Letters |
Highly Stereoselective Ruthenium(II)-Catalyzed Direct C2-syn-Alkenylation of Indoles with Alkynes Wei Zhang, Jun Wei, Shaomin Fu, Dongen Lin, Huanfeng Jiang, and Wei Zeng 1349-1352
|
| Full: PDF (980 K) |
|
Highly Efficient Synthesis of HIV NNRTI Doravirine Donald R. Gauthier, Jr., Benjamin D. Sherry, Yang Cao, Michel Journet, Guy Humphrey, Tetsuji Itoh, Ian Mangion, and David M. Tschaen 1353-1356
|
| Full: PDF (396 K) |
|
Palladium-Catalyzed Glycosylation: Novel Synthetic Approach to Diverse N-Heterocyclic Glycosides Li Ji, Shao-Hua Xiang, Wei-Lin Leng, Kim Le Mai Hoang, and Xue-Wei Liu 1357-1360
|
| Full: PDF (895 K) |
|
Site-Specific Chemical Modification of Peptide and Protein by Thiazolidinediones Peng Wang, Shumei Zhang, Qiuyue Meng, Ying Liu, Luqing Shang, and Zheng Yin 1361-1364
|
| Full: PDF (579 K) |
|
Exoselective 1,3-Dipolar [3 + 6] Cycloaddition of Azomethine Ylides with 2-Acylcycloheptatrienes: Stereoselectivity and Mechanistic Insight Zhao-Lin He, Fu Kit Sheong, Qing-Hua Li, Zhenyang Lin, and Chun-Jiang Wang 1365-1368
|
| Full: PDF (658 K) |
|
Highly Effective Configurational Assignment Using Bisthioureas as Chiral Solvating Agents in the Presence of DABCO Guangling Bian, Hongjun Fan, Huayin Huang, Shiwei Yang, Hua Zong, Ling Song, and Genjin Yang 1369-1372
|
| Full: PDF (1101 K) |
|
Oxidative Dimerization of 2-Oxindoles Promoted by KOtBu-I2: Total Synthesis of (±)-Folicanthine Santanu Ghosh, Saikat Chaudhuri, and Alakesh Bisai 1373-1376
|
| Full: PDF (1122 K) |
|
Gargantulide A, a Complex 52-Membered Macrolactone Showing Antibacterial Activity from Streptomyces sp. Jung-Rae Rho, Gurusamy Subramaniam, Hyukjae Choi, Eun-Hee Kim, Sok Peng Ng, K. Yoganathan, Siewbee Ng, Antony D. Buss, Mark S. Butler, and William H. Gerwick 1377-1380
|
| Full: PDF (522 K) |
|
Enantioselective Direct Functionalization of Indoles by Pd/Sulfoxide-Phosphine-Catalyzed N-Allylic Alkylation Li-Yan Chen, Xiao-Ye Yu, Jia-Rong Chen, Bin Feng, Hong Zhang, Ying-Hua Qi, and Wen-Jing Xiao 1381-1384
|
| Full: PDF (1160 K) |
|
Catalytic, Asymmetric, Aldol/O-Conjugate Addition Sequence for the Construction of Highly Substituted Furanoids Michael A. Calter and Alexander Korotkov 1385-1388
|
| Full: PDF (483 K) |
|
Chiral Phosphoric Acid Catalyzed Enantioselective Decarboxylative Alkylation of β-Keto Acids with 3-Hydroxy-3-indolyloxindoles Xiao-Dong Tang, Shen Li, Ran Guo, Jing Nie, and Jun-An Ma 1389-1392
|
| Full: PDF (874 K) |
|
Intramolecular Rearrangement of α-Azidoperoxides: An Efficient Synthesis of tert-Butyl Esters Suman Pramanik, Reddy Rajasekhar Reddy, and Prasanta Ghorai 1393-1396
|
| Full: PDF (613 K) |
|
Palladium/Copper-Catalyzed Aerobic Oxidative C–H Carbonylation for the Synthesis of o-Aminobenzoates Wu Li, Zhengli Duan, Ru Jiang, and Aiwen Lei 1397-1400
|
| Full: PDF (333 K) |
|
Inter- and Intramolecular Annulation Strategies to a Cyclopentanone Building Block Containing an All-Carbon Quaternary Stereogenic Center Stephen D. Penrose, Andrew J. Stott, Perla Breccia, Alan F. Haughan, Roland W. Bürli, Rebecca E. Jarvis, and Celia Dominguez 1401-1404
|
| Full: PDF (525 K) |
|
Synthesis of Pyrazoles from 1,3-Diols via Hydrogen Transfer Catalysis Daniel C. Schmitt, Alexandria P. Taylor, Andrew C. Flick, and Robert E. Kyne, Jr. 1405-1408
|
| Full: PDF (415 K) |
|
Oxidative Povarov Reaction via sp3 C–H Oxidation of N-Benzylanilines Induced by Catalytic Radical Cation Salt: Synthesis of 2,4-Diarylquinoline Derivatives Jing Liu, Fang Liu, Yingzu Zhu, Xingge Ma, and Xiaodong Jia 1409-1412
|
| Full: PDF (628 K) |
|
Macrospirocyclic Oligomer Based on Triphenylamine and Diphenylphosphine Oxide as a Bipolar Host for Efficient Blue Electrophosphorescent Organic Light-Emitting Diodes (OLEDs) Kun Chen, Hui-Ru Zhao, Zhao-Kang Fan, Gui Yin, Qing-Min Chen, Yi-Wu Quan, Shu-Hua Li, and Shang-Hui Ye 1413-1416
|
| Full: PDF (610 K) |
|
Enantioselective Synthesis of Functionalized Pyrazoles by NHC-Catalyzed Reaction of Pyrazolones with α,β-Unsaturated Aldehydes Santhivardhana Reddy Yetra, Santigopal Mondal, Eringathodi Suresh, and Akkattu T. Biju 1417-1420
|
| Full: PDF (481 K) |
|
2-Nitro-thioglycosides: α- and β-Selective Generation and Their Potential as β-Selective Glycosyl Donors Peng Peng, Yiqun Geng, Inigo Göttker-Schnetmann, and Richard R. Schmidt 1421-1424
|
| Full: PDF (1293 K) |
|
Enediyne Dimerization vs Bergman Cyclization Gebhard Haberhauer, Rolf Gleiter, and Sven Fabig 1425-1428
|
| Full: PDF (473 K) |
|
Characterization of Brønsted Acid–Base Complexes by 19F DOSY Hariharaputhiran Subramanian, Craig P. Jasperse, and Mukund P. Sibi 1429-1432
|
| Full: PDF (705 K) |
|
Redox Cycloisomerization Approach to 1,2-Dihydropyridines Barry M. Trost and Berenger Biannic 1433-1436
|
| Full: PDF (389 K) |
|
Cyclopentanone as a Cation-Stabilizing Electron-Pair Donor in the Calcium-Catalyzed Intermolecular Carbohydroxylation of Alkynes Tobias Stopka and Meike Niggemann 1437-1440
|
| Full: PDF (833 K) |
|
Biomimetic Syntheses of Rubialatins A, B and Related Congeners Hongzhi Yang, Juan Feng, Yuanhe Li, and Yefeng Tang 1441-1444
|
| Full: PDF (1073 K) |
|
Base-Promoted Cross-Dehydrogenative Coupling of Quinoline N-Oxides with 1,3-Azoles Xiaopei Chen, Xiuling Cui, Fangfang Yang, and Yangjie Wu 1445-1448
|
| Full: PDF (561 K) |
|
Regioselective Synthesis of Substituted Arenes via Aerobic Oxidative [3 + 3] Benzannulation Reactions of α,β-Unsaturated Aldehydes and Ketones Prabhakar Ramchandra Joshi, Sridhar Undeela, Doni Dhanoj Reddy, Kiran Kumar Singarapu, and Rajeev S. Menon 1449-1452
|
| Full: PDF (412 K) |
|
Iodoarene-Catalyzed Cyclizations of Unsaturated Amides Ali Alhalib, Somaia Kamouka, and Wesley J. Moran 1453-1456
|
| Full: PDF (357 K) |
|
Muta-mycosynthesis of Naphthalene Analogs Yuan Tian, Nan Jiang, Ai Hua Zhang, Chao Jun Chen, Xin Zhao Deng, Wen Jing Zhang, and Ren Xiang Tan 1457-1460
|
| Full: PDF (413 K) |
|
Base-Stabilized Nitrilium Ions as Convenient Imine Synthons Tom van Dijk, Martijn S. Bakker, Flip Holtrop, Martin Nieger, J. Chris Slootweg, and Koop Lammertsma 1461-1464
|
| Full: PDF (498 K) |
|
The Reactivity of 4-Hydroxy- and 4-Silyloxy-1,5-allenynes with Homogeneous Gold(I) Catalysts Michael Wegener and Stefan F. Kirsch 1465-1468
|
| Full: PDF (508 K) |
|
Bioinspired Organocatalytic Aerobic C–H Oxidation of Amines with an ortho-Quinone Catalyst Yan Qin, Long Zhang, Jian Lv, Sanzhong Luo, and Jin-Pei Cheng 1469-1472
|
| Full: PDF (986 K) |
|
Rearrangement of Dypnones to 1,3,5-Triarylbenzenes Kai Deng, Qi-Yong Huai, Zhi-Lun Shen, Hui-Jing Li, Chen Liu, and Yan-Chao Wu 1473-1476
|
| Full: PDF (660 K) |
|
Access to Coumarins by Rhodium-Catalyzed Oxidative Annulation of Aryl Thiocarbamates with Internal Alkynes Yingwei Zhao, Feng Han, Lei Yang, and Chungu Xia 1477-1480
|
| Full: PDF (503 K) |
|
Expedient Synthesis of Pyrroloquinolinones by Rh-Catalyzed Annulation of N-Carbamoyl Indolines with Alkynes through a Directed C–H Functionalization/C–N Cleavage Sequence Xiao-Fei Yang, Xu-Hong Hu, and Teck-Peng Loh 1481-1484
|
| Full: PDF (877 K) |
|
Palladium-Catalyzed Intramolecular Aminoacetoxylation of Unactivated Alkenes with Hydrogen Peroxide as Oxidant Haitao Zhu, Pinhong Chen, and Guosheng Liu 1485-1488
|
| Full: PDF (1036 K) |
|
Monocarboxylation and Intramolecular Coupling of Butenylated Arenes via Palladium-Catalyzed C–H Activation Process Rui Liu, Ze-Hai Lu, Xiao-Hui Hu, Jun-Li Li, and Xian-Jin Yang 1489-1492
|
| Full: PDF (941 K) |
|
Exo-Selective Reductive Macrocyclization of Ynals Hengbin Wang, Solymar Negretti, Allison R. Knauff, and John Montgomery 1493-1496
|
| Full: PDF (629 K) |
|
Synthesis, Guest Binding, and Metal Coordination of Functionalized Self-Folding Deep Cavitands Magi Mettry, Melissa P. Moehlig, and Richard J. Hooley 1497-1500
|
| Full: PDF (1275 K) |
|
Chojalactones A–C, Cytotoxic Butanolides Isolated from Streptomyces sp. Cultivated with Mycolic Acid Containing Bacterium Shotaro Hoshino, Toshiyuki Wakimoto, Hiroyasu Onaka, and Ikuro Abe 1501-1504
|
| Full: PDF (1174 K) |
|
A General, Scalable, Organocatalytic Nitro-Michael Addition to Enones: Enantioselective Access to All-Carbon Quaternary Stereocenters Xiaodong Gu, Yuanyuan Dai, Tingting Guo, Allegra Franchino, Darren J. Dixon, and Jinxing Ye 1505-1508
|
| Full: PDF (704 K) |
|
Biosynthesis of the Anti-infective Marformycins Featuring Pre-NRPS Assembly Line N-Formylation and O-Methylation and Post-Assembly Line C-Hydroxylation Chemistries Jing Liu, Bo Wang, Hongzhi Li, Yunchang Xie, Qinglian Li, Xiangjing Qin, Xing Zhang, and Jianhua Ju 1509-1512
|
| Full: PDF (780 K) |
|
[RhCp*Cl2]2-Catalyzed Directed N-Boc Amidation of Arenes “on Water” Md Ashif Ali, Xiayin Yao, Hao Sun, and Hongjian Lu 1513-1516
|
| Full: PDF (1042 K) |
|
Water-Soluble Py-BIPS Spiropyrans as Photoswitches for Biological Applications Cem Özçoban, Thomas Halbritter, Sabrina Steinwand, Lisa-Marie Herzig, Jörg Kohl-Landgraf, Noushin Askari, Florian Groher, Boris Fürtig, Christian Richter, Harald Schwalbe, Beatrix Suess, Josef Wachtveitl, and Alexander Heckel 1517-1520
|
| Full: PDF (966 K) |
|
I2–TBHP-Catalyzed Oxidative Cross-Coupling of N-Sulfonyl Hydrazones and Isocyanides to 5-Aminopyrazoles Gopal Chandru Senadi, Wan-Ping Hu, Ting-Yi Lu, Amol Milind Garkhedkar, Jaya Kishore Vandavasi, and Jeh-Jeng Wang 1521-1524
|
| Full: PDF (893 K) |
|
Automated Electrochemical Assembly of the Protected Potential TMG-chitotriomycin Precursor Based on Rational Optimization of the Carbohydrate Building Block Toshiki Nokami, Yuta Isoda, Norihiko Sasaki, Aki Takaiso, Shuichi Hayase, Toshiyuki Itoh, Ryutaro Hayashi, Akihiro Shimizu, and Jun-ichi Yoshida 1525-1528
|
| Full: PDF (887 K) |
|
Asymmetric Total Synthesis of (+)-Dragmacidin D Reveals Unexpected Stereocomplexity Fengying Zhang, Bin Wang, Pritesh Prasad, Robert J. Capon, and Yanxing Jia 1529-1532
|
| Full: PDF (737 K) |
|
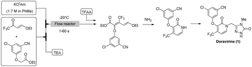
Synthesis of Bis-Macrocyclic HCV Protease Inhibitor MK-6325 via Intramolecular sp2–sp3 Suzuki–Miyaura Coupling and Ring Closing Metathesis Hongmei Li, Jeremy P. Scott, Cheng-yi Chen, Michel Journet, Kevin Belyk, Jaume Balsells, Birgit Kosjek, Carl A. Baxter, Gavin W. Stewart, Christopher Wise, Mahbub Alam, Zhiguo Jake Song, and Lushi Tan 1533-1536
|
| Full: PDF (527 K) |
|
Catalytic Cyclization Reactions of Huisgen Zwitterion with α-Ketoesters by in Situ Chemoselective Phosphine Oxide Reduction Kévin Fourmy and Arnaud Voituriez 1537-1540
|
| Full: PDF (655 K) |
|
Trapping Hydrogen Sulfide (H2S) with Diselenides: The Application in the Design of Fluorescent Probes Bo Peng, Caihong Zhang, Eizo Marutani, Armando Pacheco, Wei Chen, Fumito Ichinose, and Ming Xian 1541-1544
|
| Full: PDF (1009 K) |
|
Isolation of a Metabolite from the pks Island Provides Insights into Colibactin Biosynthesis and Activity Carolyn A. Brotherton, Matthew Wilson, Gary Byrd, and Emily P. Balskus 1545-1548
|
| Full: PDF (664 K) |
|
Efficient C(sp3)–H Bond Functionalization of Isochroman by AZADOL Catalysis Wataru Muramatsu and Kimihiro Nakano 1549-1552
|
| Full: PDF (710 K) |
|
Synthesis of Functionalized γ-Lactone via Sakurai exo-Cyclization/Rearrangement of 3,3-Bis(silyl) Enol Ester with a Tethered Acetal Zhiping Yin, Zengjin Liu, Zhenggang Huang, Yang Chu, Zhiwen Chu, Jia Hu, Lu Gao, and Zhenlei Song 1553-1556
|
| Full: PDF (1160 K) |
|
Successively Recycle Waste as Catalyst: A One-Pot Wittig/1,4-Reduction/Paal–Knorr Sequence for Modular Synthesis of Substituted Furans Long Chen, Yi Du, Xing-Ping Zeng, Tao-Da Shi, Feng Zhou, and Jian Zhou 1557-1560
|
| Full: PDF (521 K) |
|
[4 + 2] Cycloaddition of in Situ Generated 1,2-Diaza-1,3-dienes with Simple Olefins: Facile Approaches to Tetrahydropyridazines Xingren Zhong, Jian Lv, and Sanzhong Luo 1561-1564
|
| Full: PDF (736 K) |
|
(±)-Sinensilactam A, a Pair of Rare Hybrid Metabolites with Smad3 Phosphorylation Inhibition from Ganoderma sinensis Qi Luo, Lei Tian, Lei Di, Yong-Ming Yan, Xiao-Yi Wei, Xin-Fang Wang, and Yong-Xian Cheng 1565-1568
|
| Full: PDF (917 K) |
|
Synthesis of Pyrido[2,1-b]quinazolin-11-ones and Dipyrido[1,2-a:2′,3′-d]pyrimidin-5-ones by Pd/DIBPP-Catalyzed Dearomatizing Carbonylation Tongyu Xu and Howard Alper 1569-1572
|
| Full: PDF (845 K) |
|
Asymmetric Aldol Reaction of Allenoates: Regulation for the Selective Formation of Isomeric Allenyl or Alkynyl Aldol Adduct Jiyun Bang, Hyuna Kim, Jihyun Kim, and Chan-Mo Yu 1573-1576
|
| Full: PDF (633 K) |
|
Radical-Based Route to 2-(Trifluoromethyl)-1,3,4-oxadiazoles and Trifluoromethyl-Substituted Polycyclic 1,2,4-Triazoles and Dihydrofurans Ling Qin and Samir Z. Zard 1577-1580
|
| Full: PDF (1010 K) |
|
Palladium-Catalyzed Cycloisomerization and Aerobic Oxidative Cycloisomerization of Homoallenyl Amides: A Facile and Divergent Approach to 2-Aminofurans Cungui Cheng, Shuiyou Liu, and Gangguo Zhu 1581-1584
|
| Full: PDF (445 K) |
|
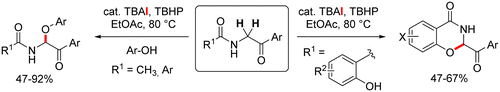
TBAI-Catalyzed Oxidative Cross-Coupling of Phenols and 2-Aminoacetophenones Wei Xu and Boris J. Nachtsheim 1585-1588
|
| Full: PDF (884 K) |
|
Metal-Free Direct 1,6- and 1,2-Difunctionalization Triggered by Radical Trifluoromethylation of Alkenes Lin Huang, Sheng-Cai Zheng, Bin Tan, and Xin-Yuan Liu 1589-1592
|
| Full: PDF (829 K) |
|
Synthesis of Air- and Moisture-Stable Dibenzogallepins: Control of Planarity of Seven-Membered Rings in Solid States by Coordination to Gallium Atoms Takuya Matsumoto, Hirofumi Takamine, Kazuo Tanaka, and Yoshiki Chujo 1593-1596
|
| Full: PDF (873 K) |
|
Direct Synthesis of N-H Carbazoles via Iridium(III)-Catalyzed Intramolecular C–H Amination Chiharu Suzuki, Koji Hirano, Tetsuya Satoh, and Masahiro Miura 1597-1600
|
| Full: PDF (647 K) |
|
Palladium-Catalyzed Coupling of Azoles or Thiazoles with Aryl Thioethers via C–H/C–S Activation Feng Zhu and Zhong-Xia Wang 1601-1604
|
| Full: PDF (642 K) |
|
Transition-Metal-Free Direct anti-Carboboration of Alkynes with Boronic Acids To Produce Alkenylheteroarenes Silvia Roscales and Aurelio G. Csákÿ 1605-1608
|
| Full: PDF (779 K) |
|
Synthesis of Peptide Nucleic Acids Containing Pyridazine Derivatives As Cytosine and Thymine Analogs, and Their Duplexes with Complementary Oligodeoxynucleotides Takahito Tomori, Yuya Miyatake, Yuta Sato, Takashi Kanamori, Yoshiaki Masaki, Akihiro Ohkubo, Mitsuo Sekine, and Kohji Seio 1609-1612
|
| Full: PDF (695 K) |
|
Hydride-Induced Anionic Cyclization: An Efficient Method for the Synthesis of 6-H-Phenanthridines via a Transition-Metal-Free Process Wei-Lin Chen, Chun-Yuan Chen, Yan-Fu Chen, and Jen-Chieh Hsieh 1613-1616
|
| Full: PDF (456 K) |
|
Copper-Catalyzed trans-Carbohalogenation of Terminal Alkynes with Functionalized Tertiary Alkyl Halides Chao Che, Hanliang Zheng, and Gangguo Zhu 1617-1620
|
| Full: PDF (794 K) |
|