Safety of Chemical Processes 08 Editorial |
The Impact of Process Chemists and Engineers on Green Chemistry NealG. Anderson 1019-1020
|
| Full: PDF (56 K) |
|
Highlights from the Literature |
Some Items of Interest to Process R&D Chemists and Engineers Mark McLaughlinSilvina GarcíaRubioMatthew PfeifferUlf TilstamOctavio Augusto Ceva AntunesAndrei A. ZlotaTrevor Laird 1021-1030
|
| Full: PDF (249 K) |
|
Highlights from the Patents |
A Review of U.S. Patents in the Field of Organic Process Development Published During June and July 2008 Keith Turner 1031-1040
|
| Full: PDF (278 K) |
|
Concept Article |
Kepner-Tregoe Decision Analysis as a Tool to Aid Route Selection. Part 1 Jeremy S. Parker and Jonathan D. Moseley 1041-1043
|
| Full: PDF (45 K) |
|
Full Papers |
Kepner-Tregoe Decision Analysis as a Tool To Aid Route Selection. Part 2. Application to AZD7545, a PDK Inhibitor Jonathan D. Moseley, David Brown, Catherine R. Firkin, Shelley L. Jenkin, Bharti Patel and Evan W. Snape 1044-1059
|
| Full: PDF (295 K) |
|
Kepner-Tregoe Decision Analysis as a Tool To Aid Route Selection. Part 3. Application to a Back-Up Series of Compounds in the PDK Project Jeremy S. Parker, John F. Bower, Paul M. Murray, Bharti Patel and Pere Talavera 1060-1077
|
| Full: PDF (1635 K) |
|
Scale-Up of Microwave-Promoted Reactions to the Multigram Level Using a Sealed-Vessel Microwave Apparatus Matthew D. Bowman, Jason R. Schmink, Cynthia M. McGowan, Chad M. Kormos and Nicholas E. Leadbeater 1078-1088
|
| Full: PDF (502 K) |
|
Green Chemistry with a Novel 5.8-GHz Microwave Apparatus. Prompt One-Pot Solvent-Free Synthesis of a Major Ionic Liquid: The 1-Butyl-3-methylimidazolium Tetrafluoroborate System Satoshi Horikoshi, Tomofumi Hamamura, Masatsugu Kajitani, Masahiro Yoshizawa-Fujita and Nick Serpone 1089-1093
|
| Full: PDF (708 K) |
|
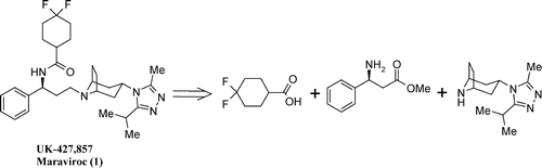
Development of a Bulk Enabling Route to Maraviroc (UK-427,857), a CCR-5 Receptor Antagonist Sarah J. Haycock-Lewandowski, Alexander Wilder and Jens Åhman 1094-1103
|
| Full: PDF (197 K) |
|
Process Research and Scale-up of a Commercialisable Route to Maraviroc (UK-427,857), a CCR-5 Receptor Antagonist Jens Åhman, Melissa Birch, Sarah J. Haycock-Lewandowski, James, Long and Alexander Wilder 1104-1113
|
| Full: PDF (963 K) |
|
A Convergent Process for the Preparation of Adamantane 11-β-HSD-1 Inhibitors Calvin L. Becker, Kenneth M. Engstrom, Francis A. Kerdesky, John C. Tolle, Seble H. Wagaw and Weifeng Wang 1114-1118
|
| Full: PDF (103 K) |
|
Enzymatic Preparation of a d-Amino Acid from a Racemic Amino Acid or Keto Acid Ronald L. Hanson, Brian L. Davis, Steven L. Goldberg, Robert M. Johnston, William L. Parker, Thomas P. Tully, Michael A. Montana and Ramesh N. Patel 1119-1129
|
| Full: PDF (182 K) |
|
Practical Electrochemical Iodination of Aromatic Compounds Kazuhide Kataoka, Yuji Hagiwara, Koji Midorikawa, Seiji Suga and Jun-ichi Yoshida 1130-1136
|
| Full: PDF (680 K) |
|
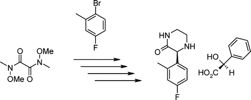
A Practical Synthesis of a Diazepinylbenzoic Acid, a Retinoid X Receptor Antagonist Xinglong Jiang, George T. Lee, Kapa Prasad and Oljan Repič 1137-1141
|
| Full: PDF (144 K) |
|
Improved Process for the Preparation of 6-Chloro-5-(2-chloroethyl)oxindole Durgesh V. Nadkarni and James F. Hallissey 1142-1145
|
| Full: PDF (91 K) |
|
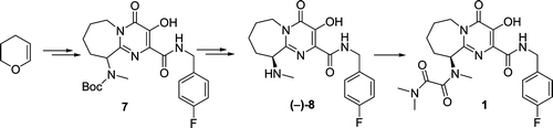
Syntheses of a Triad of Flt3 Kinase Inhibitors: From Bench to Pilot Plant Wen-Chung Shieh, Joe McKenna, Joseph A. Sclafani, Song Xue, Michael Girgis, James Vivelo, Branko Radetich and Kapa Prasad 1146-1155
|
| Full: PDF (230 K) |
|
Friedel−Crafts Benzoylation of Anisole in Ionic Liquids: Catalysis, Separation, and Recycle Studies Christopher Hardacre, Paul Nancarrow, David W. Rooney and Jillian M. Thompson 1156-1163
|
| Full: PDF (426 K) |
|
A Practical Synthesis of a Chiral Analogue of FTY720 Xinglong Jiang, Baoqing Gong, Kapa Prasad and Oljan Repič 1164-1169
|
| Full: PDF (132 K) |
|
Large-Scale Asymmetric Synthesis of the 3,6,7,8-Tetrahydrochromeno[7,8-d]imidazole BYK 405879: A Promising Candidate for the Treatment of Acid-Related Diseases Andreas M. Palmer, Matthias Webel, Christian Scheufler, Dieter Haag and Bernd Müller 1170-1182
|
| Full: PDF (251 K) |
|
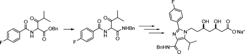
Preparation of a HMG-CoA Reductase Inhibitor via an Optimized Imidazole-Forming Condensation Reaction Daniel M. Bowles, Gary L. Bolton, David C. Boyles, Timothy T. Curran, Richard H. Hutchings, Scott D. Larsen, Jonathan M. Miller, William K. C. Park, Kurtis G. Ritsema, David C. Schineman and Markus Tamm 1183-1187
|
| Full: PDF (120 K) |
|
Synthesis of the NK1 Receptor Antagonist GW597599. Part 1: Development of a Scalable Route to a Key Chirally Pure Arylpiperazine Giuseppe Guercio, Sergio Bacchi, Michael Goodyear, Antonella Carangio, Francesco Tinazzi and Stefano Curti 1188-1194
|
| Full: PDF (793 K) |
|
A Large Scale Process for the Preparation of Thymitaq Håkan Malmgren, Birthe Bäckström, Ellen Sølver and Johan Wennerberg 1195-1200
|
| Full: PDF (111 K) |
|
A Rapid, Large-Scale Synthesis of a Potent Cholecystokinin (CCK) 1R Receptor Agonist Jeffrey T. Kuethe, Karla G. Childers, Guy R. Humphrey, Michel Journet and Zhihui Peng 1201-1208
|
| Full: PDF (178 K) |
|
Removal of Soluble Palladium Complexes from Reaction Mixtures by Fixed-Bed Adsorption Michael J. Girgis, Laura E. Kuczynski, Sonia M. Berberena, Caitlin A. Boyd, Pamela L. Kubinski, Megerle L. Scherholz, Donald E. Drinkwater, Xiaoxuan Shen, Stanislaw Babiak and Brian G. Lefebvre 1209-1217
|
| Full: PDF (1359 K) |
|
Scalable Reactor Design for Pharmaceuticals and Fine Chemicals Production. 3. A Novel Gas−Liquid Reactor for Catalytic Asymmetric Transfer Hydrogenation with Simultaneous Acetone Stripping Xiuyan Sun and Asterios Gavriilidis 1218-1222
|
| Full: PDF (1021 K) |
|
Polymorphic Transformation of Pravastatin Sodium Monitored Using Combined Online FBRM and PVM Chun-Yan Jia, Qiu-Xiang Yin, Mei-Jing Zhang, Jing-Kang Wang and Zhong-Hua Shen 1223-1228
|
| Full: PDF (704 K) |
|
Isolation, Synthesis, and Characterization of Impurities and Degradants from the Clofarabine Process Bruce G. Anderson, William E. Bauta, William R. Cantrell, Jr., Tracy Engles and Dennis P. Lovett 1229-1237
|
| Full: PDF (172 K) |
|
Calcium Pantothenate. Part 3.(1) Process for the Biologically Active Enantiomer of the Same via Selective Crystallization and Racemization Ludwik Synoradzki, Halina Hajmowicz, Jerzy Wisialski, Arkadiusz Mizerski and Tomasz Rowicki 1238-1244
|
| Full: PDF (762 K) |
|
Practical Synthesis of a HIV Integrase Inhibitor Yong-Li Zhong, Brenda Pipik, Jaemoon Lee, Yoshinori Kohmura, Shigemitsu Okada, Kazunobu Igawa, Chie Kadowaki, Akihiro Takezawa, Shinji Kato, David A. Conlon, Hua Zhou, Anthony O. King, Robert A. Reamer, Donald R. Gauthier, Jr. and David Askin 1245-1252
|
| Full: PDF (178 K) |
|
Development of a Suitable Process for the Preparation of a TNF-α Converting Enzyme Inhibitor, WAY-281418 Youchu Wang, Maria Papamichelakis, Warren Chew, John Sellstedt, Razzak Noureldin, Sam Tadayon and Sylvain DaigneaultRocco J. Galante and Jerry Sun 1253-1260
|
| Full: PDF (186 K) |
|
Technical Notes |
Practical Amination of Nitropyridones by Silylation Robert A. Singer and Michaël Doré 1261-1264
|
| Full: PDF (96 K) |
|
Communications to the Editor |
Mild and Selective Synthesis of an Aryl Boronic Ester by Equilibration of Mixtures of Boronic and Borinic Acid Derivatives Vanessa F. Hawkins, Mark C. Wilkinson and Matthew Whiting 1265-1268
|
| Full: PDF (88 K) |
|
An Efficient Approach to 3-Bromo-6-chloro-phenanthrene-9,10-dione John Limanto, Benjamin T. Dorner, Frederick W. Hartner and Lushi Tan 1269-1272
|
| Full: PDF (94 K) |
|
A Facile Two-Step Synthesis of 3-Fluoro-6-methoxyquinoline Bryan Li, Zhijun Zhang and Michael Mangano 1273-1275
|
| Full: PDF (80 K) |
|
Editorial |
Safety Special Issue Trevor Laird 1276-1276
|
| Full: PDF (31 K) |
|
Safety Notables: Information from the Literature Gerald A. WeisenburgerPaul F. Vogt 1277-1282
|
| Full: PDF (76 K) |
|
Letter to the Editor |
SAFETY IS NO ACCIDENT! Seemon Pines 1283-1284
|
| Full: PDF (39 K) |
|
Technical Notes |
Diazidomethane Explosion Raymond E. Conrow and W. Dennis Dean 1285-1286
|
| Full: PDF (53 K) |
|
Full Papers |
Selection of the Proper Calorimetric Test Strategy in Reactive Chemicals Hazard Evaluation David J. Frurip 1287-1292
|
| Full: PDF (224 K) |
|
A Practical Method For Stabilizing Lithiated Halogenated Aromatic Compounds Thimma Rawalpally, Yaohui Ji, Ashish Shankar, William Edwards, Joshua Allen, Yong Jiang, Thomas P. Cleary and Michael E. Pierce 1293-1298
|
| Full: PDF (767 K) |
|
Measurement of Gas Flow Rates from Small-Scale Reactions Gerald A. Weisenburger, Richard W. Barnhart and Gregory S. Steeno 1299-1304
|
| Full: PDF (846 K) |
|
Management of Change for Laboratories and Pilot Plants Neal Langerman 1305-1306
|
| Full: PDF (44 K) |
|
A Catalyzed and Highly Selective Ester Reduction in the Synthesis of an N-Acylpyrrolidine: Safe Design through Reaction Calorimetry and Modeling Roy C. Flanagan, Shiping Xie and Alan Millar 1307-1312
|
| Full: PDF (1214 K) |
|
Book Reviews |
Book Review of Computational Organic Chemistry Eddy M. E. Viseux 1313-1313
|
| Full: PDF (54 K) |
|
Book Review of Asymmetric Organic Synthesis with Enzymes
1313-1314
|
| Full: PDF (54 K) |
|
Book Review of Theilheimer’s Synthetic Methods of Organic Chemistry, Vol. 72
1314-1314
|
| Full: PDF (54 K) |
|
Book Review of The Management of Chemical Process Development in the Pharmaceutical Industry John Knight 1314-1315
|
| Full: PDF (54 K) |
|
Book Review of Process Chemistry in the Pharmaceutical Industry, Vol. 2 W. J. Watson 1315-1315
|
| Full: PDF (54 K) |
|
Book Review of High-Throughput Analysis in the Pharmaceutical Industry
1315-1315
|
| Full: PDF (54 K) |
|
Book Review of Process Systems Engineering: Volumes 3 and 4: Supply Chain Optimization - parts I and II
1315-1315
|
| Full: PDF (54 K) |
|
Book Review of Pharmaceutical Pre-Approval Inspections: A Guide to Regulatory Success (Drugs and the Pharmaceutical Sciences, Vol. 181, 2nd ed.) Derek Robinson 1316-1316
|
| Full: PDF (54 K) |
|