Editorial board
IFC
|
| Full: PDF (37 K) |
|
Graphical contents list
771-778
|
| Full: PDF (978 K) |
|
An efficient boric acid-mediated preparation of α-hydroxyamides J. Sravan Kumar, Subash C. Jonnalagadda, Venkatram R. Mereddy 779-782
|
| Full: PDF (3081 K) |
|
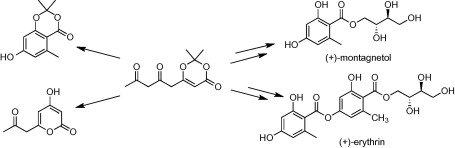
Studies on the resorcylates: biomimetic total syntheses of (+)-montagnetol and (+)-erythrin Jean-François Basset, Colin Leslie, Dieter Hamprecht, Andrew J.P. White, Anthony G.M. Barrett 783-785
|
| Full: PDF (460 K) |
|
Rapid reduction of heteroaromatic nitro groups using catalytic transfer hydrogenation with microwave heating John F. Quinn, Cole E. Bryant, Kathryn C. Golden, Brian T. Gregg 786-789
|
| Full: PDF (2158 K) |
|
Dithiocarbamate as an efficient intermediate for the synthesis of 2-amino-1,3,4-thiadiazoles in water Fezzeh Aryanasab, Azim Ziyaei Halimehjani, Mohammad R. Saidi 790-792
|
| Full: PDF (250 K) |
|
Rhenium-catalyzed reaction of carbonyl compounds with ketene silyl acetals Yutaka Nishiyama, Kenta Kaiba, Rui Umeda 793-795
|
| Full: PDF (208 K) |
|
Mg-promoted C-trifluoroacetylation of benzophenone Hirofumi Maekawa, Taro Ozaki, Ikuzo Nishiguchi 796-799
|
| Full: PDF (663 K) |
|
Synthesis of bifunctional peptide derivatives based on a β-cyclodextrin core with drug delivery potential Rachel J. White, Paul G. Plieger, David R.K. Harding 800-803
|
| Full: PDF (397 K) |
|
Advances in bridged 1,2,4-trioxane-based chemistry. A divergent approach to oxa-heterocycles based on ambident reactivity Martín J. Riveira, Agustina La-Venia, Mirta P. Mischne 804-807
|
| Full: PDF (410 K) |
|
Homogeneous dihydroxylation of olefins catalyzed by a recyclable OsO42- core dendrimer Ken-ichi Fujita, Taku Ainoya, Teruhisa Tsuchimoto, Hiroyuki Yasuda 808-810
|
| Full: PDF (976 K) |
|
Synthesis of a BF2 complex of indol-2-yl-isoindol-1-ylidene-amine: a fully conjugated azadipyrromethene Yan Li, David Dolphin, Brian O. Patrick 811-814
|
| Full: PDF (580 K) |
|
The first enantiospecific total synthesis of the 3-oxygenated sarpagine indole alkaloids affinine and 16-epiaffinine, as well as vobasinediol and 16-epivobasinediol Jie Yang, Sundari K. Rallapalli, James M. Cook 815-817
|
| Full: PDF (422 K) |
|
A novel aza-Prins-Friedel–Crafts reaction for the synthesis of 4-arylpiperidines J.S. Yadav, B.V. Subba Reddy, K. Ramesh, G.G.K.S. Narayana Kumar, René Grée 818-821
|
| Full: PDF (2647 K) |
|
Cycloruthenated complexes as homogeneous catalysts for atom-transfer radical additions Ksenia Parkhomenko, Laurent Barloy, Jean-Baptiste Sortais, Jean-Pierre Djukic, Michel Pfeffer 822-825
|
| Full: PDF (317 K) |
|
Montmorillonite clay-catalyzed cyclotrimerization and oxidation of aliphatic aldehydes Matthew R. Dintzner, Yawo A. Mondjinou, Dominic J. Pileggi 826-827
|
| Full: PDF (149 K) |
|
Synthesis of imidazo[1,5-a]pyridines from 1,1-dibromo-1-alkenes Aimin Zhang, Xiaoling Zheng, Junfa Fan, Wang Shen 828-831
|
| Full: PDF (1627 K) |
|
A spherical molecular assembly formed by the interplay of hydrophobic and hydrogen bonding interactions. Formation of a hexameric ball Kenta Goto, Yuji Miyahara, Teruo Shinmyozu 832-835
|
| Full: PDF (302 K) |
|
One-pot derivatization of medicinally important 9-aminoacridines by reductive amination and SNAr reaction Gary Gellerman, Vladimir Gaisin, Tamara Brider 836-839
|
| Full: PDF (476 K) |
|
A new approach towards the synthesis of pyrrolo[2,1-a]isoquinolines Leonid G. Voskressensky, Anna V. Listratova, Alexander V. Bolshov, Oksana V. Bizhko, Tatiana N. Borisova, Alexey V. Varlamov 840-842
|
| Full: PDF (345 K) |
|
A new, one-step synthesis of 1-heteroaryl-2-alkylaminoethanols Fuqiang Ning, Rosaleen J. Anderson, David E. Hibbs, Paul W. Groundwater 843-845
|
| Full: PDF (493 K) |
|
One-pot three component α-aminoalkylation of conjugated nitroalkenes and nitrodienes Kunjanpillai Rajesh, Pramod Shanbhag, Manjoji Raghavendra, Pallavi Bhardwaj, Irishi N.N. Namboothiri 846-849
|
| Full: PDF (295 K) |
|
Oxidative dimerization of azoles via copper(II)/silver(I)-catalyzed CH homocoupling Daiki Monguchi, Akira Yamamura, Taiki Fujiwara, Takashi Somete, Atsunori Mori 850-852
|
| Full: PDF (418 K) |
|
Deoxygenation of benzylic alcohols using chloroboranes Min-Liang Yao, Adam B. Pippin, George W. Kabalka 853-855
|
| Full: PDF (432 K) |
|
Synthesis and ultrastructural characterization of ferrocenylated soft structures Sudipta Mondal, Surajit Ghosh, Sandeep Verma 856-859
|
| Full: PDF (330 K) |
|
Facile synthesis of 3,3-diallyl isoindolones via a indium-mediated double allylation of ortho-cyanobenzoates Sung Hwan Kim, Se Hee Kim, Ko Hoon Kim, Jae Nyoung Kim 860-862
|
| Full: PDF (963 K) |
|
Ultrasound-assisted synthesis of symmetrical biaryls by palladium-catalyzed detelluration of 1,2-diarylditellanes Fateh V. Singh, Hélio A. Stefani 863-867
|
| Full: PDF (1550 K) |
|
Practical method for synthesis of 2,3-disubstituted indole derivatives promoted by β-(benzotriazol-1-yl)allylic O-stannyl ketyl radicals Taehoon Kim, Kyongtae Kim 868-871
|
| Full: PDF (292 K) |
|
Regio- and stereoselective acylation of saturated carbocycles via Norrish–Yang photocyclization Shin Kamijo, Tamaki Hoshikawa, Masayuki Inoue 872-874
|
| Full: PDF (364 K) |
|
Synthesis of aspergillide A from a synthetic intermediate of aspergillide B Tomohiro Nagasawa, Shigefumi Kuwahara 875-877
|
| Full: PDF (418 K) |
|
(IBC)Guide to Authors (2006)
IBC
|
| Full: PDF (36 K) |
|
|
|