Perspectives |
Fundamental Relationships between Structure, Reactivity, and Biological Activity for the Duocarmycins and CC-1065 Karen S. MacMillan and Dale L. Boger 5771-5780
|
| Full: PDF (2008 K) |
|
Letters |
RNase H Active Site Inhibitors of Human Immunodeficiency Virus Type 1 Reverse Transcriptase: Design, Biochemical Activity, and Structural Information Thorsten A. Kirschberg, Mini Balakrishnan, Neil H. Squires, Tiffany Barnes, Katherine M. Brendza, Xiaowu Chen, Eugene J. Eisenberg, Weili Jin, Nilima Kutty, Stephanie Leavitt, Albert Liclican, Qi Liu, Xiaohong Liu, John Mak, Jason K. Perry, Michael Wang, William J. Watkins and Eric B. Lansdon 5781-5784
|
| Full: PDF (2294 K) |
|
Discovery of 1-[4-(3-Chlorophenylamino)-1-methyl-1H-pyrrolo[3,2-c]pyridin-7-yl]-1-morpholin-4-ylmethanone (GSK554418A), a Brain Penetrant 5-Azaindole CB2 Agonist for the Treatment of Chronic Pain Gerard M. P. Giblin, Andrew Billinton, Michael Briggs, Andrew J. Brown, Iain P. Chessell, Nick M. Clayton, Andrew J. Eatherton, Paul Goldsmith, Carl Haslam, Matthew R. Johnson, William L. Mitchell, Alan Naylor, Alcide Perboni, Brian P. Slingsby and Alex W. Wilson 5785-5788
|
| Full: PDF (861 K) |
|
Nitazoxanide Kills Replicating and Nonreplicating Mycobacterium tuberculosis and Evades Resistance Luiz Pedro S. de Carvalho, Gang Lin, Xiuju Jiang and Carl Nathan 5789-5792
|
| Full: PDF (750 K) |
|
Articles |
Discovery of Novel Antileishmanial Agents in an Attempt to Synthesize Pentamidine−Aplysinopsin Hybrid Molecule Sharad Porwal, Shikha S. Chauhan, Prem M. S. Chauhan, Nishi Shakya, Aditya Verma and Suman Gupta 5793-5802
|
| Full: PDF (1288 K) |
|
5-Lipoxygenase-Activating Protein Inhibitors: Development of 3-[3-tert-Butylsulfanyl-1-[4-(6-methoxy-pyridin-3-yl)-benzyl]-5-(pyridin-2-ylmethoxy)-1H-indol-2-yl]-2,2-dimethyl-propionic Acid (AM103) John H. Hutchinson, Yiwei Li, Jeannie M. Arruda, Christopher Baccei, Gretchen Bain, Charles Chapman, Lucia Correa, Janice Darlington, Christopher D. King, Catherine Lee, Dan Lorrain, Pat Prodanovich, Haojing Rong, Angelina Santini, Nicholas Stock, Peppi Prasit and Jilly F. Evans 5803-5815
|
| Full: PDF (1234 K) |
|
A Modular Platform for the Rapid Site-Specific Radiolabeling of Proteins with 18F Exemplified by Quantitative Positron Emission Tomography of Human Epidermal Growth Factor Receptor 2 Herman S. Gill, Jeff N. Tinianow, Annie Ogasawara, Judith E. Flores, Alexander N. Vanderbilt, Helga Raab, Justin M. Scheer, Richard Vandlen, Simon-P. Williams and Jan Marik 5816-5825
|
| Full: PDF (1801 K) |
|
Discovery of Novel Protease Activated Receptors 1 Antagonists with Potent Antithrombotic Activity in Vivo Michel Perez, Marie Lamothe, Catherine Maraval, Etienne Mirabel, Chantal Loubat, Bruno Planty, Clemens Horn, Julien Michaux, Sebastien Marrot, Robert Letienne, Christophe Pignier, Arnaud Bocquet, Florence Nadal-Wollbold, Didier Cussac, Luc de Vries and Bruno Le Grand 5826-5836
|
| Full: PDF (995 K) |
|
Synthesis and Evaluation of Lysophosphatidylserine Analogues as Inducers of Mast Cell Degranulation. Potent Activities of Lysophosphatidylthreonine and Its 2-Deoxy Derivative Masazumi Iwashita, Kumiko Makide, Taro Nonomura, Yoshimasa Misumi, Yuko Otani, Mayuko Ishida, Ryo Taguchi, Masafumi Tsujimoto, Junken Aoki, Hiroyuki Arai and Tomohiko Ohwada 5837-5863
|
| Full: PDF (2946 K) |
|
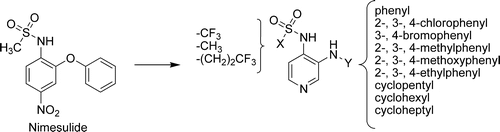
Pyridine Analogues of Nimesulide: Design, Synthesis, and in Vitro and in Vivo Pharmacological Evaluation as Promising Cyclooxygenase 1 and 2 Inhibitors Jean-Francois Renard, Deniz Arslan, Nancy Garbacki, Bernard Pirotte and Xavier de Leval 5864-5871
|
| Full: PDF (865 K) |
|
Synthesis of 1,1-[1-Naphthyloxy-2-thiophenyl]-2-methylaminomethylcyclopropanes and Their Evaluation as Inhibitors of Serotonin, Norepinephrine, and Dopamine Transporters James D. White, Rajan Juniku, Kun Huang, Jongtae Yang and David T. Wong 5872-5879
|
| Full: PDF (945 K) |
|
Structure-Based Optimization of Arylamides as Inhibitors of Soluble Epoxide Hydrolase Anne B. Eldrup, Fariba Soleymanzadeh, Steven J. Taylor, Ingo Muegge, Neil A. Farrow, David Joseph, Keith McKellop, Chuk C. Man, Alison Kukulka and Stephane De Lombaert 5880-5895
|
| Full: PDF (2998 K) |
|
Molecular Dynamics Study of Non-nucleoside Reverse Transcriptase Inhibitor 4-[[4-[[4-[(E)-2-Cyanoethenyl]-2,6-dimethylphenyl]amino]-2-pyrimidinyl]amino]benzonitrile (TMC278/Rilpivirine) Aggregates: Correlation between Amphiphilic Properties of the Drug and Oral Bioavailability Yulia Volovik Frenkel, Emilio Gallicchio, Kalyan Das, Ronald M. Levy and Eddy Arnold 5896-5905
|
| Full: PDF (4111 K) |
|
Multivalent Display of Quinic Acid Based Ligands for Targeting E-Selectin Expressing Cells Yosi Shamay, Denise Paulin, Gonen Ashkenasy and Ayelet David 5906-5915
|
| Full: PDF (3977 K) |
|
Indolobenzazepin-7-ones and 6-, 8-, and 9-Membered Ring Derivatives as Tubulin Polymerization Inhibitors: Synthesis and Structure−Activity Relationship Studies Aurelien Putey, Florence Popowycz, Quoc-Tuan Do, Philippe Bernard, Sandeep K. Talapatra, Frank Kozielski, Carlos M. Galmarini and Benoit Joseph 5916-5925
|
| Full: PDF (3342 K) |
|
Discovery of New Inhibitors of Resistant Streptococcus pneumoniae Penicillin Binding Protein (PBP) 2x by Structure-Based Virtual Screening Laurence Miguet, Astrid Zervosen, Thomas Gerards, Farhan A. Pasha, Andre Luxen, Martine Disteche-Nguyen and Aline Thomas 5926-5936
|
| Full: PDF (4144 K) |
|
Structure−Activity Relationship and Molecular Mechanisms of Ethyl 2-Amino-4-(2-ethoxy-2-oxoethyl)-6-phenyl-4H-chromene-3-carboxylate (sHA 14-1) and Its Analogues Sonia G. Das, Jignesh M. Doshi, Defeng Tian, Sadiya N. Addo, Balasubramanian Srinivasan, David L. Hermanson and Chengguo Xing 5937-5949
|
| Full: PDF (1598 K) |
|
Modeling, Synthesis and Biological Evaluation of Potential Retinoid X Receptor (RXR) Selective Agonists: Novel Analogues of 4-[1-(3,5,5,8,8-Pentamethyl-5,6,7,8-tetrahydro-2-naphthyl)ethynyl]benzoic Acid (Bexarotene) Carl E. Wagner, Peter W. Jurutka, Pamela A. Marshall, Thomas L. Groy, Arjan van der Vaart, Joseph W. Ziller, Julie K. Furmick, Mark E. Graeber, Erik Matro, Belinda V. Miguel, Ivy T. Tran, Jungeun Kwon, Jamie N. Tedeschi, Shahram Moosavi, Amina Danishyar, Joshua S. Philp, Reina O. Khamees, Jevon N. Jackson, Darci K. Grupe, Syed L. Badshah and Justin W. Hart 5950-5966
|
| Full: PDF (3498 K) |
|
Discovery of Novel Types of Inhibitors of S-Adenosylmethionine Synthesis by Virtual Screening John C. Taylor, Charles W. Bock, Fusao Takusagawa and George D. Markham 5967-5973
|
| Full: PDF (3126 K) |
|
Structure−Activity Relationships of Adenine and Deazaadenine Derivatives as Ligands for Adenine Receptors, a New Purinergic Receptor Family Thomas Borrmann, Aliaa Abdelrahman, Rosaria Volpini, Catia Lambertucci, Edgars Alksnis, Simone Gorzalka, Melanie Knospe, Anke C. Schiedel, Gloria Cristalli and Christa E. Muller 5974-5989
|
| Full: PDF (1843 K) |
|
Carbonic Anhydrase Inhibitors. Comparison of Aliphatic Sulfamate/Bis-sulfamate Adducts with Isozymes II and IX as a Platform for Designing Tight-Binding, More Isoform-Selective Inhibitors Rosa Maria Vitale, Vincenzo Alterio, Alessio Innocenti, Jean-Yves Winum, Simona Maria Monti, Giuseppina De Simone and Claudiu T. Supuran 5990-5998
|
| Full: PDF (3432 K) |
|
Allosteric Functional Switch of Neurokinin A-Mediated Signaling at the Neurokinin NK2 Receptor: Structural Exploration Celine Valant, Emeline Maillet, Jean-Jacques Bourguignon, Bernard Bucher, Valerie Utard, Jean-Luc Galzi and Marcel Hibert 5999-6011
|
| Full: PDF (2128 K) |
|
Development and Screening of Water-Soluble Analogues of Progesterone and Allopregnanolone in Models of Brain Injury Christopher J. MacNevin, Fahim Atif, Iqbal Sayeed, Donald G. Stein and Dennis C. Liotta 6012-6023
|
| Full: PDF (1291 K) |
|
Identification and Characterization of a Small Molecule Inhibitor of Fatty Acid Binding Proteins Ann V. Hertzel, Kristina Hellberg, Joseph M. Reynolds, Andrew C. Kruse, Brittany E. Juhlmann, Anne J. Smith, Mark A. Sanders, Douglas H. Ohlendorf, Jill Suttles and David A. Bernlohr 6024-6031
|
| Full: PDF (3184 K) |
|
Hydroxamic Acids As a Novel Family of Serine Racemase Inhibitors: Mechanistic Analysis Reveals Different Modes of Interaction with the Pyridoxal-5′-phosphate Cofactor Hillary E. Hoffman, Jana Jiraskova, Petr Cigler, Miloslav Sanda, Jan Schraml and Jan Konvalinka 6032-6041
|
| Full: PDF (1347 K) |
|
Structure−Activity Relationships for Substrate-Based Inhibitors of Human Complement Factor B Gloria Ruiz-Gomez, Junxian Lim, Maria A. Halili, Giang T. Le, Praveen K. Madala, Giovanni Abbenante and David P. Fairlie 6042-6052
|
| Full: PDF (3980 K) |
|
Diazo Transfer−Click Reaction Route to New, Lipophilic Teicoplanin and Ristocetin Aglycon Derivatives with High Antibacterial and Anti-influenza Virus Activity: An Aggregation and Receptor Binding Study Gabor Pinter, Gyula Batta, Sandor Keki, Attila Mandi, Istvan Komaromi, Krisztina Takacs-Novak, Ferenc Sztaricskai, Erzsebet Roth, Eszter Ostorhazi, Ferenc Rozgonyi, Lieve Naesens and Pal Herczegh 6053-6061
|
| Full: PDF (1181 K) |
|
Evaluation of Spirocyclic 3-(3-Fluoropropyl)-2-benzofurans as σ1 Receptor Ligands for Neuroimaging with Positron Emission Tomography Eva Große Maestrup, Steffen Fischer, Christian Wiese, Dirk Schepmann, Achim Hiller, Winnie Deuther-Conrad, Jorg Steinbach, Bernhard Wunsch and Peter Brust 6062-6072
|
| Full: PDF (2012 K) |
|
Synthesis and Small-Animal Positron Emission Tomography Evaluation of [11C]-Elacridar As a Radiotracer to Assess the Distribution of P-Glycoprotein at the Blood−Brain Barrier Bernd Dorner, Claudia Kuntner, Jens P. Bankstahl, Marion Bankstahl, Johann Stanek, Thomas Wanek, Gloria Stundner, Severin Mairinger, Wolfgang Loscher, Markus Muller, Oliver Langer and Thomas Erker 6073-6082
|
| Full: PDF (2632 K) |
|
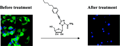
Novel Triazole Ribonucleoside Down-Regulates Heat Shock Protein 27 and Induces Potent Anticancer Activity on Drug-Resistant Pancreatic Cancer Yi Xia, Yang Liu, Jinqiao Wan, Menghua Wang, Palma Rocchi, Fanqi Qu, Juan L. Iovanna and Ling Peng 6083-6096
|
| Full: PDF (2193 K) |
|
Synthesis and Evaluation of 3-(Dihydroxyboryl)benzoic Acids as d,d-Carboxypeptidase R39 Inhibitors Steven R. Inglis, Astrid Zervosen, Esther C. Y. Woon, Thomas Gerards, Nathalie Teller, Delphine S. Fischer, Andre Luxen and Christopher J. Schofield 6097-6106
|
| Full: PDF (3644 K) |
|
Physical Binding Pocket Induction for Affinity Prediction James J. Langham, Ann E. Cleves, Russell Spitzer, Daniel Kirshner and Ajay N. Jain 6107-6125
|
| Full: PDF (6064 K) |
|
Structure−Affinity Relationships of Glutamine Mimics Incorporated into Phosphopeptides Targeted to the SH2 Domain of Signal Transducer and Activator of Transcription 3 Pijus K. Mandal, Zhiyong Ren, Xiaomin Chen, Chiyi Xiong and John S. McMurray 6126-6141
|
| Full: PDF (2287 K) |
|
Investigation of Functionally Liver Selective Glucokinase Activators for the Treatment of Type 2 Diabetes Gregory R. Bebernitz, Valerie Beaulieu, Bethany A. Dale, Richard Deacon, Alokesh Duttaroy, Jiaping Gao, Melissa S. Grondine, Ramesh C. Gupta, Mesut Kakmak, Michael Kavana, Louise C. Kirman, Jinsheng Liang, Wieslawa M. Maniara, Siralee Munshi, Sunil S. Nadkarni, Herbert F. Schuster, Travis Stams, Irene St. Denny, Paul M. Taslimi, Brian Vash and Shari L. Caplan 6142-6152
|
| Full: PDF (2934 K) |
|
Brief Articles |
Identification of Novel Indanylsulfonamide Guanylhydrazones as Potent 5-HT6 Serotonin Receptor Antagonists Neus Mesquida, Sara Lopez-Perez, Immaculada Dinares, Jordi Frigola, Ramon Merce, Jorg Holenz, Raquel Perez, Javier Burgueno and Ermitas Alcalde 6153-6157
|
| Full: PDF (1228 K) |
|
Synthesis, Conformational Analysis, and Biological Evaluation of 19-nor-Vitamin D3 Analogues with A-Ring Modifications Laura Sanchez-Abella, Susana Fernandez, Annemieke Verstuyf, Lieve Verlinden, Vicente Gotor and Miguel Ferrero 6158-6162
|
| Full: PDF (1004 K) |
|
Function-Oriented Biosynthesis of β-Lactone Proteasome Inhibitors in Salinispora tropica Markus Nett, Tobias A. M. Gulder, Andrew J. Kale, Chambers C. Hughes and Bradley S. Moore 6163-6167
|
| Full: PDF (770 K) |
|
Book Reviews |
Book Review of Fragment-Based Drug Discovery. A Practical Approach Jan W. F. Wasley 6168-6168
|
| Full: PDF (557 K) |
|