Editorial board
IFC
|
| Full: PDF (37 K) |
|
Graphical contents list
1-15
|
| Full: PDF (1586 K) |
|
Hydroarylation of 2-azabicyclohept-5-en-3-one David W. Piotrowski, Jana Polivkova 17-19
|
| Full: PDF (358 K) |
|
The design, synthesis, and application of a chiral coupling reagent derived from strychnine for the enantioselective activation of a carboxylic group Beata Kolesińska, Katarzyna Kasperowicz, Marek Sochacki, Adam Mazur, Stefan Jankowski, Zbigniew J. Kamiński 20-22
|
| Full: PDF (202 K) |
|
An unprecedented rearrangement of salicylanilide derivatives: imidazolinone intermediate formation Jarmila Vinšová, Aleš Imramovský, Martin Krátký, Juana Monreal Férriz, Karel Palát, Antonín Lyčka, Aleš Růžička 23-26
|
| Full: PDF (577 K) |
|
Reaction between anthranilic acids, salicylaldehydes and isocyanides in water: an efficient synthesis of 2-{[2-(alkylimino)-1-benzofuran-3-yliden]amino}benzoic acids Mehdi Adib, Mohammad Mahdavi, Sharareh Bagherzadeh, Long-Guan Zhu, Mehdi Rahimi-Nasrabadi 27-29
|
| Full: PDF (317 K) |
|
A novel, one-pot, solvent-, and catalyst-free synthesis of 2-aryl/alkyl-4(3H)-quinazolinones Mehdi Adib, Samira Ansari, Ali Mohammadi, Hamid Reza Bijanzadeh 30-32
|
| Full: PDF (168 K) |
|
A copper- and solvent-free coupling of acid chlorides with terminal alkynes catalyzed by a polystyrene-supported palladium(0) complex under aerobic conditions Mohammad Bakherad, Ali Keivanloo, Bahram Bahramian, Mahbobeh Rajaie 33-35
|
| Full: PDF (200 K) |
|
3-Iodo-4-chalcogen-2H-benzopyran as a convenient precursor for the sonogashira cross-coupling: synthesis of 3-alkynyl-4-chalcogen-2H-benzopyrans Adriane Sperança, Benhur Godoi, Ana C.G. Souza, Gilson Zeni 36-39
|
| Full: PDF (1158 K) |
|
Synthesis of β-di and tribromoporphyrins and the crystal structures of antipodal tri-substituted Zn(II)-porphyrins P. Bhyrappa, V. Velkannan 40-42
|
| Full: PDF (413 K) |
|
Iron-catalyzed conversion of unactivated aryl halides to phenols in water Yunlai Ren, Lin Cheng, Xinzhe Tian, Shuang Zhao, Jianji Wang, Chaodong Hou 43-45
|
| Full: PDF (1637 K) |
|
The reductive etherification of carbonyl compounds using polymethylhydrosiloxane activated by molecular iodine J.S. Yadav, B.V. Subba Reddy, K. Shiva Shankar, T. Swamy 46-48
|
| Full: PDF (1645 K) |
|
Oryzamutaic acids B–G, new alkaloids from an Oryza sativa mutant with yellow endosperm Hiroshi Nakano, Seiji Kosemura, Mitsuru Yoshida, Toshisada Suzuki, Rika Iwaura, Ryota Kaji, Makoto Sakai, Katsutoshi Hirose 49-53
|
| Full: PDF (476 K) |
|
Facile ring-closure cyclization of arenes by nucleophilic C-alkylation reaction in ionic liquid Dong Jin Hong, Dong Wook Kim, Dae Yoon Chi 54-56
|
| Full: PDF (234 K) |
|
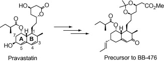
Conversion of pravastatin into an advanced intermediate for the synthesis of the HMG-CoA reductase inhibitor BB-476 J.J. Cronje Grove, Pieter S. van Heerden, Daneel Ferreira, Barend C.B. Bezuidenhoudt 57-59
|
| Full: PDF (307 K) |
|
Synthesis of new β- and γ-aminopyrrolidinephosphonates via 1,3-dipolar cycloaddition of substituted vinylphosphonates Nicolas Rabasso, Antoine Fadel 60-63
|
| Full: PDF (731 K) |
|
Fast production of highly concentrated reactive [18F] fluoride for aliphatic and aromatic nucleophilic radiolabelling Joël Aerts, Samuel Voccia, Christian Lemaire, Fabrice Giacomelli, David Goblet, David Thonon, Alain Plenevaux, Geoffrey Warnock, André Luxen 64-66
|
| Full: PDF (195 K) |
|
The effect of substrate structure on the direction of cyclization of ortho-alkynylbenzene diazonium salts Lidiya G. Fedenok, Mark S. Shvartsberg, Valentina S. Bashurova, George A. Bogdanchikov 67-69
|
| Full: PDF (257 K) |
|
Electroreductive intramolecular coupling of N-(oxoalkyl)phthalimides: complementary method to samarium(II) iodide reduction Naoki Kise, Toshihiko Sakurai 70-74
|
| Full: PDF (539 K) |
|
Tandem reversible addition–intramolecular lactonization for the synthesis of 3-functionalized phthalides Morakot Sakulsombat, Marcus Angelin, Olof Ramström 75-78
|
| Full: PDF (1517 K) |
|
Electrophilic fluorination: the aminopyridine dilemma Stephen C. Fields, William C. Lo, William K. Brewster, Christian T. Lowe 79-81
|
| Full: PDF (175 K) |
|
Synthesis of orthogonally protected azepane β-amino ester enantiomers Brigitta Kazi, Loránd Kiss, Enikő Forró, Ferenc Fülöp 82-85
|
| Full: PDF (211 K) |
|
Rapid annulation of tropolone units via a pyrylium ylide 1,3-dipolar cycloaddition reaction Kirill Tchabanenko, Peter McIntyre, John F. Malone 86-88
|
| Full: PDF (466 K) |
|
Reactions of selenium dichloride and dibromide with divinyl selenide: synthesis of novel selenium heterocycles and rearrangement of 2,6-dihalo-1,4-diselenanes Vladimir A. Potapov, Svetlana V. Amosova, Kaleria A. Volkova, Maxim V. Penzik, Alexander I. Albanov 89-92
|
| Full: PDF (490 K) |
|
Synthesis of heterosteroids. First synthesis of oxa steroid from cholic acid Malika Ibrahim-Ouali, Nicaise Botsi-Nkomendi, Luc Rocheblave 93-95
|
| Full: PDF (160 K) |
|
An expeditious total synthesis of (±)-jamtine using condensation between imine and acid anhydride Joelle Pérard-Viret, Florence Souquet, Marie-Line Manisse, Jacques Royer 96-98
|
| Full: PDF (309 K) |
|
Highly diastereoselective allylation reactions of dilithiated 4-(phenylsulfonyl)-cyclopent-2-enol Donald Craig, Pengfei Lu, Andrew J.P. White 99-101
|
| Full: PDF (231 K) |
|
Novel access to 1-substituted-benzimidazoles via benzotriazole-mediated synthesis Augusto Rivera, Mauricio Maldonado, Jaime Ríos-Motta, Miguel Angel Navarro, Diego González-Salas 102-104
|
| Full: PDF (231 K) |
|
Indium-mediated Reformatsky reaction on lactones: preparation of 2-deoxy-2,2′-dimethyl-3-ulosonic acids Raquel G. Soengas 105-108
|
| Full: PDF (914 K) |
|
Synthesis of a sugar-aza-crown ether-based cavitand as a selective fluorescent chemosensor for Cu2+ ion Yu-Chi Hsieh, Jiun-Ly Chir, Hsiu-Han Wu, Chao-QI Guo, An-Tai Wu 109-111
|
| Full: PDF (343 K) |
|
An indicator displacement assay with independent dual wavelength emission Shaohui Zhang, Timothy E. Glass 112-114
|
| Full: PDF (312 K) |
|
Catalytic versus stoichiometric coupling of alkynes with trimethylvinylsilane mediated by zirconocene Mohamad Soueidan, Florence Hélion, Jean-Louis Namy, Jan Szymoniak 115-117
|
| Full: PDF (422 K) |
|
Comparative toxicity of [3]ferrocenophane and ferrocene moieties on breast cancer cells Meral Gormen, Damian Plażuk, Pascal Pigeon, Elizabeth A. Hillard, Marie-Aude Plamont, Siden Top, Anne Vessières, Gérard Jaouen 118-120
|
| Full: PDF (321 K) |
|
A general preparation of (Z)-1-fluorostilbene derivatives for the design of conformationally restricted peptidomimetics David R. Williams, Micheal W. Fultz, Thomas E. Christos, Jeffery S. Carter 121-124
|
| Full: PDF (1039 K) |
|
Substrate specificity of the CYC2 enzyme from Kitasatospora griseola: production of sclarene, biformene, and novel bicyclic diterpenes by the enzymatic reactions of labdane- and halimane-type diterpene diphosphates Chiaki Nakano, Tsutomu Hoshino, Tsutomu Sato, Tomonobu Toyomasu, Tohru Dairi, Takeshi Sassa 125-128
|
| Full: PDF (241 K) |
|
Electrosynthesis of cholesta-4,6-dien-3-one from cholesterol on a laboratory synthetic scale Yu-Ya Hosokawa, Hideki Hakamata, Tomonori Murakami, Fumiyo Kusu 129-132
|
| Full: PDF (249 K) |
|
Pronounced rate enhancements in condensation reactions attributed to the fluorous tag in modified Mukaiyama reagents Masato Matsugi, Shuichi Nakamura, Yoko Kunda, Yuya Sugiyama, Takayuki Shioiri 133-135
|
| Full: PDF (391 K) |
|
An efficient route to 4-substituted coumarins, 2(5H)-furanones, and pyrones via palladium-catalyzed couplings of alkenyl tosylates with organoindium reagents Wei Gao, Yong Luo, Qiuping Ding, Yiyuan Peng, Jie Wu 136-138
|
| Full: PDF (580 K) |
|
1-(d-Glucopyranosyl-2′-deoxy-2′-iminomethyl)-2-hydroxybenzene as chemosensor for aromatic amino acids by switch-on fluorescence Atanu Mitra, Jugun Prakash Chinta, Chebrolu P. Rao 139-142
|
| Full: PDF (1047 K) |
|
Electrostatic origin towards the reversal of π-facial selectivity of 5,6-cis,exo-disubstituted bicyclic[2.2.2]oct-2-enes with m-chloroperbenzoic acid and diazomethane: a computational study Anik Sen, Bishwajit Ganguly 143-146
|
| Full: PDF (281 K) |
|
Catalyst-free domino-Knoevenagel-hetero-Diels–Alder reaction of terminal alkynes in water: an efficient one-step synthesis of indole-annulated thiopyranobenzopyran derivatives K.C. Majumdar, Abu Taher, Sudipta Ponra 147-150
|
| Full: PDF (934 K) |
|
An efficient synthesis of varenicline Srinivas Pasikanti, D. Srinivasa Reddy, B. Venkatesham, P.K. Dubey, Javed Iqbal, Parthasarathi Das 151-152
|
| Full: PDF (208 K) |
|
Air-stable hypervalent organobismuth(III) tetrafluoroborate as effective and reusable catalyst for the allylation of aldehyde with tetraallyltin Xiaowen Zhang, Renhua Qiu, Nianyuan Tan, Shuangfeng Yin, Jun Xia, Shenglian Luo, Chak-Tong Au 153-156
|
| Full: PDF (318 K) |
|
Asymmetric and diastereodivergent approach to key intermediates for the synthesis of homopumiliotoxin 223G and epiquinamide isomer Le Anh Tuan, Hyeyoung Pyeon, Guncheol Kim 157-159
|
| Full: PDF (295 K) |
|
One-pot catalytic C–C double bond cleavage of α,β-enones aided by alkyl group-immobilized silica spheres Dong Hun Lee, Eun-Ae Jo, Jung-Woo Park, Chul-Ho Jun 160-163
|
| Full: PDF (447 K) |
|
Total syntheses of naamidine G and 14-methoxynaamidine G Panduka B. Koswatta, Carl J. Lovely 164-166
|
| Full: PDF (229 K) |
|
Hg2+-selective fluorogenic chemodosimeter based on naphthoflavone Ji Eun Namgoong, Hye Lim Jeon, Youn Hwan Kim, Myung Gil Choi, Suk-Kyu Chang 167-169
|
| Full: PDF (466 K) |
|
Synthesis of (sulfonyl)methylphosphonate analogs of prenyl diphosphates Michael W. Lodewyk, Victor G. Lui, Dean J.Tantillo 170-173
|
| Full: PDF (354 K) |
|
The superiority of properly prepared lithium 1-N,N-dimethylaminonaphthalenide (LDMAN) over other aromatic radical-anions for the generation of organolithiums by reductive lithiation Roman Ivanov, Ilan Marek, Theodore Cohen 174-176
|
| Full: PDF (328 K) |
|
Enantioselective syntheses and X-ray structures of (S)- and (R)-N-norlaudanidine: trace opium constituents Ahmed L. Zein, Otman O. Dakhil, Louise N. Dawe, Paris E. Georghiou 177-180
|
| Full: PDF (249 K) |
|
Synthesis and photoluminescence properties of π-extended fluorene derivatives: the first example of a fluorescent solvatochromic nitro-group-containing dye with a high fluorescence quantum yield Hidehiro Kotaka, Gen-ichi Konishi, Kazuhiko Mizuno 181-184
|
| Full: PDF (609 K) |
|
Doubly activated coumarin as a colorimetric and fluorescent chemodosimeter for cyanide Gun-Joong Kim, Hae-Jo Kim 185-187
|
| Full: PDF (1407 K) |
|
Two novel quadruple hydrogen-bonding motifs: the formation of supramolecular polymers, vesicles, and organogels Ping Du, Gui-Tao Wang, Xin Zhao, Guang-Yu Li, Xi-Kui Jiang, Zhan-Ting Li 188-191
|
| Full: PDF (571 K) |
|
Direct oxidative cyclization of 3-arylpropionic acids using PIFA or Oxone: synthesis of 3,4-dihydrocoumarins Yonghong Gu, Kun Xue 192-196
|
| Full: PDF (1473 K) |
|
Synthesis of labeled meropenem for the analysis of M. tuberculosis transpeptidases David B. Kastrinsky, Clifton E. Barry III 197-200
|
| Full: PDF (295 K) |
|
Facile one-pot method for the synthesis of novel glycosylidene-based quinolines Peter H. Dobbelaar, Cecilia H. Marzabadi 201-204
|
| Full: PDF (238 K) |
|
A novel method for the bromination of thiophenes Pavel Arsenyan, Edgars Paegle, Sergey Belyakov 205-208
|
| Full: PDF (521 K) |
|
Asymmetric organocatalysis of the addition of acetone to 2-nitrostyrene using N-diphenylphosphinyl-1,2-diphenylethane-1,2-diamine (PODPEN) David J. Morris, A. Simon Partridge, Charles V. Manville, Daugidas T. Racys, Gary Woodward, Gordon Docherty, Martin Wills 209-212
|
| Full: PDF (458 K) |
|
Guide for Authors (2006)
I-IV
|
| Full: PDF (69 K) |
|
|
|