Editorial |
I’m C.O.N.F.U.S.E.D. Trevor Laird 1673-1673
|
| Full: PDF (113 K) |
|
Highlights from the Literature |
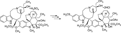
Some Items of Interest to Process R&D Chemists and Engineers Mark McLaughlin , Soumendu Paul , Antonio Ramirez , Paul Richardson , Andrei Zlota , John Knight 1674-1683
|
| Full: PDF (1045 K) |
|
Highlights from the Patents |
A Review of U.S. Patents in the Field of Organic Process Development Published During June and July 2012 Keith Turner 1684-1696
|
| Full: PDF (677 K) |
|
Concept Article |
The Eight Criteria Defining a Good Chemical Manufacturing Process Rolf Dach, Jinhua J. Song, Frank Roschangar, Wendelin Samstag, and Chris H. Senanayake 1697-1706
|
| Full: PDF (1814 K) |
|
An Approach to Control Strategies for Sulfonate Ester Formation in Pharmaceutical Manufacturing Based on Recent Scientific Understanding David Elder, Kevin L. Facchine, Jeffrey N. Levy, Rodney Parsons, David Ridge, Lesley Semo, and Andrew Teasdale 1707-1710
|
| Full: PDF (190 K) |
|
Full Papers |
Preparation of Spherical Particles of 1,1-Diamino-2,2-dinitroethene (FOX-7) Using a Micellar Nanoreactor Alok Kumar Mandal, U. Thanigaivelan, Raj Kishore Pandey, Srinandan Asthana, Ramdas B. Khomane, and Bhaskar Dattatraya Kulkarni 1711-1716
|
| Full: PDF (3328 K) |
|
Formation of Aromatic Amidoximes with Hydroxylamine using Microreactor Technology Attila Vörös, Zoltán Baán, Péter Mizsey, and Zoltán Finta 1717-1726
|
| Full: PDF (934 K) |
|
An Efficient Synthesis of 3-Substituted N-Glycoside Indoles Useful as Sodium-Dependent Glucose Transporter Inhibitors Xun Li, Kenneth M. Wells, Shawn Branum, Sandra Damon, Scott Youells, Derek A. Beauchamp, David Palmer, Stephen Stefanick, Ronald K. Russell, and William Murray 1727-1732
|
| Full: PDF (470 K) |
|
Optimization of Reductive Debenzylation of Hexabenzylhexaazaisowurtzitane (the Key Step for Synthesis of HNIW) Using Response Surface Methodology Yadollah Bayat, Heshmat Ebrahimi, and Farshad Fotouhi-Far 1733-1738
|
| Full: PDF (3125 K) |
|
Development of a Scalable Route to the SMO Receptor Antagonist SEN794 Matteo Betti, Giulio Castagnoli, Alessandro Panico, Salvatore Sanna Coccone, and Paul Wiedenau 1739-1745
|
| Full: PDF (496 K) |
|
Development of Scalable Manufacturing Routes to AZD1981. Application of the Semmler–Wolff Aromatisation for Synthesis of the Indole-4-amide Core Manjunatha Sulur, Parhalad Sharma, Ravi Ramakrishnan, Ravi Naidu, Eric Merifield, Duncan M. Gill, Adrian M. Clarke, Colin Thomson, Michael Butters, Sreekanth Bachu, Colin H. Benison, Nagaraju Dokka, Emily R. Fong, David R. J. Hose, Gareth P. Howell, Siobhan E. Mobberley, Simon C. Morton, Alexander K. Mullen, Jayan Rapai, and Bharathi Tejas 1746-1753
|
| Full: PDF (452 K) |
|
Carry Over of Impurities: A Detailed Exemplification for Glycopyrrolate (NVA237) Thomas Allmendinger, Dominique Bixel, Adrian Clarke, Laura Di Geronimo, Jean-Wilfried Fredy, Marco Manz, Elena Gavioli, Regine Wicky, Martin Schneider, Fabien J. Stauffert, Markus Tibi, and Darko Valentekovic 1754-1769
|
| Full: PDF (1175 K) |
|
An Automated Continuous-Flow Platform for the Estimation of Multistep Reaction Kinetics Brandon J. Reizman and Klavs F. Jensen 1770-1782
|
| Full: PDF (1261 K) |
|
Process Optimization of Aldol-Type Reaction by Process Understanding Using in Situ IR Yuki Fukui, Shinichi Oda, Hiroyuki Suzuki, Toshikazu Hakogi, Daisuke Yamada, Yohei Takagi, Yasunori Aoyama, Hideyuki Kitamura, Masayoshi Ogawa, and Junko Kikuchi 1783-1786
|
| Full: PDF (1038 K) |
|
Process Development and Scale-Up of an Hsp90 Inhibitor Shengquan Duan, Sripathy Venkatraman, Xuechuan Hong, Kenneth Huang, Luckner Ulysse, Bingidimi I. Mobele, Alexander Smith, Lawrence Lawless, Andrew Locke, and Ravi Garigipati 1787-1793
|
| Full: PDF (624 K) |
|
A Facile Total Synthesis for Large-Scale Production of Imatinib Base Amala Kompella, Bhujanga Rao Kalisatya Adibhatla, Pulla Reddy Muddasani, Sreenivas Rachakonda, Venugopala Krishna Gampa, and Pramod Kumar Dubey 1794-1804
|
| Full: PDF (697 K) |
|
A Scalable Synthesis of CE-157119 HCl Salt, an SRI/5-HT2A Antagonist Yong Tao, Daniel W. Widlicka, Paul D. Hill, Michel Couturier, and Gregory R. Young 1805-1810
|
| Full: PDF (447 K) |
|
Process Development, Impurity Control, and Production of a Novel Tubulin Inhibitor Mark A. Mortensen, Cheng Guo, Nathan T. Reynolds, Lingling Wang, Mark A. Helle, Daniel K. Keefe, Brian P. Haney, Bernard J. Paul, Paul R. Bruzinski, Mark A. Wolf, Nicole L. Malinowski, and Qiang Yang 1811-1817
|
| Full: PDF (548 K) |
|
Development of a Practical and Scalable Synthesis of a Potent p38 Mitogen-Activated Protein Kinase Inhibitor Shinya Yoshida, Yasumasa Hayashi, Kazuyoshi Obitsu, Atsushi Nakamura, Takashi Kikuchi, Tatsuya Sawada, Takenori Kimura, Takumi Takahashi, and Takashi Mukuta 1818-1826
|
| Full: PDF (556 K) |
|
Development of a Process for the Preparation of Chloromethyl Chlorosulfate Bin Zheng, Masano Sugiyama, Martin D. Eastgate, Alan Fritz, Saravanababu Murugesan, and David A. Conlon 1827-1831
|
| Full: PDF (365 K) |
|
Asymmetric Synthesis of a Glucagon Receptor Antagonist via Friedel–Crafts Alkylation of Indole with Chiral α-Phenyl Benzyl Cation John Y. L. Chung, Dietrich Steinhuebel, Shane W. Krska, Fred W. Hartner, Chaoxian Cai, Jonathan Rosen, Danny E. Mancheno, Tao Pei, Lisa DiMichele, Richard G. Ball, Cheng-yi Chen, Lushi Tan, Antony D. Alorati, Sarah E. Brewer, and Jeremy P. Scott 1832-1845
|
| Full: PDF (1060 K) |
|
Development of a Practical Synthesis of a Functionalized Pyrrolo[2,1-f][1,2,4]triazine Nucleus Bin Zheng, David A. Conlon, R. Michael Corbett, Melissa Chau, Dau-Ming Hsieh, Agnes Yeboah, Daniel Hsieh, Jale Müslehiddinoğlu, William P. Gallagher, Jeffrey N. Simon, and Justin Burt 1846-1853
|
| Full: PDF (553 K) |
|
A Robust Process for an mGluR5 Negative Allosteric Modulator: Difluoromethylation and Sonogashira Coupling on Large Scale Jeffrey B. Sperry, Roger M. Farr, Mahmut Levent, Mousumi Ghosh, Steven M. Hoagland, Richard J. Varsolona, and Karen Sutherland 1854-1860
|
| Full: PDF (619 K) |
|
Communications |
Demonstration of a Scalable One-Pot Synthesis of Fmoc-O-Benzylphospho-l-serine Dale R. Mowrey, Daniel E. Petrillo, Shawn P. Allwein, Stéphanie Graf, and Roger P. Bakale 1861-1865
|
| Full: PDF (227 K) |
|
Technical Notes |
A Practical Synthesis of a cis-4,5-Bis(4-chlorophenyl)imidazoline Intermediate for Nutlin Analogues Lianhe Shu, Ping Wang, Wen Liu, and Chen Gu 1866-1869
|
| Full: PDF (282 K) |
|
A Concise Synthesis of a Tetrahydropyrazolopyrazine Building Block Lianhe Shu, Ping Wang, Chen Gu, Lisa Garofalo, Lady Mae Alabanza, and Yan Dong 1870-1873
|
| Full: PDF (337 K) |
|
Book Reviews |
Applications of Transition Metal Catalysis in Drug Discovery and Development Trevor Laird 1874-1874
|
| Full: PDF (108 K) |
|
Catalysis Trevor Laird 1875-1875
|
| Full: PDF (108 K) |
|