Editorial board
IFC
|
| Full: PDF (37 K) |
|
Graphical contents list
7223-7234
|
| Full: PDF (1199 K) |
|
Synthesis of cyclopropanes by Pd-catalyzed activation of alkyl C–H bonds Qinhua Huang, Richard C. Larock 7235-7238
|
| Full: PDF (1359 K) |
|
Thiazolinium salt: an efficient catalyst for the Mukaiyama reaction Guillaume Mercey, Delphine Brégeon, Christine Baudequin, Frédéric Guillen, Jocelyne Levillain, Mihaela Gulea, Jean-Christophe Plaquevent, Annie-Claude Gaumont 7239-7241
|
| Full: PDF (502 K) |
|
Inorganic ammonium salts as catalysts for direct aldol reactions in the presence of water Pawel Dziedzic, Agnieszka Bartoszewicz, Armando Córdova 7242-7245
|
| Full: PDF (773 K) |
|
Reaction between isocyanides and nitrostyrenes in water: a novel and efficient synthesis of 5-(alkylamino)-4-aryl-3-isoxazolecarboxamides Mehdi Adib, Mohammad Mahdavi, Samira Ansari, Farzad Malihi, Long-Guan Zhu, Hamid Reza Bijanzadeh 7246-7248
|
| Full: PDF (278 K) |
|
Trimethylchlorosilane-promoted aza-Mannich reaction of enecarbamates and aldimines Pengcheng Wu, Deqin Lin, Xiaoxia Lu, Li Zhou, Jian Sun 7249-7251
|
| Full: PDF (532 K) |
|
Palladium/acetic acid-catalyzed fluoroalkylation of alkynes with monofluorinated sulfones as pronucleophiles Chuanfa Ni, Jinbo Hu 7252-7255
|
| Full: PDF (419 K) |
|
A highly efficient and reusable mesoporous supported Co(II) catalyst for chemoselective deprotection of aryl acetates Fatemeh Rajabi 7256-7258
|
| Full: PDF (1050 K) |
|
The synthesis of single enantiomers of trans-alkene-containing mycolic acids Gani Koza, Richard Rowles, Cornelia Theunissen, Juma’a R. Al-Dulayymi, Mark S. Baird 7259-7262
|
| Full: PDF (619 K) |
|
A safe and reliable procedure for the iododeamination of aromatic and heteroaromatic amines in a continuous flow reactor Laia Malet-Sanz, Julia Madrzak, Rhian S. Holvey, Toby Underwood 7263-7267
|
| Full: PDF (1761 K) |
|
Benzosceptrin C, a new dimeric bromopyrrole alkaloid from sponge Agelas sp. Takaaki Kubota, Atsushi Araki, Tetsuro Yasuda, Masashi Tsuda, Jane Fromont, Kazuki Aoyama, Yuzuru Mikami, Markus R. Wälchli, Jun’ichi Kobayashi 7268-7270
|
| Full: PDF (230 K) |
|
A concise and efficient synthesis of flumazenil and its precursor for radiolabeling with fluorine-18 Sean R. Donohue, Robert F. Dannals 7271-7273
|
| Full: PDF (290 K) |
|
An intramolecular journey of a carboxyl group around 1,2-dihydropyridines: multisite δ- versus γ-lactonization reactions Andrée Parlier, Catherine Kadouri-Puchot, Sandra Beaupierre, Nathalie Jarosz, Henri Rudler, Louis Hamon, Patrick Herson, Jean-Claude Daran 7274-7279
|
| Full: PDF (707 K) |
|
First synthesis of 2,6-diazabicyclo[3.2.0]heptane derivatives Carmela Napolitano, Manuela Borriello, Francesca Cardullo, Daniele Donati, Alfredo Paio, Stefano Manfredini 7280-7282
|
| Full: PDF (218 K) |
|
Mechanistic studies of rearrangements during the ring expansions of cyclopropanated carbohydrates Rhys Batchelor, Joanne E. Harvey, Paul Teesdale-Spittle, John O. Hoberg 7283-7285
|
| Full: PDF (387 K) |
|
Synthesis of 4,5-disubstituted-3-trihalomethylisothiazoles Michael P. Zawistoski, Shannon M. Decker, David A. Griffith 7286-7287
|
| Full: PDF (448 K) |
|
Synthesis and properties of PI polyamide–SAHA conjugate Akimichi Ohtsuki, Makoto T. Kimura, Masafumi Minoshima, Tsukasa Suzuki, Maki Ikeda, Toshikazu Bando, Hiroki Nagase, Ken-ichi Shinohara, Hiroshi Sugiyama 7288-7292
|
| Full: PDF (601 K) |
|
Copper-catalyzed C–N coupling of amides and nitrogen-containing heterocycles in the presence of cesium fluoride Dean P. Phillips, Xue-Feng Zhu, Thomas L. Lau, Xiaohui He, Kunyong Yang, Hong Liu 7293-7296
|
| Full: PDF (472 K) |
|
Asymmetric Michael addition of malonates to enones catalyzed by a siloxy amino acid lithium salt Masanori Yoshida, Mao Narita, Keisuke Hirama, Shoji Hara 7297-7299
|
| Full: PDF (227 K) |
|
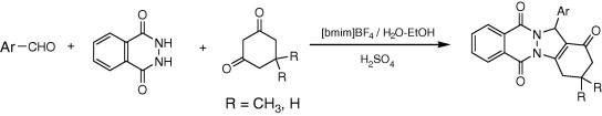
Efficient one-pot syntheses of 2H-indazolo[2,1-b] phthalazine-triones by catalytic H2SO4 in water–ethanol or ionic liquid Jitender M. Khurana, Devanshi Magoo 7300-7303
|
| Full: PDF (182 K) |
|
Analyzing Kirby’s amine olefin—a model for amino acid ammonia lyases Rafik Karaman 7304-7309
|
| Full: PDF (378 K) |
|
An intramolecular [4+3]-cycloaddition approach to rameswaralide inspired by biosynthesis speculation Gerald Pattenden, Johan M. Winne 7310-7313
|
| Full: PDF (381 K) |
|
Synthesis of phosphonate derivatives of 2,3-dihydroindene Monika Prokopowicz, Piotr Młynarz, Paweł Kafarski 7314-7317
|
| Full: PDF (235 K) |
|
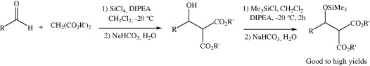
Synthesis of β-hydroxymalonates: the direct aldol addition of malonates to aldehydes in the presence of SiCl4 and i-Pr2EtN Antonio Massa, Arrigo Scettri, Rosanna Filosa, Laura Capozzolo 7318-7321
|
| Full: PDF (266 K) |
|
Copper(II) bromide as an efficient catalyst for the selective protection and deprotection of alcohols as bis(4-methoxyphenyl)methyl ethers Rofia Mezaache, Yénimégué Albert Dembelé, Yann Bikard, Jean-Marc Weibel, Aurélien Blanc, Patrick Pale 7322-7326
|
| Full: PDF (1949 K) |
|
Microwave-assisted stereoselective α-2-deoxyglycosylation of hex-1-en-3-uloses Hui-Chang Lin, Hsu-Hsuan Wu, Zi-Ping Lin, Chih-Yuan Lin, Chun-Hung Lin, Kun-Lung Chen, Fung Fuh Wong 7327-7329
|
| Full: PDF (1377 K) |
|
A novel and efficient method for the catalytic direct oxidative carbonylation of 1,2- and 1,3-diols to 5-membered and 6-membered cyclic carbonates Bartolo Gabriele, Raffaella Mancuso, Giuseppe Salerno, Giuseppe Ruffolo, Mirco Costa, Angela Dibenedetto 7330-7332
|
| Full: PDF (334 K) |
|
Reactivity of asymmetric benzo-condensed diazines with nitrilimine dipoles in the 1,3-dipolar cycloaddition reactions Antonino Lauria, Annalisa Guarcello, Gabriella Macaluso, Gaetano Dattolo, Anna Maria Almerico 7333-7336
|
| Full: PDF (246 K) |
|
Hetero-Diels–Alder reaction of [60]fullerene with nitrosoalkene Hai-tao Yang, Xiao-Jiao Ruan, Chun-bao Miao, Hai-tao Xi, Yan Jiang, Qi Meng, Xiao-qiang Sun 7337-7339
|
| Full: PDF (248 K) |
|
Synthesis of diaryl disulfides via the reductive coupling of arylsulfonyl chlorides George W. Kabalka, Marepally Srinivasa Reddy, Min-Liang Yao 7340-7342
|
| Full: PDF (758 K) |
|
Synthesis of palau’amide and its diastereomers: confirmation of its stereostructure Hirokazu Sugiyama, Atsushi Watanabe, Toshiaki Teruya, Kiyotake Suenaga 7343-7345
|
| Full: PDF (388 K) |
|
New water-soluble iminecalix[4]arene with a deep hydrophobic cavity Satish Balasaheb Nimse, Junghoon Kim, Van-Thao Ta, Hyung-Sup Kim, Keum-Soo Song, Chan-Yong Jung, Van-Thuan Nguyen, Taisun Kim 7346-7350
|
| Full: PDF (517 K) |
|
An electrostatic scale of substituent resonance effect Fareed Bhasha Sayyed, Cherumuttathu H. Suresh 7351-7354
|
| Full: PDF (303 K) |
|
Metathesis reactions of β-acyloxysulfones: synthesis of 1,6- and 1,7-dienes Gregory W. O’Neil, Daniel J. Moser, Erasmus O. Volz 7355-7357
|
| Full: PDF (349 K) |
|
Rapid amidic hydrolysis: a competitive reaction pathway under basic conditions for N-(hydroxymethyl)benzamide derivatives bearing electron-donating groups John L. Murphy, William J. Tenn III, Joseph J. Labuda, Richard W. Nagorski 7358-7361
|
| Full: PDF (247 K) |
|
Immobilized microorganisms in the reduction of ethyl benzoylacetate Aline de Souza Ramos, Joyce Benzaquem Ribeiro, Leonardo Vazquez, Sorele Batista Fiaux, Selma Gomes Ferreira Leite, Maria da Conceição Klaus V. Ramos, Francisco Radler de Aquino Neto, O.A.C. Antunes 7362-7364
|
| Full: PDF (195 K) |
|
The rhodium-catalysed 1,2-addition of arylboronic acids to aldehydes and ketones with sulfonated S-Phos James R. White, Gareth J. Price, Pawel K. Plucinski, Christopher G. Frost 7365-7368
|
| Full: PDF (470 K) |
|
Tetranitroresorcin[4]arene: synthesis and structure of a new stereoisomer N. Kodiah Beyeh, Kari Rissanen 7369-7373
|
| Full: PDF (465 K) |
|
Microwave-assisted McMurry polymerization utilizing low-valent titanium for the synthesis of poly 2,6-[1,5-bis(dodecyloxy)naphthylene vinylene] (PNV) Henrik Thomas, Nicolai Stuhr-Hansen, Fredrik Westerlund, Bo W. Laursen, Magnus Magnussen, Henning O. Sørensen, Thomas Bjørnholm, Jørn B. Christensen 7374-7378
|
| Full: PDF (489 K) |
|
A one-pot, four-component synthesis of α-carboline derivatives Ramin Ghahremanzadeh, Somayeh Ahadi, Ayoob Bazgir 7379-7381
|
| Full: PDF (328 K) |
|
Study of incidence of DiPAMP ligand modification on the rhodium(I)-catalyzed asymmetric hydrogenation of α-acetamidostyrene Borut Zupančič, Barbara Mohar, Michel Stephan 7382-7384
|
| Full: PDF (410 K) |
|
Vanadium-catalyzed oxidative aromatization of 2-cyclohexenones under molecular oxygen Toshiyuki Moriuchi, Kotaro Kikushima, Tomomi Kajikawa, Toshikazu Hirao 7385-7387
|
| Full: PDF (378 K) |
|
C2-Symmetric bipyrrolidines as organocatalysts for asymmetric Diels–Alder reactions Yuanhui Ma, Yong Jian Zhang, Shangbin Jin, Qiqi Li, Chenguang Li, Junseong Lee, Wanbin Zhang 7388-7391
|
| Full: PDF (401 K) |
|
Reactions of alkylidenepyrrolidines with α-chlorooximes and α-chlorohydrazones Cevher Altuğ, Yasar Dürüst, Mark C. Elliott 7392-7394
|
| Full: PDF (495 K) |
|
A mild oxidative method for the preparation of γ-hydroxy-α-nitroolefins from α,β-epoxyketoximes using IBX Alba Souto, Jaime Rodríguez, Carlos Jiménez 7395-7398
|
| Full: PDF (233 K) |
|
(IBC)Guide to Authors (2006)
IBC
|
| Full: PDF (36 K) |
|
|
|