Perspectives |
Development of the Renal Glucose Reabsorption Inhibitors: A New Mechanism for the Pharmacotherapy of Diabetes Mellitus Type 2 William N. Washburn† 1785-1794
|
| Full: PDF (895 K) |
|
Letters |
Antiseizure Activity of Novel γ-Aminobutyric Acid (A) Receptor Subtype-Selective Benzodiazepine Analogues in Mice and Rat Models Felix M. Rivas†, James P. Stables‡, Lauren Murphree‡, Rahul V. Edwankar†, Chitra R. Edwankar†, Shengming Huang†, Hiteshkumar D. Jain†, Hao Zhou†, Samarpan Majumder§, Subramanian Sankar, Bryan L. Roth§, Joachim Ramerstorfer, Roman Furtmüller, Werner Sieghart and James M. Cook*† 1795-1798
|
| Full: PDF (157 K) |
|
A Selective Matrix Metalloprotease 12 Inhibitor for Potential Treatment of Chronic Obstructive Pulmonary Disease (COPD): Discovery of (S)-2-(8-(Methoxycarbonylamino)dibenzo[b,d]furan-3-sulfonamido)-3-methylbutanoic acid (MMP408) Wei Li*†, Jianchang Li†, Yuchuan Wu†, Junjun Wu†, Rajeev Hotchandani†, Kristina Cunningham†, Iain McFadyen†, Joel Bard†, Paul Morgan‡, Franklin Schlerman‡, Xin Xu§, Steve Tam†, Samuel J. Goldman‡, Cara Williams‡, Joseph Sypek‡ and Tarek S. Mansour† 1799-1802
|
| Full: PDF (302 K) |
|
Articles |
Comparison of N-Terminal Modifications on Neurotensin(8−13) Analogues Correlates Peptide Stability but Not Binding Affinity with in Vivo Efficacy Kevin S. Orwig†, McKensie R. Lassetter†, M. Kyle Hadden† and Thomas A. Dix*†‡ 1803-1813
|
| Full: PDF (591 K) |
|
Hit to Lead Account of the Discovery of a New Class of Inhibitors of Pim Kinases and Crystallographic Studies Revealing an Unusual Kinase Binding Mode† Kevin Qian‡, Lian Wang‡, Charles L. Cywin, Bennett T. Farmer, , Eugene Hickey, Carol Homon, Scott Jakes, Mohammed A. Kashem, George Lee, Scott Leonard, Jun Li, Ronald Magboo, Wang Mao, Edward Pack, Charlene Peng, Anthony Prokopowicz, , Morgan Welzel§, John Wolak and Tina Morwick* 1814-1827
|
| Full: PDF (763 K) |
|
Synthesis, Antimalarial Activity, and Preclinical Pharmacology of a Novel Series of 4′-Fluoro and 4′-Chloro Analogues of Amodiaquine. Identification of a Suitable “Back-Up” Compound for N-tert-Butyl Isoquine Paul M. O’Neill*†‡, Alison E. Shone‡, Deborah Stanford†, Gemma Nixon†, Eghbaleh Asadollahy†, B. Kevin Park‡, James L. Maggs‡, Phil Roberts‡, Paul A. Stocks†, Giancarlo Biagini§, Patrick G. Bray§, Jill Davies§, Neil Berry†, Charlotte Hall§, Karen Rimmer§, Peter A. Winstanley‡, Stephen Hindley†, Ramesh B. Bambal, Charles B. Davis, Martin Bates, Stephanie L. Gresham#, Richard A. Brigandi, Federico M. Gomez-de-las-Heras, Domingo V. Gargallo, Silvia Parapini¶, Livia Vivas, Hollie Lander, Donatella Taramelli¶ and Stephen A. Ward§ 1828-1844
|
| Full: PDF (1176 K) |
|
Novel Isothiourea Derivatives as Potent Neuroprotectors and Cognition Enhancers: Synthesis, Biological and Physicochemical Properties German L. Perlovich*†‡, Alexey N. Proshin‡, Tatyana V. Volkova†, Sergey V. Kurkov†, Vlaimir V. Grigoriev‡, Ludmila N. Petrova‡ and Sergey O. Bachurin‡ 1845-1852
|
| Full: PDF (277 K) |
|
From a Natural Product Lead to the Identification of Potent and Selective Benzofuran-3-yl-(indol-3-yl)maleimides as Glycogen Synthase Kinase 3β Inhibitors That Suppress Proliferation and Survival of Pancreatic Cancer Cells Irina N. Gaisina†, Franck Gallier†, Andrei V. Ougolkov‡, Ki H. Kim†, Toru Kurome†, Songpo Guo†, Denise Holzle§, Doris N. Luchini‡, Sylvie Y. Blond§, Daniel D. Billadeau*‡ and Alan P. Kozikowski*† 1853-1863
|
| Full: PDF (1146 K) |
|
Identification of a Metabolically Stable Triazolopyrimidine-Based Dihydroorotate Dehydrogenase Inhibitor with Antimalarial Activity in Mice Ramesh Gujjar†, Alka Marwaha†, Farah El Mazouni‡, John White†, Karen L. White§, Sharon Creason, David M. Shackleford§, Jeffrey Baldwin‡, William N. Charman§, Frederick S. Buckner, Susan Charman§, Pradipsinh K. Rathod*† and Margaret A. Phillips*‡ 1864-1872
|
| Full: PDF (491 K) |
|
Synthesis of Casimiroin and Optimization of Its Quinone Reductase 2 and Aromatase Inhibitory Activities Arup Maiti†, P. V. Narasimha Reddy†, Megan Sturdy‡, Laura Marler§, Scott D. Pegan‡, Andrew D. Mesecar‡, John M. Pezzuto§ and Mark Cushman*† 1873-1884
|
| Full: PDF (859 K) |
|
Selective 5-Hydroxytryptamine 2C Receptor Agonists Derived from the Lead Compound Tranylcypromine: Identification of Drugs with Antidepressant-Like Action Sung Jin Cho†§, Niels H. Jensen‡§, Toru Kurome†, Sudhakar Kadari†, Michael L. Manzano, Jessica E. Malberg, Barbara Caldarone, Bryan L. Roth*‡ and Alan P. Kozikowski*† 1885-1902
|
| Full: PDF (537 K) |
|
Phenanthrene-Based Tylophorine-1 (PBT-1) Inhibits Lung Cancer Cell Growth through the Akt and NF-κB Pathways Jau-Chen Lin†#, Shuenn-Chen Yang†#, Tse-Ming Hong‡, Sung-Liang Yu‡, Qian Shi§, Linyi Wei§, Hsuan-Yu Chen, Pan-Chyr Yang*∞ and Kuo-Hsiung Lee§∞ 1903-1911
|
| Full: PDF (1684 K) |
|
Inhibition of Heat Shock Induction of Heat Shock Protein 70 and Enhancement of Heat Shock Protein 27 Phosphorylation by Quercetin Derivatives Rongsheng E. Wang†, Jeffrey L.-F. Kao†, Carolyn A. Hilliard‡, Raj K. Pandita‡, Joseph L. Roti Roti‡, Clayton R. Hunt‡ and John-Stephen Taylor*† 1912-1921
|
| Full: PDF (535 K) |
|
Indolylarylsulfones Bearing Natural and Unnatural Amino Acids. Discovery of Potent Inhibitors of HIV-1 Non-Nucleoside Wild Type and Resistant Mutant Strains Reverse Transcriptase and Coxsackie B4 Virus Francesco Piscitelli†, Antonio Coluccia, Andrea Brancale, Giuseppe La Regina†, Anna Sansone†, Cesare Giordano, Jan Balzarini∞, Giovanni Maga‡, Samantha Zanoli‡, Alberta Samuele‡, Roberto Cirilli#, Francesco La Torre#, Antonio Lavecchia§, Ettore Novellino§ and Romano Silvestri*† 1922-1934
|
| Full: PDF (500 K) |
|
Synthesis, Molecular Modeling, and Selective Inhibitory Activity against Human Monoamine Oxidases of 3-Carboxamido-7-Substituted Coumarins† Franco Chimenti‡, Daniela Secci*‡, Adriana Bolasco‡, Paola Chimenti‡, Bruna Bizzarri‡, Arianna Granese‡, Simone Carradori‡, Matilde Yanez§, Francisco Orallo§, Francesco Ortuso and Stefano Alcaro 1935-1942
|
| Full: PDF (938 K) |
|
Design, Synthesis, and Structure−Activity Relationship of Substrate Competitive, Selective, and in Vivo Active Triazole and Thiadiazole Inhibitors of the c-Jun N-Terminal Kinase Surya K. De†, John L. Stebbins†, Li-Hsing Chen†, Megan Riel-Mehan†, Thomas Machleidt‡, Russell Dahl†, Hongbin Yuan†, Aras Emdadi†, Elisa Barile†, Vida Chen†, Ria Murphy† and Maurizio Pellecchia*† 1943-1952
|
| Full: PDF (725 K) |
|
Novel Chemical Space Exploration via Natural Products Josefin Rosen*†, Johan Gottfries‡, Sorel Muresan§, Anders Backlund† and Tudor I. Oprea 1953-1962
|
| Full: PDF (997 K) |
|
Antioxidant-Based Lead Discovery for Cancer Chemoprevention: The Case of Resveratrol Yi-Ping Qian, Yu-Jun Cai*‡, Gui-Juan Fan, Qing-Yi Wei, Jie Yang, Li-Fang Zheng, Xiu-Zhuang Li, Jian-Guo Fang and Bo Zhou* 1963-1974
|
| Full: PDF (1779 K) |
|
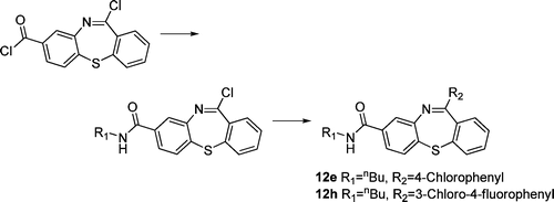
Synthesis and Evaluation of Dibenzothiazepines: A Novel Class of Selective Cannabinoid-1 Receptor Inverse Agonists Hanna Pettersson†, Anne Bulow†, Fredrik Ek†, Jacob Jensen†, Lars K. Ottesen†, Alma Fejzic†, Jian-Nong Ma#, Andria L. Del Tredici#, Erika A. Currier#, Luis R. Gardell#, Ali Tabatabaei#, Darren Craig#, Krista McFarland#, Thomas R. Ott#, Fabrice Piu#, Ethan S. Burstein# and Roger Olsson*† 1975-1982
|
| Full: PDF (594 K) |
|
Lipophilic Lysine−Spermine Conjugates Are Potent Polyamine Transport Inhibitors for Use in Combination with a Polyamine Biosynthesis Inhibitor Mark R. Burns*†, Gerard F. Graminski†, Reitha S. Weeks†, Yan Chen§ and Thomas G. O’Brien§ 1983-1993
|
| Full: PDF (1709 K) |
|
Novel Tricyclic Inhibitors of IκB Kinase James Kempson*†, Steven H. Spergel†, Junqing Guo†, Claude Quesnelle†, Patrice Gill†, Dominique Belanger†, Alaric J. Dyckman†, Tianle Li†, Scott H. Watterson†, Charles M. Langevine†, Jagabandhu Das†, Robert V. Moquin†, Joseph A. Furch†, Anne Marinier†, Marco Dodier†, Alain Martel†, David Nirschl¶, Katy Van Kirk¶, James R. Burke‡, Mark A. Pattoli‡, Kathleen Gillooly‡, Kim W. McIntyre‡, Laishun Chen§, Zheng Yang§, Punit H. Marathe§, David Wang-Iverson§, John H. Dodd†, Murray McKinnon‡, Joel C. Barrish† and William J. Pitts† 1994-2005
|
| Full: PDF (357 K) |
|
Identification of Novel Antibacterial Peptides by Chemoinformatics and Machine Learning† Christopher D. Fjell*§#, Håvard Jenssen#, Kai Hilpert#, Warren A. Cheung§, Nelly Pante, Robert E. W. Hancock# and Artem Cherkasov§ 2006-2015
|
| Full: PDF (1072 K) |
|
Structure−Activity Study of Pentamidine Analogues as Antiprotozoal Agents Svetlana M. Bakunova†, Stanislav A. Bakunov†, Donald A. Patrick†, E. V. K. Suresh Kumar†, Kwasi A. Ohemeng†, Arlene S. Bridges†, Tanja Wenzler‡, Todd Barszcz§, Susan Kilgore Jones†, Karl A. Werbovetz§, Reto Brun‡ and Richard R. Tidwell*† 2016-2035
|
| Full: PDF (284 K) |
|
Substituted Terphenyl Compounds as the First Class of Low Molecular Weight Allosteric Inhibitors of the Luteinizing Hormone Receptor Laura H. Heitman*, Rajeshwar Narlawar, Henk de Vries, Milou N. Willemsen, Dieter Wolfram, Johannes Brussee and Adriaan P. IJzerman 2036-2042
|
| Full: PDF (155 K) |
|
Allosteric Modulation of the Dopamine D2 Receptor by Pro-Leu-Gly-NH2 Peptidomimetics Constrained in Either a Polyproline II Helix or a Type II β-Turn Conformation Bhooma Raghavan†, Kevin J. Skoblenick‡, Swapna Bhagwanth†, Niran Argintaru‡, Ram K. Mishra‡ and Rodney L. Johnson*† 2043-2051
|
| Full: PDF (365 K) |
|
Synthesis and Antibacterial Activities of N-Glycosylated Derivatives of Tyrocidine A, a Macrocyclic Peptide Antibiotic Honggang Hu†‡, Jie Xue†, Benjamin M. Swarts†, Qianli Wang†, Qiuye Wu*‡ and Zhongwu Guo*† 2052-2059
|
| Full: PDF (644 K) |
|
Crystal Structures of Constitutive Nitric Oxide Synthases in Complex with De Novo Designed Inhibitors† Jotaro Igarashi‡, Huiying Li‡, Joumana Jamal‡, Haitao Ji§, Jianguo Fang§, Graham R. Lawton§, Richard B. Silverman§ and Thomas L. Poulos*‡ 2060-2066
|
| Full: PDF (1291 K) |
|
Promiscuous Aggregate-Based Inhibitors Promote Enzyme Unfolding Kristin E. D. Coan†‡, David A. Maltby§‡, Alma L. Burlingame*§ and Brian K. Shoichet*† 2067-2075
|
| Full: PDF (1075 K) |
|
Novel Approach for Chemotype Hopping Based on Annotated Databases of Chemically Feasible Fragments and a Prospective Case Study: New Melanin Concentrating Hormone Antagonists Julen Oyarzabal*†§, Trevor Howe#, Jesus Alcazar, Jose Ignacio Andres, Rosa M. Alvarez§, Frank Dautzenberg, Laura Iturrino, Sonia Martinez§ and Ilse Van der Linden 2076-2089
|
| Full: PDF (1825 K) |
|
Effect of Ring Size on Conformation and Biological Activity of Cyclic Cationic Antimicrobial Peptides Masoud Jelokhani-Niaraki*†, Leslie H. Kondejewski‡, Laura C. Wheaton† and Robert S. Hodges§ 2090-2097
|
| Full: PDF (834 K) |
|
Novel 2- and 4-Substituted 1H-Imidazo[4,5-c]quinolin-4-amine Derivatives as Allosteric Modulators of the A3 Adenosine Receptor Yoonkyung Kim†‡§, Sonia de Castro†‡, Zhan-Guo Gao†, Adriaan P. IJzerman and Kenneth A. Jacobson*† 2098-2108
|
| Full: PDF (214 K) |
|
Structure−Activity Relationships for a Series of Quinoline-Based Compounds Active against Replicating and Nonreplicating Mycobacterium tuberculosis Annamaria Lilienkampf†, Jialin Mao†‡, Baojie Wan‡, Yuehong Wang‡, Scott G. Franzblau*‡ and Alan P. Kozikowski*† 2109-2118
|
| Full: PDF (179 K) |
|
Allopregnanolone (3α-Hydroxy-5α-pregnan-20-one) Derivatives with a Polar Chain in Position 16α: Synthesis and Activity Barbora Slavikova†, Zdena Kristofikova‡, Hana Chodounska†, Milos Budesinsky†, Fernando J. Duran§, Adriana S. Veleiro§, Gerardo Burton§ and Alexander Kasal*† 2119-2125
|
| Full: PDF (332 K) |
|
Dancing of the Second Aromatic Residue around the 6,8-Diazabicyclo[3.2.2]nonane Framework: Influence on σ Receptor Affinity and Cytotoxicity Ralph Holl†, Dirk Schepmann†, Roland Frohlich‡, Renate Grunert§, Patrick J. Bednarski§ and Bernhard Wunsch*† 2126-2137
|
| Full: PDF (235 K) |
|
Synthesis and in Vitro Characterization of Radioiodinatable Benzodiazepines Selective for Type 1 and Type 2 Cholecystokinin Receptors Eyup Akgun‡, Meike Korner†, Fan Gao†, Kaleeckal G. Harikumar†, Beatrice Waser§, Jean Claude Reubi*§, Philip S. Portoghese*‡ and Laurence J. Miller*† 2138-2147
|
| Full: PDF (702 K) |
|
Brief Articles |
Discovery of 6-({4-[2-(4-tert-Butylphenyl)-1H-benzimidazol-4-yl]piperazin-1-yl}methyl)quinoxaline (WAY-207024): An Orally Active Antagonist of the Gonadotropin Releasing Hormone Receptor (GnRH-R) Jeffrey C. Pelletier*†, Murty V. Chengalvala‡, Joshua E. Cottom‡, Irene B. Feingold§, Daniel M. Green†, Diane B. Hauze†, Christine A. Huselton§, James W. Jetter†, Gregory S. Kopf‡, Joseph T. Lundquist, †, Ronald L. Magolda†, Charles W. Mann†, John F. Mehlmann†, John F. Rogers†, Linda K. Shanno‡, William R. Adams§, Cesario O. Tio§ and Jay E. Wrobel† 2148-2152
|
| Full: PDF (205 K) |
|
Nε-Thioacetyl-Lysine-Containing Tri-, Tetra-, and Pentapeptides as SIRT1 and SIRT2 Inhibitors Paivi H. Kiviranta*†, Tiina Suuronen‡, Erik A. A. Wallen†§, Jukka Leppanen†, Jussi Tervonen†, Sergiy Kyrylenko‡#, Antero Salminen‡, Antti Poso† and Elina M. Jarho† 2153-2156
|
| Full: PDF (101 K) |
|
Novel Peptidomimetics Containing a Vinyl Ester Moiety as Highly Potent and Selective Falcipain-2 Inhibitors Roberta Ettari*†, Nicola Micale†, Tanja Schirmeister‡, Christoph Gelhaus§, Matthias Leippe§, Emanuela Nizi, Maria Emilia Di Francesco, Silvana Grasso† and Maria Zappal 2157-2160
|
| Full: PDF (82 K) |
|
Book Reviews |
Book Review of Drug Truths. Dispelling the Myths About Pharma R&D Manfred E. Wolff 2161-2161
|
| Full: PDF (34 K) |
|
Book Review of Pathway Analysis for Drug Discovery. Computational Infrastructure and Applications Donald B. Boyd 2161-2162
|
| Full: PDF (34 K) |
|