Front cover
3181
|
| Full: PDF (119 K) |
|
Inside front cover
3182
|
| Full: PDF (82 K) |
|
Contents and Highlights in Chemical Science
3183
|
| Full: PDF (16990 K) |
|
Dynamic mixtures and combinatorial libraries: imines as probes for molecular evolution at the interface between chemistry and biology Andreas Herrmann 3195
|
| Full: PDF (447 K) |
|
A columnar liquid-crystalline shape-persistent macrocycle having a nanosegregated structure Harutoki Shimura, Masafumi Yoshio and Takashi Kato 3205
|
| Full: PDF (207 K) |
|
Selective oxidation of aromatic sulfide catalyzed by an artificial metalloenzyme: new activity of hemozymes Rémy Ricoux, Mathieu Allard, Roger Dubuc, Claude Dupont, Jean-Didier Maréchal and Jean-Pierre Mahy 3208
|
| Full: PDF (186 K) |
|
Self-assembly of 3,5-bis(ethoxycarbonyl)pyrazolate anions and ammonium cations of β-phenylethylamine or homoveratrylamine into hetero-double-stranded helical structures Felipe Reviriego, Ana Sanz, Pilar Navarro, Julio Latorre, Enrique García-España and Malva Liu-Gonzalez 3212
|
| Full: PDF (235 K) |
|
Studies toward the total synthesis of the oroidin dimers Rasapalli Sivappa, Sabuj Mukherjee, H. V. Rasika Dias and Carl J. Lovely 3215
|
| Full: PDF (152 K) |
|
Controllable stereoselective synthesis of trisubstituted alkenes by a catalytic three-component reaction of terminal alkynes, benzylic alcohols, and simple arenes Hai-Hua Li, Yin-Huan Jin, Jie-Qi Wang and Shi-Kai Tian 3219
|
| Full: PDF (100 K) |
|
Planar chiral asymmetric naphthalenediimide cyclophanes: synthesis, characterization and tunable FRET properties Sandro Gabutti, Silvia Schaffner, Markus Neuburger, Matthias Fischer, Gabriel Schäfer and Marcel Mayor 3222
|
| Full: PDF (649 K) |
|
Saponins as novel TNF-α inhibitors: isolation of saponins and a nor-pseudoguaianolide from Parthenium hysterophorus Bhahwal Ali Shah, Renu Chib, Pankaj Gupta, Vijay Kumar Sethi, Surrinder Koul, Samar Singh Andotra, Amit Nargotra, Sujata Sharma, Anjali Pandey, Sarang Bani, Basant Purnima and Subhash Chandra Taneja 3230
|
| Full: PDF (269 K) |
|
[2.2]Paracyclophane-based monophosphine ligand for palladium-catalyzed cross-coupling reactions of aryl chlorides Jiwu Ruan, Lee Shearer, Jun Mo, John Bacsa, Antonio Zanotti-Gerosa, Fred Hancock, Xiaofeng Wu and Jianliang Xiao 3236
|
| Full: PDF (245 K) |
|
A click chemistry approach for the synthesis of macrocycles from aryl amide-based precursors directed by hydrogen bonding Yuan-Yuan Zhu, Gui-Tao Wang and Zhan-Ting Li 3243
|
| Full: PDF (416 K) |
|
Synthesis and luminescence properties of a trinucleotide–europium(III) complex conjugate Jean-Marc Escudier, Christelle Dupouy, Matthew A. Fountain, Imee Marie A. del Mundo, Erin M. Jacklin and Janet R. Morrow 3251
|
| Full: PDF (195 K) |
|
Synthesis of highly substituted allylic alcohols by a regio- and stereo-defined CuCl-mediated carbometallation reaction of 3-aryl-substituted secondary propargylic alcohols with Grignard reagents Xiaobing Zhang, Zhan Lu, Chunling Fu and Shengming Ma 3258
|
| Full: PDF (155 K) |
|
The [3 + 2] cycloaddition reaction of thiazole carbene-derived C-C-Se 1,3-dipoles: a concise and highly efficient strategy for the construction of multifunctional dihydroselenophenes and selenopheno[2,3-b]pyrazines Jian-Hong Zhang and Ying Cheng 3264
|
| Full: PDF (178 K) |
|
A new approach towards 1-phenyl and 1-benzyl substituted 2-(aminomethyl)cyclopropanecarboxamides as novel derivatives of the antidepressant Milnacipran Karel Vervisch, Matthias D'hooghe, Karl W. Törnroos and Norbert De Kimpe 3271
|
| Full: PDF (216 K) |
|
KI-catalyzed aminobromination of olefins with TsNH2–NBS combination Jun-fa Wei, Li-hui Zhang, Zhan-guo Chen, Xian-ying Shi and Jing-jing Cao 3280
|
| Full: PDF (176 K) |
|
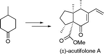
A concise total synthesis of (±)-acutifolone A Ming-Tsang Hsieh, Hsing-Jang Liu, Tai Wei Ly and Kak-Shan Shia 3285
|
| Full: PDF (200 K) |
|
Synthesis of diazo functionalized solid supports and their application towards the enrichment of phosphorylated peptides Samantha M. Frawley Cass, Gavin E. Reid and Jetze J. Tepe 3291
|
| Full: PDF (283 K) |
|
Synthesis of polyfunctional quinolizidine alkaloids: development towards selective glycosidase inhibitors Ganesh Pandey, Debasish Grahacharya, K. S. Shashidhara, M. Islam Khan and Vedavati G. Puranik 3300
|
| Full: PDF (254 K) |
|
Structure–reactivity relationships in a recognition mediated [3+2] dipolar cycloaddition reaction Andrew J. Sinclair, Vicente del Amo and Douglas Philp 3308
|
| Full: PDF (604 K) |
|
Synthesis of thiourea-tethered C-glycosyl amino acids via isothiocyanate–amine coupling Reham F. Barghash, Alessandro Massi and Alessandro Dondoni 3319
|
| Full: PDF (308 K) |
|
Synthesis of amido-spiro[2.2]pentanes via Simmons–Smith cyclopropanation of allenamides Ting Lu, Ryuji Hayashi, Richard P. Hsung, Kyle A. DeKorver, Andrew G. Lohse, Zhenlei Song and Yu Tang 3331
|
| Full: PDF (343 K) |
|
Facile synthesis of structurally diverse 5-oxopiperazine-2-carboxylates as dipeptide mimics and templates Michael Limbach, Alexander V. Lygin, Vadim S. Korotkov, Mazen Es-Sayed and Armin de Meijere 3338
|
| Full: PDF (134 K) |
|
Back cover
3343
|
| Full: PDF (169 K) |
|