Editorial board
IFC
|
| Full: PDF (38 K) |
|
Graphical contents list
1359-1369
|
| Full: PDF (1205 K) |
|
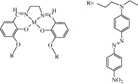
Synthesis and two-photon absorption property of novel salen complexes incorporated with two pendant azo dyes Zihong Ye, Leonardo De Boni, Ubaldo Martins Neves, C.R. Mendonça, Xiu R. Bu 1371-1373
|
| Full: PDF (269 K) |
|
Pyrogallol[4]arenes as artificial receptors for l-carnitine Bjoern Schnatwinkel, Mikhail V. Rekharsky, Victor V. Borovkov, Yoshihisa Inoue, Jochen Mattay 1374-1376
|
| Full: PDF (209 K) |
|
Two convenient regioselective syntheses of 1-N-alkyl-3-aryl-4-[pyrimidin-4-yl]-pyrazoles Jeffrey M. Ralph, Thomas H. Faitg, Domingos J. Silva, Yanhong Feng, Charles W. Blackledge, Jerry L. Adams 1377-1380
|
| Full: PDF (281 K) |
|
Synthesis and novel reactivities of several 1,9-dithiaalkane-bridged thianthrene 10-oxides Shin Suwabe, Akira Okuhara, Takashi Sugahara, Keita Suzuki, Katsuhiro Kunimasa, Toshifumi Nakajima, Yusuke Kumafuji, Yasushi Osawa, Toshiaki Yoshimura, Hiroyuki Morita 1381-1384
|
| Full: PDF (483 K) |
|
6-exo versus 7-endo iodolactonizations of 2-(alkynyl)phenylacetic acids Mohamed Gomaa Ali Badry, Benson Kariuki, David W. Knight, Mohammed F.K. 1385-1388
|
| Full: PDF (593 K) |
|
Efficient synthesis of β-enaminoesters via highly stereoselective Reformatsky reaction with disubstituted formamides as novel electrophiles Yi-Yin Ke, Yu-Jin Li, Jian-Hong Jia, Wei-Jian Sheng, Liang Han, Jian-Rong Gao 1389-1391
|
| Full: PDF (768 K) |
|
DAST promotes the synthesis of new 5-(trifluoromethyl)-3-(1,1-difluoroethan-2-yl)-1H-pyrazoles Helio G. Bonacorso, Liliane M.F. Porte, Cleber A. Cechinel, Gisele R. Paim, Everton D. Deon, Nilo Zanatta, Marcos A.P. Martins 1392-1394
|
| Full: PDF (243 K) |
|
Synthesis of imidazoisoindol-3-ones by a palladium-catalyzed intramolecular C–H insertion reaction Srinivasa Reddy Dandepally, Alfred L. Williams 1395-1398
|
| Full: PDF (962 K) |
|
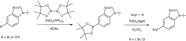
Convenient synthesis of heteroaryl-linked benzimidazoles via microwave-assisted boronate ester formation Tara R. Rheault, Kelly H. Donaldson, Mui Cheung 1399-1402
|
| Full: PDF (847 K) |
|
Fluorescence switching of photochromic vinylpyrene-substituted 2′-deoxyguanosine Yoshio Saito, Katsuhiko Matsumoto, Yoshiki Takeuchi, Subhendu Sekhar Bag, Satoshi Kodate, Takashi Morii, Isao Saito 1403-1406
|
| Full: PDF (418 K) |
|
MoO2Cl2 as a novel catalyst for Friedel–Crafts acylation and sulfonylation Rita G. de Noronha, Ana C. Fernandes, Carlos C. Romão 1407-1410
|
| Full: PDF (191 K) |
|
An efficient intermolecular C(aryl)–S bond forming reaction catalyzed by BINAM–copper(II) complex D.J.C. Prasad, Ajay B. Naidu, G. Sekar 1411-1415
|
| Full: PDF (3255 K) |
|
Stereoselective synthesis of the C1–C12 segment of iriomoteolide-1a: a very potent macrolide antitumor agent Arun K. Ghosh, Hao Yuan 1416-1418
|
| Full: PDF (364 K) |
|
Efficient functionalization of quinolizinium cations with organotrifluoroborates in water Tatiana Cañeque, Ana M. Cuadro, Julio Alvarez-Builla, Juan J. Vaquero 1419-1422
|
| Full: PDF (302 K) |
|
A concise α-amino acid-based synthetic approach to [1,4]oxazepin-2-ones from Baylis–Hillman adducts Lal Dhar S. Yadav, Vishnu P. Srivastava, Rajesh Patel 1423-1426
|
| Full: PDF (1302 K) |
|
Synthesis of a nanocar with organometallic wheels Guillaume Vives, James M. Tour 1427-1430
|
| Full: PDF (388 K) |
|
A biomimetic type expedient approach to the tricyclic core of xyloketals. Application to a short, stereocontrolled synthesis of alboatrin and a remarkable epi to natural isomerisation Debayan Sarkar, Subrata Ghosh, Ramanathapuram V. Venkateswaran 1431-1434
|
| Full: PDF (303 K) |
|
Synthesis of 3-aryl substituted benzo[1,2,5]triazepin-4-ones via intramolecular imine formation Mirosław J. Tomaszewski, Luc Boisvert, Shujuan Jin 1435-1437
|
| Full: PDF (815 K) |
|
Catalyst-free water-mediated N-Boc deprotection Gan Wang, Chunju Li, Jian Li, Xueshun Jia 1438-1440
|
| Full: PDF (709 K) |
|
Catalyst-free Friedel–Crafts alkylation of naphthols with nitrostyrenes in the presence of water Azim Ziyaei Halimehjani, Fezzeh Aryanasab, Mohammad R. Saidi 1441-1443
|
| Full: PDF (486 K) |
|
Direct introduction of acetylene moieties into azines by SNH methodology Anton M. Prokhorov, Mieczysław Mąkosza, Oleg N. Chupakhin 1444-1446
|
| Full: PDF (234 K) |
|
Entry to nitrogen-containing heterocycles by based-promoted heterocyclization on allenylamides of l-α-aminoacids Gianluigi Broggini, Simona Galli, Micol Rigamonti, Silvia Sottocornola, Gaetano Zecchi 1447-1449
|
| Full: PDF (386 K) |
|
A simple, novel and convenient method for the synthesis of 1-aminophosphinic acids: synthesis of a novel C2-symmetric phosphinic acid pseudodipeptide Babak Kaboudin, Fariba Saadati 1450-1452
|
| Full: PDF (215 K) |
|
α-Phenylselenenylation of aldehydes and ketones with diphenyl diselenide mediated by KF/Al2O3 Mohammad Nazari, Barahman Movassagh 1453-1455
|
| Full: PDF (916 K) |
|
A mild and efficient method for the synthesis of 2,5-dihydro-5-imino-2-methylfuran-3,4-dicarboxylates via an isocyanide-based multicomponent reaction Ahmad Shaabani, Ali Hossein Rezayan, Sabrieh Ghasemi, Afshin Sarvary 1456-1458
|
| Full: PDF (280 K) |
|
Unexpected reversible nitrogen atom transfer in the synthesis of polysubstituted imides and 7-aza-hexahydroindolones via enaminonitrile γ-lactams Nabila Oukli, Sébastien Comesse, Nafa Chafi, Hassan Oulyadi, Adam Daïch 1459-1462
|
| Full: PDF (530 K) |
|
NIS-promoted guanylation of amines Keiichiro Ohara, Jean-Jacques Vasseur, Michael Smietana 1463-1465
|
| Full: PDF (1147 K) |
|
Catalytic monoalkylation of 1,2-diols Toshihide Maki, Nobuto Ushijima, Yoshihiro Matsumura, Osamu Onomura 1466-1468
|
| Full: PDF (586 K) |
|
Intramolecular cyclization of ortho-alkynylanilines by Rh(I)-catalyzed hydroamination to yield benzo(dipyrroles) Guy K.B. Clentsmith, Leslie D. Field, Barbara A. Messerle, Adelle Shasha, Peter Turner 1469-1471
|
| Full: PDF (1072 K) |
|
Synthesis of fluorinated 1,2,4-oxadiazin-6-ones through ANRORC rearrangement of 1,2,4-oxadiazoles Antonio Palumbo Piccionello, Andrea Pace, Silvestre Buscemi, Nicolò Vivona, Gianluca Giorgi 1472-1474
|
| Full: PDF (336 K) |
|
Total synthesis of amphidinolactone A and its absolute configuration Masahiro Hangyou, Haruaki Ishiyama, Yohei Takahashi, Takaaki Kubota, Jun’ichi Kobayashi 1475-1477
|
| Full: PDF (527 K) |
|
Gold(I)-catalyzed direct C–H arylation of pyrazine and pyridine with aryl bromides Ming Li, Ruimao Hua 1478-1481
|
| Full: PDF (1036 K) |
|
Assymetric synthesis of (2S,3R)- and (2S,3S)-[2-13C;3-2H] glutamic acid Kosuke Okuma, Akira M. Ono, Seiji Tsuchiya, Makoto Oba, Kozaburo Nishiyama, Masatsune Kainosho, Tsutomu Terauchi 1482-1484
|
| Full: PDF (357 K) |
|
Easy and efficient tuning of the photochromic properties of 1,2-bis[5′-methyl-2′-(2″-pyridyl)thiazolyl]perfluorocyclopentene Marion Giraud, Anne Léaustic, Régis Guillot, Pei Yu, Francois Maurel, Keitaro Nakatani 1485-1489
|
| Full: PDF (463 K) |
|
Synthesis of functionalized triarylmethanes based on a ‘FeCl3-catalyzed benzylation/[3+3] cyclocondensation’ strategy Rasheed Ahmad, Abdolmajid Riahi, Peter Langer 1490-1492
|
| Full: PDF (214 K) |
|
DEAD-(cat)ZnBr2 an efficient system for the oxidation of alcohols to carbonyl compounds Hai Thuong Cao, René Grée 1493-1494
|
| Full: PDF (259 K) |
|
Synthesis of 1,2-disubstitued benzimidazoles using SiO2/ZnCl2 Raquel G. Jacob, Luiz G. Dutra, Cátia S. Radatz, Samuel R. Mendes, Gelson Perin, Eder J. Lenardão 1495-1497
|
| Full: PDF (384 K) |
|
Total synthesis of 4-F3t-neuroprostane and its 4-epimer Anne-Laure Auvinet, Barbara Eignerová, Alexandre Guy, Martin Kotora, Thierry Durand 1498-1500
|
| Full: PDF (349 K) |
|
Reactivities of mixed organozinc and mixed organocopper reagents, 2. Selective n-alkyl transfer in tri-n-butylphosphine-catalyzed acylation of n-alkyl phenylzincs; an atom economic synthesis of n-alkyl aryl ketones Ender Erdik, Özgen Ömür Pekel 1501-1503
|
| Full: PDF (204 K) |
|
Diastereoselective construction of substituted tetrahydropyrans using an intramolecular oxy-Michael strategy Fumika Yakushiji, Jacques Maddaluno, Masahiro Yoshida, Kozo Shishido 1504-1506
|
| Full: PDF (300 K) |
|
Microwave-assisted rapid and efficient synthesis of C-alkyl imidazoisoquinolinone derivatives Mariela Bollini, Mariángeles González, Ana María Bruno 1507-1509
|
| Full: PDF (529 K) |
|
Corrigendum to “A new thermo- and photo-driven [2]rotaxane” [Tetrahedron Lett. 50 (2009) 597] Feng-Yuan Ji, Liang-Liang Zhu, Xiang Ma, Qiao-Chun Wang, He Tian 1510
|
| Full: PDF (99 K) |
|
Calendar
I
|
| Full: PDF (91 K) |
|
(IBC)Guide to Authors (2006)
IBC
|
| Full: PDF (37 K) |
|
|
|