Editorial board
IFC
|
| Full: PDF (38 K) |
|
Graphical contents list
4191-4198
|
| Full: PDF (1178 K) |
|
NCS with thiourea as highly efficient catalysts for acetalization of aldehydes Y. Mei, P.A. Bentley, J. Du 4199-4200
|
| Full: PDF (354 K) |
|
A dual detecting polymeric sensor: chromogenic naked eye detection of silver and ratiometric fluorescent detection of manganese Narinder Singh, Navneet Kaur, Catriona Ni Choitir, John F. Callan 4201-4204
|
| Full: PDF (306 K) |
|
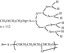
Synthesis of new poly(ethylene glycol)-block-poly(ester sulfide) dendrimers Jonathan J. Fury, Erich F. Altenhofer, Reza Sedaghat-Herati 4205-4207
|
| Full: PDF (224 K) |
|
New cyclic zwitterionic building blocks for the synthesis of piperidine-2,4-dione and pyridine-2-one compounds Angel Palillero, Joel L. Terán, Dino Gnecco, Jorge R. Juárez, María L. Orea, Alejandro Castro 4208-4211
|
| Full: PDF (257 K) |
|
A new synthesis, including asymmetric synthesis, of alkylidenecyclopropanes by 1,2-CC insertion of cyclobutylmagnesium carbenoides as the key reaction Nobuhito Nakaya, Shimpei Sugiyama, Tsuyoshi Satoh 4212-4216
|
| Full: PDF (844 K) |
|
Pyridine stabilized oxiranyl remote anions Pattama Saisaha, Chakkrapan Nerungsi, Supitchaya Iamsaard, Tienthong Thongpanchang 4217-4220
|
| Full: PDF (1026 K) |
|
Lycopladines F and G, new C16N2-type alkaloids with an additional C4N unit from Lycopodium complanatum Kan’ichiro Ishiuchi, Takaaki Kubota, Shigeki Hayashi, Toshiro Shibata, Jun’ichi Kobayashi 4221-4224
|
| Full: PDF (391 K) |
|
Aromatic oxidative decompositions of copper Schiff base complexes Jean-Christophe Andrez 4225-4228
|
| Full: PDF (468 K) |
|
Simple, facile and one-pot conversion of the Baylis–Hillman acetates into 3,5,6-trisubstituted-2-pyridones Mettu Ravinder, Partha Sarathi Sadhu, Vaidya Jayathirtha Rao 4229-4232
|
| Full: PDF (241 K) |
|
The synthesis of 1,1′-disubstituted bis-cyclopropanes by the reaction of substituted propargylic alcohols with CH2I2–R3Al Ilfir R. Ramazanov, Alsu V. Yumagulova, Usein M. Dzhemilev, Oleg M. Nefedov 4233-4235
|
| Full: PDF (236 K) |
|
A sulfonic acid functionalized ionic liquid as a homogeneous and recyclable catalyst for the one-pot synthesis of α-aminophosphonates Jafar Akbari, Akbar Heydari 4236-4238
|
| Full: PDF (201 K) |
|
An efficient non-catalytic, regioselective approach to the synthesis of angularly fused polycyclic systems Ramendra Pratap, Vishnu Ji Ram 4239-4242
|
| Full: PDF (471 K) |
|
A microwave-assisted solvent- and catalyst-free synthesis of aminomethylene bisphosphonates Babak Kaboudin, Soheil Alipour 4243-4245
|
| Full: PDF (216 K) |
|
Highly efficient one-pot, three-component Mannich reaction catalysed by boric acid and glycerol in water with major ‘syn’ diastereoselectivity Chhanda Mukhopadhyay, Arup Datta, Ray J. Butcher 4246-4250
|
| Full: PDF (380 K) |
|
Synthesis of hexakis(2-keto-3,6-anhydro)cyclomaltohexaose: structural studies and Pb2+ complexation evaluation Thomas Berthelot, Julia Chamot-Rooke, Cécile Baudin 4251-4253
|
| Full: PDF (335 K) |
|
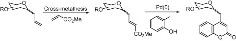
Catalytic synthesis of novel 4-C-glycosyl coumarins using a domino Heck reaction/lactonization process Denis Giguère, Ramesh Patnam, Juan M. Juarez-Ruiz, Mathieu Neault, René Roy 4254-4257
|
| Full: PDF (1522 K) |
|
Facile and efficient access to 2,6,9-tri-substituted purines through sequential N9, N2 Mitsunobu reactions Steven Fletcher, Vijay M. Shahani, Patrick T. Gunning 4258-4261
|
| Full: PDF (1309 K) |
|
An iron-catalysed synthesis of amides from nitriles and amines C. Liana Allen, Alexei A. Lapkin, Jonathan M.J. Williams 4262-4264
|
| Full: PDF (550 K) |
|
Synthetic studies toward the mitomycins: construction of the tetracyclic core via a reductive aminocyclization reaction Daniel A. Gubler, Robert M. Williams 4265-4267
|
| Full: PDF (278 K) |
|
Pd(0)/C-catalyzed cross-couplings of acyl chlorides with triarylbismuths as atom-efficient sub-stoichiometric multi-coupling reagents Maddali L.N. Rao, Deepak N. Jadhav, Varadhachari Venkatesh 4268-4271
|
| Full: PDF (2584 K) |
|
Preparation of a core–shell type MBHA resin and its application for solid-phase peptide synthesis Jeong-Hyun Choi, Tae-Kyung Lee, Jang-Woong Byun, Yoon-Sik Lee 4272-4275
|
| Full: PDF (348 K) |
|
Chemistry of renieramycins. Part 7: Renieramycins T and U, novel renieramycin–ecteinascidin hybrid marine natural products from Thai sponge Xestospongia sp. Naomi Daikuhara, Yumiko Tada, Sachiyo Yamaki, Kornvika Charupant, Surattana Amnuoypol, Khanit Suwanborirux, Naoki Saito 4276-4278
|
| Full: PDF (210 K) |
|
Lewis acid-catalyzed reactions of N′-(2-alkynylbenzylidene)hydrazides with diethyl phosphite Xingxin Yu, Qiuping Ding, Zhiyuan Chen, Jie Wu 4279-4282
|
| Full: PDF (1593 K) |
|
Novel guanidinyl pyrrolidine salt-based bifunctional organocatalysts: application in asymmetric conjugate addition of malonates to enones Emmanuel Riguet 4283-4285
|
| Full: PDF (244 K) |
|
Convenient synthesis of various ionic liquids from onium hydroxides and ammonium salts Yanqing Peng, Guiyun Li, Jianguo Li, Shaojun Yu 4286-4288
|
| Full: PDF (667 K) |
|
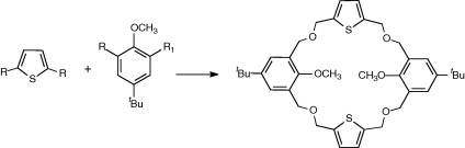
Synthesis and properties of a mixed thiophene-octahomotetraoxacalixarene Hassan Al-Saraierh, Louise N. Dawe, Paris E. Georghiou 4289-4292
|
| Full: PDF (414 K) |
|
A BODIPY–indole conjugate as a colorimetric and fluorometric probe for selective fluoride anion detection Yasuhiro Shiraishi, Hajime Maehara, Takahiro Sugii, Dongping Wang, Takayuki Hirai 4293-4296
|
| Full: PDF (491 K) |
|
Corrigendum to “Heterocyclic amines for the construction of peptoid oligomers bearing multi-dentate ligands” [Tetrahedron Lett. 49 (2008) 335] Galia Maayan, Barney Yoo, Kent Kirshenbaum 4297
|
| Full: PDF (106 K) |
|
(IBC)Guide to Authors (2006)
IBC
|
| Full: PDF (37 K) |
|
|
|