Editorial board
IFC
|
| Full: PDF (38 K) |
|
Graphical contents list
5965-5973
|
| Full: PDF (1318 K) |
|
Polymethylhydrosiloxane (PMHS)/trifluoroacetic acid (TFA): a novel system for reductive amination reactions Jay P. Patel, An-Hu Li, Hanqing Dong, Vijaya L. Korlipara, Mark J. Mulvihill 5975-5977
|
| Full: PDF (1866 K) |
|
New one-pot synthesis of pyrazole-5-carboxylates by 1,3-dipole cycloadditions of ethyl diazoacetate with α-methylene carbonyl compounds Antimo Gioiello, Asiya Khamidullina, Maria Carmela Fulco, Francesco Venturoni, Simon Zlotsky, Roberto Pellicciari 5978-5980
|
| Full: PDF (341 K) |
|
Xanthone in synthesis: a reactivity profile via directed lithiation of its dimethyl ketal Michal R. Odrowaz-Sypniewski, Petros G. Tsoungas, George Varvounis, Paul Cordopatis 5981-5983
|
| Full: PDF (342 K) |
|
Stereoselective total synthesis of (−)-pyrenophorol J.S. Yadav, U.V. Subba Reddy, B.V. Subba Reddy 5984-5986
|
| Full: PDF (290 K) |
|
Amine-catalyzed preparation of oxygenated derivatives of symmetric trisulfides Mahbubeh Pourshahbaz, Mohammad Joshaghani, Ezzat Rafiee, Jahangir Shahmoradi, Fereshteh Emami, Asieh Iranpour 5987-5989
|
| Full: PDF (567 K) |
|
Intramolecular cycloaddition of N-phthalimidoaziridines to double and triple carbon–carbon bonds Alena S. Pankova, Vladimir V. Voronin, Mikhail A. Kuznetsov 5990-5993
|
| Full: PDF (355 K) |
|
Cu(II) complex of an abiotic receptor as highly selective fluorescent sensor for acetate Shyamaprosad Goswami, Rinku Chakrabarty 5994-5997
|
| Full: PDF (313 K) |
|
Intramolecular-Prins-cyclization: a novel synthesis of hexahydro-2H-furo[3,2-c]pyran derivatives J.S. Yadav, P. Pawan Chakravarthy, Prashant Borkar, B.V. Subba Reddy, A.V.S. Sarma 5998-6000
|
| Full: PDF (1701 K) |
|
Et-duphos-nickel-catalyzed asymmetric arylation of benzaldehyde derivatives bearing an ortho-Me2PhSi group with potassium aryltriolborates Fumie Sakurai, Kazuhiro Kondo, Toyohiko Aoyama 6001-6003
|
| Full: PDF (399 K) |
|
An inexpensive cyclodiphosphazane as an efficient ligand for the palladium-catalyzed amination of aryl bromides and chlorides R. Rama Suresh, K.C. Kumara Swamy 6004-6007
|
| Full: PDF (1928 K) |
|
The α-halogenation of α,β-unsaturated carbonyls and dihalogenation of alkenes using bisacetoxyiodobenzene/pyridine hydrohalides Marsewi Ngatimin, Christopher J. Gartshore, Jeremy P. Kindler, Sudha Naidu, David W. Lupton 6008-6011
|
| Full: PDF (1591 K) |
|
Iodine-catalyzed Friedel–Crafts alkylation of electron-rich arenes with aldehydes: efficient synthesis of triarylmethanes and diarylalkanes Jaray Jaratjaroonphong, Supaporn Sathalalai, Prapapan Techasauvapak, Vichai Reutrakul 6012-6015
|
| Full: PDF (351 K) |
|
Poly(4-vinylpyridine) catalyzed selective methanolysis of methyl and methylene bromides G.K. Surya Prakash, Juan C. Colmenares, Patrice T. Batamack, Thomas Mathew, George A. Olah 6016-6018
|
| Full: PDF (511 K) |
|
Dendritic effects of crown ether-functionalized dendrimers on the solvent extraction of metal ions Dimitrios Alivertis, Georgios Paraskevopoulos, Vassiliki Theodorou, Konstantinos Skobridis 6019-6021
|
| Full: PDF (218 K) |
|
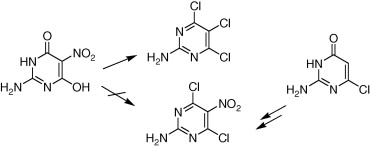
Syntheses of 2-amino-4,6-dichloro-5-nitropyrimidine and 2-amino-4,5,6-trichloropyrimidine: an unusual aromatic substitution Sergio Lopez, Thomas McCabe, R. Stanley McElhinney, T. Brian H. McMurry, Isabel Rozas 6022-6024
|
| Full: PDF (234 K) |
|
Biomimetic synthesis of quinoxalines in water B. Madhav, S. Narayana Murthy, V. Prakash Reddy, K. Rama Rao, Y.V.D. Nageswar 6025-6028
|
| Full: PDF (1701 K) |
|
Cu(OTf)2/Cu-catalyzed four-component reaction: a facile synthesis of α-alkoxytriazoles via click chemistry J.S. Yadav, B.V. Subba Reddy, G. Madhusudhan Reddy, S. Rehana Anjum 6029-6031
|
| Full: PDF (2325 K) |
|
Spicachlorantins C–F, hydroperoxy dimeric sesquiterpenes from the roots of Chloranthus spicatus Sang-Yong Kim, Yoshiki Kashiwada, Kazuyoshi Kawazoe, Kotaro Murakami, Han-Dong Sun, Shun-Lin Li, Yoshihisa Takaishi 6032-6035
|
| Full: PDF (447 K) |
|
A stereodivergent route to two epimeric 2-pyrrolidinylglycine derivatives Ayan Bandyopadhyay, Amit K. Pahari, Shital K. Chattopadhyay 6036-6039
|
| Full: PDF (302 K) |
|
Iron chloride enhancement of dimethylzinc-mediated radical conjugate addition of ethers and an amine to alkylidenemalonates Ken-ichi Yamada, Masaru Maekawa, Yasutomo Yamamoto, Mayu Nakano, Tito Akindele, Kiyoshi Tomioka 6040-6043
|
| Full: PDF (663 K) |
|
Highly efficient one-pot C-, N- and O-acylation of indolin-2-one analogs Mukund Jha, Brian Blunt 6044-6047
|
| Full: PDF (1200 K) |
|
A facile one-step synthesis of 5-chloro-imidazo[1,5-a]quinazoline by microwave irradiation Guo Li, Ramesh Kakarla, Samuel W. Gerritz, Annapurna Pendri, Baoqing Ma 6048-6052
|
| Full: PDF (1978 K) |
|
AuPPh3Cl/AgOTf-catalyzed reaction of terminal alkynes: nucleophilic addition to activated C=O bond Changkun Li, Fanyang Mo, Weibin Li, Jianbo Wang 6053-6056
|
| Full: PDF (305 K) |
|
Synthesis and oxidative polymerization of dialkyl fluorene-9,9-dicarboxylates Yanying Zhang, Song Tu, Koichi Mitsudo, Hideo Tanaka, Shunzo Suematsu, Kenji Machida, Daisuke Horii, Shuichi Ishimoto, Kenji Tamamitsu 6057-6059
|
| Full: PDF (292 K) |
|
Glycerin and CeCl3·7H2O: a new and efficient recyclable medium for the synthesis of bis(indolyl)methanes Claudio C. Silveira, Samuel R. Mendes, Francieli M. Líbero, Eder J. Lenardão, Gelson Perin 6060-6063
|
| Full: PDF (1399 K) |
|
Tetrahydroquinoline syntheses induced with catalytic amounts of viologen additives Zheng Xue, Anindya Samanta, Bruce R. Whittlesey, Michael F. Mayer 6064-6067
|
| Full: PDF (384 K) |
|
Solvent effects on the asymmetric Pauson–Khand-type reaction by rhodium Yun Hee Choi, Jaesung Kwak, Nakcheol Jeong 6068-6071
|
| Full: PDF (460 K) |
|
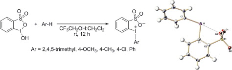
Preparation and X-ray structures of 2-[(aryl)iodonio]benzenesulfonates: novel diaryliodonium betaines Michael W. Justik, John D. Protasiewicz, James B. Updegraff 6072-6075
|
| Full: PDF (343 K) |
|
One-pot synthesis of γ-hydroxy-γ-oxaphosphonates using pentacovalent oxaphosphorane chemistry Jae-Min Hwang, Tasneem Islam, Kang-Yeoun Jung 6076-6078
|
| Full: PDF (289 K) |
|
Total synthesis of resolvin E1 Narihito Ogawa, Yuichi Kobayashi 6079-6082
|
| Full: PDF (488 K) |
|
The gem-disubstituent effect—a computational study that exposes the relevance of existing theoretical models Rafik Karaman 6083-6087
|
| Full: PDF (241 K) |
|
Ionic liquid-promoted dehydration of aldoximes: a convenient access to aromatic, heteroaromatic and aliphatic nitriles Debasree Saha, Amit Saha, Brindaban C. Ranu 6088-6091
|
| Full: PDF (679 K) |
|
An efficient tris-(2-aminoethyl)amine-CuI-catalyzed thioetherification of thiols with aryl halides Nivrutti R. Jogdand, Bapurao B. Shingate, Murlidhar S. Shingare 6092-6094
|
| Full: PDF (1501 K) |
|
Calendar
I
|
| Full: PDF (89 K) |
|
(IBC)Guide to Authors (2006)
IBC
|
| Full: PDF (37 K) |
|
|
|