for the Synthesis of Pyrido[2,3-d]pyrimidines Bai-Xiang Du, Yu-Ling Li, Xiang-Shan Wang and Da-Qing Shi 534-538
|
| Full: PDF (240 K) |
|
A Facile and Efficient Solid Supported, One-Pot Synthesis of Functionalized Piperidine Derivatives Catalyzed by Amberlite IRA400-Cl Resin/I2/KI via Multicomponent Reaction Gurusamy Harichandran, Savarimuthu David Amalraj and Ponnusamy Shanmugam 539-543
|
| Full: PDF (247 K) |
|
The Synthesis and Antibacterial Activity of Novel 4-Pyrrolidin-3-cyanopyridine Derivatives Agnieszka Bogdanowicz, Henryk Foks, Katarzyna Gobis, Anna Kędzia, Ewa Kwapisz, Andrzej Olczak and Marek L. Główka 544-550
|
| Full: PDF (610 K) |
|
Synthesis and Spectra Characteristics of Novel 3-(para-Bromophenyl)-7-(substituted vinyl) Coumarins Lingyun Wang, Hanxun Zou, Decheng Ye and Derong Cao 551-556
|
| Full: PDF (349 K) |
|
Synthesis and Biological Evaluation of Novel Bis[1,2,4]triazolo[3,4-b] [1,3,4]oxadiazoles Ch. Sanjeeva Reddy, M. Vani Devi, G. Rajesh Kumar, M. Sunitha and A. Nagaraj 557-562
|
| Full: PDF (291 K) |
|
Unsymmetrical Benzotristhiazole: A New Electron-Withdrawing Core for Octupolar Chromophores Andrea Fülöpová, Peter Magdolen, Miroslava Károlyiová, Ivica Sigmundová and Pavol Zahradník 563-567
|
| Full: PDF (299 K) |
|
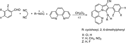
Synthesis of Cyano-pyrrolo[1,2-a][1,10]phenanthroline Derivatives Using a Multicomponent Condensation Ghasem Marandi, Nourallah Hazeri, Malek T. Maghsoodlou, Sayyed M. Habibi-Khorassani, Niloufar Akbarzadeh Torbati, Faramarz Rostami-Charati, Brian W. Skelton and Mohamed Makha 568-572
|
| Full: PDF (416 K) |
|
Synthesis of New Azocompounds and Fused Pyrazolo[5,1-c][1,2,4]triazines Using Heterocyclic Components Irina V. Ledenyova, Vitaly V. Didenko, Alexander S. Shestakov and Khidmet S. Shikhaliev 573-578
|
| Full: PDF (199 K) |
|
Synthesis of a New Class of Sulfone Linked Bisheterocycles Venkatapuram Padmavathi, Nemallapudi Revathi, Chittoor Rajasekhar and Chokkappagari Premakumari 579-584
|
| Full: PDF (134 K) |
|
Facile Synthesis of Aryl-Pyridyl, Pyridazinyl, Pyrazinyl, and Triazinyl Acetonitriles A. A. Farahat and D. W. Boykin 585-589
|
| Full: PDF (231 K) |
|
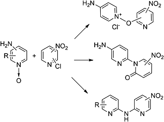
Diversity of Reactions of Isomeric Aminopyridine N-Oxides with Chloronitropyridines: An Experimental and Theoretical Study Ewa Wolińska and Wiesław Pucko 590-598
|
| Full: PDF (319 K) |
|
Microwave-assisted Aqueous Multicomponent Reaction: Facile Synthesis of Polyfunctionalized Indoline-spiro Fused Pyran Derivatives Qiong Wu, Hui Feng, Dong-Dong Guo, Mian-Shuai Yi, Xing-Han Wang, Bo Jiang and Shu-Jiang Tu 599-602
|
| Full: PDF (646 K) |
|
Synthesis of Thienotriazolopyrimidine Derivatives Containing Triazolothiadiazole Moiety Jina Whang and Yang-Heon Song 603-607
|
| Full: PDF (208 K) |
|
One-Pot, Four-Component Synthesis of Novel Spiro[indeno[2,1-b]quinoxaline-11,4′-pyran]-2′-amines Alireza Hasaninejad, Nooshin Golzar and Abdolkarim Zare 608-614
|
| Full: PDF (1674 K) |
|
Synthesis of Some New Nitrogen Bridge-head Triazolopyridines, Pyridotriazines, and Pyridotriazepines Incorporating 6-Methylchromone Moiety M. Abdel-Megid, M. A. Ibrahim, Y. Gabr, N. M. El-Gohary and E. A. Mohamed 615-624
|
| Full: PDF (533 K) |
|
Synthesis of Novel Pyrano[2,3-b]pyridines from α,α′-Bis(substituted-benzylidene)cycloalkanones Mohammad Ali Bigdeli, Katayon Marjani, Elinaz Farokhi, Enayatollah Sheikhhosseini and Dadkhoda Ghazanfari 625-629
|
| Full: PDF (307 K) |
|
H3PO4/(CF3CO)2O Mediated Acylation Followed by Hurd–Mori Reaction: Synthesis of Novel 1,2,3-Thiadiazol Derivatives Chittipaka Rajitha, P. K. Dubey, Venkataiah Sunku, Venugopal Rao Veeramaneni and Manojit Pal 630-637
|
| Full: PDF (1896 K) |
|
Enamine Rearrangement of Pyridinium Salts to Indole Ring: A Combined Experimental and Molecular Modeling Study Aisha Hosaan and Ahmed A. Fadda 638-644
|
| Full: PDF (263 K) |
|
Synthesis of Some New Pyridine and Pyrimidine Derivatives Containing Benzothiazole Moiety Khaled S. Mohamed, Nayra M. Abdulaziz and Ahmed A. Fadda 645-649
|
| Full: PDF (222 K) |
|
Synthesis of New Heterocyclic Rings Containing Benzothiazole Moiety Khaled S. Mohamed, N. M. Abdulaziz and A. A. Fadda 650-653
|
| Full: PDF (262 K) |
|
Stereospecific Synthesis of β-Lactams from Heterocyclic Imines Using the Staudinger Reaction T. Stalling, K. Johannes, S. Polina and J. Martens 654-659
|
| Full: PDF (263 K) |
|
Synthesis Derivatives of 2-Amino-4-quinolones from 1,2,3,4-Tetrahydroquinoline-8-carboxylic acids Dimitriy Listunov, Kirill Popov, Tetyana Tkachuk and Yulian Volovenko 660-662
|
| Full: PDF (154 K) |
|
Synthesis of 2-Styrylbenzoxazole Derivatives by the Reaction of Styrylphenolic Schiff Bases with Thianthrene Cation Radical Hee Jung Park, Myeong Soon Park, Tae Hee Lee and Koon Ha Park 663-667
|
| Full: PDF (177 K) |
|
Simple and Efficient Method for the Synthesis of Highly Substituted Imidazoles Catalyzed by Benzotriazole Feng Xu, Nige Wang, Youping Tian and Gaoqiang Li 668-675
|
| Full: PDF (4334 K) |
|
Synthesis of Polyfunctionalized 1,4-Dihydropyridine-Fused-1,3-Diazaheterocycles: One-Pot Reaction of 1,1-Bis(methylthio)-2-nitroethylene, 1,n-Diamine, Arylaldehyde, and Malononitrile Abdolali Alizadeh, Tahereh Firuzyar and Azadeh Mikaeili 676-679
|
| Full: PDF (254 K) |
|
Copper-Catalyzed Annulation of 2-Formylazoles with Aminoiodopyrazoles: Synthesis of New Heterocyclic Ring Systems Jonathan T. Reeves, Zhulin Tan, Bruce Z. Lu and Chris H. Senanayake 680-683
|
| Full: PDF (1827 K) |
|
Click Synthesis of Triazolyl Phenylalaninyl and Tyrosinyl Derivatives as New Protein Tyrosine Phosphatase Inhibitors Lei Cui, Xiao-Peng He, Li-Xin Gao, Jia Li and Guo-Rong Chen 684-688
|
| Full: PDF (308 K) |
|
A Facile One-Pot Route for the General Synthesis of Triazole Linked Chiral 2-Substituted Benzimidazoles Samrat Dutta, Swarbhanu Sarkar and Asish Kumar Sen 689-695
|
| Full: PDF (809 K) |
|
1,3-Dipolar Cycloaddition in the Synthesis of Novel Isoxazoline/Pyrazole Derivatives Bearing 1,2,3-Triazoles Moiety Yongming Zeng and Fangming Liu 696-702
|
| Full: PDF (548 K) |
|
Para Substituted Benzaldehydes as Expedient Reagents for the Oxidative Aromatization of Hydroquinoline Poulomi Majumdar, Anita Pati, Rajani K. Behera and Ajaya Kumar Behera 703-712
|
| Full: PDF (752 K) |
|
Investigation of Diels–Alder Reaction of 7-Substituted 4-Styrylcoumarins with Symmetrical Dienophiles Leading to 3,4-Annulated Coumarins Kailas K. Sanap, Rama S. Kulkarni and Shriniwas D. Samant 713-719
|
| Full: PDF (1955 K) |
|
Microwave-Assisted Solid-Phase Synthesis of a 1,2-Disubstituted Benzimidazole Library by Using a Phosphonium Linker Natalia Ríos, Cecilia Chavarría, Carmen Gil and Williams Porcal 720-726
|
| Full: PDF (423 K) |
|
Synthesis, Characterization, and In VitroAntimicrobial Activity of Methyleneamine-Linked Bis-heterocycles A. Babulreddy, R. V. Hymavathi, Md. Manzoor Hussain and G. Narayana Swamy 727-733
|
| Full: PDF (2608 K) |
|