Front cover
817
|
| Full: PDF (564 K) |
|
Inside front cover
818
|
| Full: PDF (542 K) |
|
Contents and Chemical Biology
819
|
| Full: PDF (26405 K) |
|
The role of quaternary structure in (β/α)8-barrel proteins: evolutionary happenstance or a higher level of structure-function relationships? Sean R A Devenish and Juliet A Gerrard 833
|
| Full: PDF (384 K) |
|
Inhibitors of phosphoinositide-3-kinase: a structure-based approach to understanding potency and selectivity Teather J. Sundstrom, Amy C. Anderson and Dennis L. Wright 840
|
| Full: PDF (763 K) |
|
The mechanism of cell uptake for luminescent lanthanide optical probes: the role of macropinocytosis and the effect of enhanced membrane permeability on compartmentalisation Elizabeth J. New and David Parker 851
|
| Full: PDF (258 K) |
|
Catch and release microwave mediated synthesis of cyanine dyes Maria Lopalco, Eftychia N. Koini, Jin Ku Cho and Mark Bradley 856
|
| Full: PDF (239 K) |
|
Synthesis of the pyrrolo[2,3-c]carbazole core of the dictyodendrins Carles Ayats, Roger Soley, Fernando Albericio and Mercedes Álvarez 860
|
| Full: PDF (205 K) |
|
Palladium-catalyzed decarboxylative cross-coupling reaction of cinnamic acid with aryl iodide Zhiyong Wang, Qiuping Ding, Xiaodan He and Jie Wu 863
|
| Full: PDF (96 K) |
|
Direct C–H borylation and C–H arylation of pyrrolo[2,3-d]pyrimidines: synthesis of 6,8-disubstituted 7-deazapurines Martin Klecka, Radek Pohl, Blanka Klepetárová and Michal Hocek 866
|
| Full: PDF (130 K) |
|
Copper-TBAF catalyzed arylation of amines and amides with aryl trimethoxysilane Baoda Lin, Miaochang Liu, Zhishi Ye, Jinchang Ding, Huayue Wu and Jiang Cheng 869
|
| Full: PDF (156 K) |
|
Synthesis of hydrophilic conjugated porphyrin dimers for one-photon and two-photon photodynamic therapy at NIR wavelengths Milan Balaz, Hazel A. Collins, Emma Dahlstedt and Harry L. Anderson 874
|
| Full: PDF (3376 K) |
|
Photophysical properties and intracellular imaging of water-soluble porphyrin dimers for two-photon excited photodynamic therapy Marina K. Kuimova, Hazel A. Collins, Milan Balaz, Emma Dahlstedt, James A. Levitt, Nicolas Sergent, Klaus Suhling, Mikhail Drobizhev, Nikolay S. Makarov, Aleksander Rebane, Harry L. Anderson and David Phillips 889
|
| Full: PDF (599 K) |
|
One- and two-photon activated phototoxicity of conjugated porphyrin dimers with high two-photon absorption cross sections Emma Dahlstedt, Hazel A. Collins, Milan Balaz, Marina K. Kuimova, Mamta Khurana, Brian C. Wilson, David Phillips and Harry L. Anderson 897
|
| Full: PDF (491 K) |
|
Synthesis and electrochemical studies of an anthraquinone-conjugated nucleoside and derived oligonucleotides Mikkel F. Jacobsen, Elena E. Ferapontova and Kurt V. Gothelf 905
|
| Full: PDF (193 K) |
|
Synthesis and biological activity of the (25R)-cholesten-26-oic acids—ligands for the hormonal receptor DAF-12 in Caenorhabditis elegans René Martin, Arndt W. Schmidt, Gabriele Theumer, Tilo Krause, Eugeni V. Entchev, Teymuras V. Kurzchalia and Hans-Joachim Knölker 909
|
| Full: PDF (2970 K) |
|
Probing specific RNA bulge conformations by modified fluorescent nucleosides Hyun Seok Jeong, Sunwoo Kang, Jin Yong Lee and Byeang Hyean Kim 921
|
| Full: PDF (333 K) |
|
Iron(III)-salen complexes with less DNA cleavage activity exhibit more efficient apoptosis in MCF7 cells Khairul I. Ansari, James D. Grant, Getachew A. Woldemariam, Sahba Kasiri and Subhrangsu S. Mandal 926
|
| Full: PDF (281 K) |
|
Cyclodextrin ketones as oxidation catalysts: Investigation of bridged derivatives Thomas Hauch Fenger, Lavinia G. Marinescu and Mikael Bols 933
|
| Full: PDF (636 K) |
|
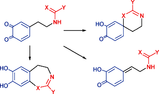
Dopamine quinone chemistry: a study of the influence of amide, amidine and guanidine substituents [-NH-CX-Y] on the mode of reaction Edward J. Land, Almudena Perona, Christopher A. Ramsden and Patrick A. Riley 944
|
| Full: PDF (182 K) |
|
Three competitive transition states in the benzoin condensation compared to the clear rate-determining step in the Cannizzaro reaction Shinichi Yamabe and Shoko Yamazaki 951
|
| Full: PDF (699 K) |
|
6- and 14-Fluoro farnesyl diphosphate: mechanistic probes for the reaction catalysed by aristolochene synthase David J. Miller, Fanglei Yu, David W. Knight and Rudolf K. Allemann 962
|
| Full: PDF (315 K) |
|
Reactivity of clerocidin towards adenine: implications for base-modulated DNA damage Sara N. Richter, Ileana Menegazzo, Matteo Nadai, Stefano Moro and Manlio Palumbo 976
|
| Full: PDF (384 K) |
|
Studies concerning the electrophilic amino-alkene cyclisation for the synthesis of bicyclic amines Johannes E. M. N. Klein, Helge Müller-Bunz and Paul Evans 986
|
| Full: PDF (327 K) |
|
Developing an asymmetric, stereodivergent route to selected 6-deoxy-6-fluoro-hexoses Audrey Caravano, Robert A. Field, Jonathan M. Percy, Giuseppe Rinaudo, Ricard Roig and Kuldip Singh 996
|
| Full: PDF (354 K) |
|
Sugar nucleotide recognition by Klebsiella pneumoniae UDP-D-galactopyranose mutase: Fluorinated substrates, kinetics and equilibria James C. Errey, Maretta C. Mann, Shirley A. Fairhurst, Lionel Hill, Michael R. McNeil, James H. Naismith, Jonathan M. Percy, Chris Whitfield and Robert A. Field 1009
|
| Full: PDF (170 K) |
|
Synthesis of the non-adjacent bis-THF core of cis-sylvaticin using a double oxidative cyclisation Riaz A. Bhunnoo, Heather Hobbs, Dramane I. Lainé, Mark E. Light and Richard C. D. Brown 1017
|
| Full: PDF (328 K) |
|
Back matter
1025
|
| Full: PDF (1741 K) |
|
Back cover
1027
|
| Full: PDF (893 K) |
|