Front cover
4801
|
| Full: PDF (99 K) |
|
Inside front cover
4802
|
| Full: PDF (90 K) |
|
Contents and Highlights in Chemical Biology
4803
|
| Full: PDF (4095 K) |
|
Cationic rhodium(I)/bisphosphine complex-catalyzed cyclization of 1,6-diynes with carboxylic acids Ken Tanaka, Shunsuke Saitoh, Hiromi Hara and Yu Shibata 4817
|
| Full: PDF (315 K) |
|
Microwave-assisted versatile hydrogenation of carbonyl compounds using supported metal nanoparticles Maria Jose Gracia, Juan Manuel Campelo, Elia Losada, Rafael Luque, Jose Maria Marinas and Antonio Angel Romero 4821
|
| Full: PDF (138 K) |
|
The pyridinone-methide elimination Rotem Perry-Feigenbaum, Phil S. Baran and Doron Shabat 4825
|
| Full: PDF (315 K) |
|
Stereodivergent syntheses at the glucose backbone Jian Yin and Torsten Linker 4829
|
| Full: PDF (117 K) |
|
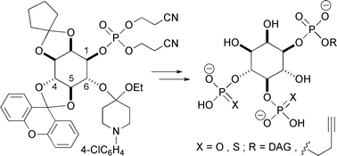
Synthesis of unsaturated phosphatidylinositol 4,5-bisphosphate and analogues Nitesh Panchal and Piers R. J. Gaffney 4832
|
| Full: PDF (243 K) |
|
Neighbouring group participation vs. addition to oxacarbenium ions: studies on the synthesis of mycobacterial oligosaccharides Susanne A. Stalford, Colin A. Kilner, Andrew G. Leach and W. Bruce Turnbull 4842
|
| Full: PDF (583 K) |
|
Palladium-catalysed ortho-arylation of carbamate-protected phenols Robin B. Bedford, Ruth L. Webster and Charlotte J. Mitchell 4853
|
| Full: PDF (135 K) |
|
Lewis acid InBr3-catalyzed arylation of diorgano diselenides and ditellurides with arylboronic acids Kai Ren, Min Wang and Lei Wang 4858
|
| Full: PDF (115 K) |
|
The coumarin→indole transformation—a method for preparing 4-halo-5-hydroxyindoles from coumarins Elia J. L. Stoffman and Derrick. L. J. Clive 4862
|
| Full: PDF (282 K) |
|
Direct synthesis of sulfonated azacalixarenes in water Jonathan Clayden, Stephen J. M. Rowbottom, Warren J. Ebenezer and Michael G. Hutchings 4871
|
| Full: PDF (349 K) |
|
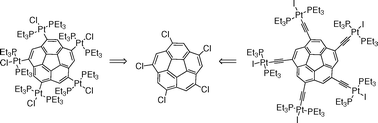
Synthesis and X-ray structural analysis of platinum and ethynyl-platinum corannulenes: supramolecular tectons Roman Maag, Brian H. Northrop, Anna Butterfield, Anthony Linden, Oliver Zerbe, Young Min Lee, Ki-Whan Chi, Peter J. Stang and Jay S. Siegel 4881
|
| Full: PDF (194 K) |
|
Evaluation of the pharmacophoric motif of the caged Garcinia xanthones Oraphin Chantarasriwong, Woo Cheal Cho, Ayse Batova, Warinthorn Chavasiri, Curtis Moore, Arnold L. Rheingold and Emmanuel A. Theodorakis 4886
|
| Full: PDF (491 K) |
|
Synthesis and kinetic studies of a low-molecular weight organocatalyst for phosphate hydrolysis in water Michael Merschky and Carsten Schmuck 4895
|
| Full: PDF (336 K) |
|
Calix[4]arenes featuring a direct lower rim attachment of dansyl groups. Synthesis, fluorescence properties and first report on crystal structures Tobias Gruber, Conrad Fischer, Marika Felsmann, Wilhelm Seichter and Edwin Weber 4904
|
| Full: PDF (889 K) |
|
Peptide thioester synthesis through N→S acyl-transfer: application to the synthesis of a β-defensin Jaskiranjit Kang, Natalie L. Reynolds, Christine Tyrrell, Julia R. Dorin and Derek Macmillan 4918
|
| Full: PDF (240 K) |
|
4-Aminoproline-based arginine-glycine-aspartate integrin binders with exposed ligation points: practical in-solution synthesis, conjugation and binding affinity evaluation Lucia Battistini, Paola Burreddu, Paola Carta, Gloria Rassu, Luciana Auzzas, Claudio Curti, Franca Zanardi, Leonardo Manzoni, Elena M. V. Araldi, Carlo Scolastico and Giovanni Casiraghi 4924
|
| Full: PDF (268 K) |
|
Synthetic routes to pyrrolizine-1,5-dione derivatives by flash vacuum pyrolysis of amidomethylene derivatives of Meldrum's acid Hamish McNab, Mark Morrow, Simon Parsons, David A. Shannon and Kirsti Withell 4936
|
| Full: PDF (286 K) |
|
L-Proline-catalyzed synthesis of highly functionalized multisubstituted 1,4-dihydropyridines Huanfeng Jiang, Ronghuan Mai, Hua Cao, Qiuhua Zhu and Xiaohang Liu 4943
|
| Full: PDF (277 K) |
|
Synthesis of a photo-caged aminooxy alkane thiol Rock J. Mancini, Ronald C. Li, Zachary P. Tolstyka and Heather D. Maynard 4954
|
| Full: PDF (204 K) |
|
Expedient synthesis of 3-hydroxyisoquinolines and 2-hydroxy-1,4-naphthoquinones via one-pot aryne acyl-alkylation/condensation Kevin M. Allan, Boram D. Hong and Brian M. Stoltz 4960
|
| Full: PDF (375 K) |
|
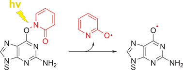
Photolabile N-hydroxypyrid-2(1H)-one derivatives of guanine nucleosides: a new method for independent guanine radical generation Panagiotis Kaloudis, Cecilia Paris, Despoina Vrantza, Susana Encinas, Raul Pérez-Ruiz, Miguel A. Miranda and Thanasis Gimisis 4965
|
| Full: PDF (238 K) |
|
Synthesis of new, UV-photoactive dansyl derivatives for flow cytometric studies on bile acid uptake Jana Rohacova, M. Luisa Marin, Alicia Martínez-Romero, José-Enrique O'Connor, M. Jose Gomez-Lechon, M. Teresa Donato, Jose V. Castell and Miguel A. Miranda 4973
|
| Full: PDF (329 K) |
|
Structural analysis of the DNA target site and its interaction with Mbp1 Anna V. Chernatynskaya, Lynn Deleeuw, John O. Trent, Tom Brown and Andrew N. Lane 4981
|
| Full: PDF (613 K) |
|
Thermal melting studies of alkyne- and ferrocene-containing PNA bioconjugates Anna M. Sosniak, Gilles Gasser and Nils Metzler-Nolte 4992
|
| Full: PDF (307 K) |
|
Synthesis and stereochemical determination of batzelladine C methyl ester Michael Butters, Christopher D. Davies, Mark C. Elliott, Joseph Hill-Cousins, Benson M. Kariuki, Li-ling Ooi, John L. Wood and Stuart V. Wordingham 5001
|
| Full: PDF (247 K) |
|
Synthesis of novel synthetic intermediates from the reaction of benzimidazole and triazole carbenes with ketenimines and their application in the construction of spiro-pyrroles Jun-Ming Mo, Yang-Guang Ma and Ying Cheng 5010
|
| Full: PDF (313 K) |
|
Synthesis of non-proteinogenic phenylalanine derivatives by rhodium-catalyzed [2+2+2] cycloaddition reactions Lídia Garcia, Anna Pla-Quintana and Anna Roglans 5020
|
| Full: PDF (187 K) |
|
Component match in rhodium catalyzed three-component reactions of ethyl diazoacetate, H2O and aryl imines: a highly diastereoselective one-step synthesis of β-aryl isoserine derivatives Zhenqiu Guo, Taoda Shi, Jun Jiang, Liping Yang and Wenhao Hu 5028
|
| Full: PDF (153 K) |
|
Back matter
5034
|
| Full: PDF (268 K) |
|
Back cover
5035
|
| Full: PDF (83 K) |
|