Editorial |
2015 Editorial Amos B. Smith, III 1-2
|
| Full: PDF (131 K) |
|
Letters |
A Mild, Diastereoselective Construction of Cyclic and Spirocyclic Ketals Employing a Tandem Photoisomerization/Cyclization Tactic Bo Li, Brett D. Williams, and Amos B. Smith, III 3-5
|
| Full: PDF (583 K) |
|
N-Heterocyclic Carbene Catalyzed Highly Chemoselective Intermolecular Crossed Acyloin Condensation of Aromatic Aldehydes with Trifluoroacetaldehyde Ethyl Hemiacetal Bandaru T. Ramanjaneyulu, Sriram Mahesh, and Ramasamy Vijaya Anand 6-9
|
| Full: PDF (651 K) |
|
MIDA–Vinylsilanes: Selective Cross-Couplings and Applications to the Synthesis of Functionalized Stilbenes Mark G. McLaughlin, Catherine A. McAdam, and Matthew J. Cook 10-13
|
| Full: PDF (553 K) |
|
A Claisen Approach to 4′-Ed4T William P. Gallagher, Prashant P. Deshpande, Jun Li, Kishta Katipally, and Justin Sausker 14-17
|
| Full: PDF (359 K) |
|
Regioselective Synthesis of Vinyl Halides, Vinyl Sulfones, and Alkynes: A Tandem Intermolecular Nucleophilic and Electrophilic Vinylation of Tosylhydrazones Devi Prasan Ojha and Kandikere Ramaiah Prabhu 18-21
|
| Full: PDF (657 K) |
|
Cobalt-Catalyzed Enantioselective Directed C–H Alkylation of Indole with Styrenes Pin-Sheng Lee and Naohiko Yoshikai 22-25
|
| Full: PDF (427 K) |
|
Cu(I)-Catalyzed Highly Enantioselective [3 + 3] Cycloaddition between Two Different 1,3-Dipoles, Phthalazinium Dicyanomethanides and Iminoester-Derived Azomethine Ylides Chunhao Yuan, Honglei Liu, Zhenzhen Gao, Leijie Zhou, Yalin Feng, Yumei Xiao, and Hongchao Guo 26-29
|
| Full: PDF (420 K) |
|
Gold-Catalyzed Intermolecular Nitrene Transfer from 2H-Azirines to Ynamides: A Direct Approach to Polysubstituted Pyrroles Lei Zhu, Yinghua Yu, Zhifeng Mao, and Xueliang Huang 30-33
|
| Full: PDF (708 K) |
|
Copper-Catalyzed Three-Component Synthesis of Benzothiazolethiones from o-Iodoanilines, Isocyanide, and Potassium Sulfide Pan Dang, Weilan Zeng, and Yun Liang 34-37
|
| Full: PDF (860 K) |
|
Silver-Catalyzed C–H Trifluoromethylation of Arenes Using Trifluoroacetic Acid as the Trifluoromethylating Reagent Guangfa Shi, Changdong Shao, Shulei Pan, Jingxun Yu, and Yanghui Zhang 38-41
|
| Full: PDF (844 K) |
|
Enantioselective Construction of Functionalized Thiopyrano-Indole Annulated Heterocycles via a Formal Thio [3 + 3]-Cyclization Xiang Chen, Zheng-Hang Qi, Shao-Yun Zhang, Ling-Pei Kong, Yong Wang, and Xing-Wang Wang 42-45
|
| Full: PDF (452 K) |
|
Reinvestigation of the Stereochemistry of the C-Glycosidic Ellagitannins, Vescalagin and Castalagin Yosuke Matsuo, Hatsumi Wakamatsu, Mohamed Omar, and Takashi Tanaka 46-49
|
| Full: PDF (813 K) |
|
The Concise Synthesis of Unsymmetric Triarylacetonitriles via Pd-Catalyzed Sequential Arylation: A New Synthetic Approach to Tri- and Tetraarylmethanes Masakazu Nambo, Muhammad Yar, Joel D. Smith, and Cathleen M. Crudden 50-53
|
| Full: PDF (848 K) |
|
Highly Efficient Oxidation of Secondary Alcohols to Ketones Catalyzed by Manganese Complexes of N4 Ligands with H2O2 Duyi Shen, Chengxia Miao, Daqian Xu, Chungu Xia, and Wei Sun 54-57
|
| Full: PDF (618 K) |
|
Rh(III)-Catalyzed Selenylation of Arenes with Selenenyl Chlorides/Diselenides via C–H Activation Songjie Yu, Boshun Wan, and Xingwei Li 58-61
|
| Full: PDF (434 K) |
|
Pd-Catalyzed Cross-Coupling of Aryllithium Reagents with 2-Alkoxy-Substituted Aryl Chlorides: Mild and Efficient Synthesis of 3,3′-Diaryl BINOLs Luis M. Castelló, Valentín Hornillos, Carlos Vila, Massimo Giannerini, Martín Fañanás-Mastral, and Ben L. Feringa 62-65
|
| Full: PDF (530 K) |
|
One-Pot Protocol to Functionalized Benzopyrrolizidine Catalyzed Successively by Rh2(OAc)4 and Cu(OTf)2: A Transition Metal–Lewis Acid Catalysis Relay Hua-Dong Xu, Zhi-Hong Jia, Ke Xu, Hao Zhou, and Mei-Hua Shen 66-69
|
| Full: PDF (1026 K) |
|
Palladium-Catalyzed Synthesis of Six-Membered Benzofuzed Phosphacycles via Carbon–Phosphorus Bond Cleavage Katsuaki Baba, Mamoru Tobisu, and Naoto Chatani 70-73
|
| Full: PDF (623 K) |
|
Synthesis and Stability of Boratriazaroles Didier Zurwerra, Vincent Quetglas, Daniel P. Kloer, Peter Renold, and Thomas Pitterna 74-77
|
| Full: PDF (579 K) |
|
Isoquinoline Synthesis by Heterocyclization of Tosylmethyl Isocyanide Derivatives: Total Synthesis of Mansouramycin B Anna Coppola, David Sucunza, Carolina Burgos, and Juan J. Vaquero 78-81
|
| Full: PDF (360 K) |
|
KOtBu-Mediated Aerobic Transition-Metal-Free Regioselective β-Arylation of Indoles: Synthesis of β-(2-/4-Nitroaryl)-indoles Shailesh Kumar, Vandana Rathore, Ajay Verma, Ch. Durga Prasad, Amit Kumar, Abhimanyu Yadav, Sadhan Jana, Moh. Sattar, Meenakshi, and Sangit Kumar 82-85
|
| Full: PDF (1133 K) |
|
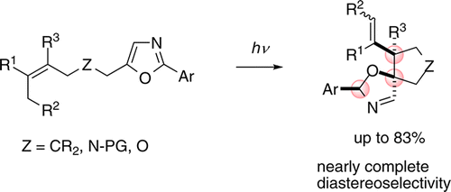
Stereoselective Preparation of Spiro[4.4] Cyclic Compounds by the Photochemical Activation of Oxazoles Noriyoshi Arai, Moe Mizota, and Takeshi Ohkuma 86-89
|
| Full: PDF (675 K) |
|
Application of Two Direct C(sp3)–H Functionalizations for Total Synthesis of (+)-Lactacystin Shun Yoshioka, Masanori Nagatomo, and Masayuki Inoue 90-93
|
| Full: PDF (912 K) |
|
Traceless Stereoinduction for the Enantiopure Synthesis of Substituted-2-Cyclopentenones Nanaji Arisetti and Oliver Reiser 94-97
|
| Full: PDF (739 K) |
|
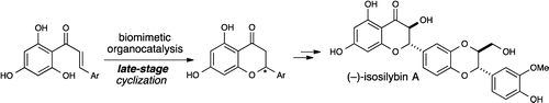
A Biomimetic Strategy to Access the Silybins: Total Synthesis of (−)-Isosilybin A Benjamin R. McDonald, Antoinette E. Nibbs, and Karl A. Scheidt 98-101
|
| Full: PDF (818 K) |
|
Cooperative Dyads for Two-Photon Uncaging Eduardo José Cueto Díaz, Sébastien Picard, Vincent Chevasson, Jonathan Daniel, Vincent Hugues, Olivier Mongin, Emilie Genin, and Mireille Blanchard-Desce 102-105
|
| Full: PDF (722 K) |
|
Organocatalytic Enantioselective Addition of Thiols to Ketimines Derived from Isatins Shuichi Nakamura, Shun Takahashi, Daisuke Nakane, and Hideki Masuda 106-109
|
| Full: PDF (598 K) |
|
First and Stereoselective Synthesis of an α-(2→5)-Linked Disaccharide of 3-Deoxy-d-manno-oct-2-ulosonic Acid (Kdo) Barbara Pokorny and Paul Kosma 110-113
|
| Full: PDF (766 K) |
|
Approaches to Polycyclic 1,4-Dioxygenated Xanthones. Application to Total Synthesis of the Aglycone of IB-00208 Jingyue Yang, Daniel Knueppel, Bo Cheng, Douglas Mans, and Stephen F. Martin 114-117
|
| Full: PDF (495 K) |
|
Silver-Mediated Selective Oxidative Cross-Coupling between C–H/P–H: A Strategy to Construct Alkynyl(diaryl)phosphine Oxide Tao Wang, Songtao Chen, Ailong Shao, Meng Gao, Yangfei Huang, and Aiwen Lei 118-121
|
| Full: PDF (317 K) |
|
A Concise Total Synthesis of Breitfussin A and B Sunil Kumar Pandey, Yngve Guttormsen, Bengt Erik Haug, Christian Hedberg, and Annette Bayer 122-125
|
| Full: PDF (615 K) |
|
Total Synthesis of Clavilactone B: A Radical Cyclization–Fragmentation Strategy Hiroshi Suizu, Daisuke Shigeoka, Hiroshi Aoyama, and Takehiko Yoshimitsu 126-129
|
| Full: PDF (508 K) |
|
Access to Large Cyclic Peptides by a One-Pot Two-Peptide Segment Ligation/Cyclization Process Emmanuelle Boll, Jean-Philippe Ebran, Hervé Drobecq, Ouafâa El-Mahdi, Laurent Raibaut, Nathalie Ollivier, and Oleg Melnyk 130-133
|
| Full: PDF (1011 K) |
|
Direct Regioselective Oxidative Cross-Coupling of Indoles with Methyl Ketones: A Novel Route to C3-Dicarbonylation of Indoles Qinghe Gao, Jingjing Zhang, Xia Wu, Shan Liu, and Anxin Wu 134-137
|
| Full: PDF (780 K) |
|
The Cyclopentyl Group, As a Small but Bulky Terminal Group, Allows Rapid and Efficient Active Transport Junya Nishiyama, Yoshimasa Makita, and Nobuhiro Kihara 138-141
|
| Full: PDF (553 K) |
|
One-Pot Process That Efficiently Generates Single Stereoisomers of 1,3-Bisphosphinylpropanes Having Five Chiral Centers He Zhang, Yong-Ming Sun, Yalei Zhao, Zhong-Yang Zhou, Ji-Ping Wang, Nana Xin, Shao-Zhen Nie, Chang-Qiu Zhao, and Li-Biao Han 142-145
|
| Full: PDF (947 K) |
|
(±)-Melicolones A and B, Rearranged Prenylated Acetophenone Stereoisomers with an Unusual 9-Oxatricyclo[3.2.1.13,8]nonane Core from the Leaves of Melicope ptelefolia Jin-Fang Xu, Hui-Jun Zhao, Xiao-Bing Wang, Zhong-Rui Li, Jun Luo, Ming-Hua Yang, Lei Yang, Wen-Ying Yu, He-Quan Yao, Jian-Guang Luo, and Ling-Yi Kong 146-149
|
| Full: PDF (932 K) |
|
Palladium-Catalyzed Asymmetric Cycloadditions of Vinylcyclopropanes and in Situ Formed Unsaturated Imines: Construction of Structurally and Optically Enriched Spiroindolenines Ze-Shui Liu, Wen-Ke Li, Tai-Ran Kang, Long He, and Quan-Zhong Liu 150-153
|
| Full: PDF (491 K) |
|
Asymmetric Total Synthesis of (−)-Leuconoxine via Chiral Phosphoric Acid Catalyzed Desymmetrization of a Prochiral Diester Kazuhiro Higuchi, Shin Suzuki, Reeko Ueda, Norifumi Oshima, Emiko Kobayashi, Masanori Tayu, and Tomomi Kawasaki 154-157
|
| Full: PDF (641 K) |
|
Fully Automated Synthesis of DNA-Binding Py-Im Polyamides Using a Triphosgene Coupling Strategy Lijing Fang, Guiyang Yao, Zhengyin Pan, Chunlei Wu, Heng-Shan Wang, Glenn A Burley, and Wu Su 158-161
|
| Full: PDF (1104 K) |
|
Supported Gold Nanoparticle-Catalyzed Hydration of Alkynes under Basic Conditions Shengzong Liang, Jacek Jasinski, Gerald B. Hammond, and Bo Xu 162-165
|
| Full: PDF (1599 K) |
|
Chemoenzymatic Synthesis of the Enantiomer of 4,12-Dihydroxysterpurene, the Structure Assigned to a Metabolite Isolated from the Culture Broth of Stereum purpureum Ping Lan, Martin G. Banwell, and Anthony C. Willis 166-169
|
| Full: PDF (336 K) |
|
Photochemical Formation and Cleavage of C–N Bond Pengfei Wang, Wenya Lu, Dattatray Devalankar, and Zhenying Ding 170-172
|
| Full: PDF (237 K) |
|