Editorial board
IFC
|
| Full: PDF (38 K) |
|
Graphical contents list
2673-2680
|
| Full: PDF (955 K) |
|
Synthesis of conformationally restricted sulfonamides via radical cyclisation D. Biswas, L. Samp, A.K. Ganguly 2681-2684
|
| Full: PDF (670 K) |
|
Flexible palladium-catalysed amidation reactions for the synthesis of complex aryl amides Christopher Barfoot, Gerald Brooks, Pamela Brown, Steven Dabbs, David T.Davies, Ilaria Giordano, Alan Hennessy, Graham Jones, Roger Markwell, Timothy Miles, Neil Pearson, Christian A. Smethurst 2685-2689
|
| Full: PDF (1620 K) |
|
Iridium-catalyzed C–H activation/borylation/oxidation for the preparation of bis-protected phloroglucinol derivatives Laura J. Marshall, Karl M. Cable, Nigel P. Botting 2690-2692
|
| Full: PDF (161 K) |
|
Novel chiral Schiff base macrocycles containing azobenzene chromophore: gelation and guest inclusion Koichi Tanaka, Shingo Fukuoka, Hiroki Miyanishi, Hiroki Takahashi 2693-2696
|
| Full: PDF (672 K) |
|
Thermodynamic equilibration in Pd(0)-catalyzed interconversion of highly constrained [2.1.2] bicyclic lactones: its mechanistic investigation Young Taek Han, Seung-Mann Paek, Sujin Lee, Jong-Wha Jung, Jae-Kyung Jung, Seung-Yong Seo, Jeeyeon Lee, Young-Ger Suh 2697-2699
|
| Full: PDF (496 K) |
|
Ceric ammonium nitrate (CAN) catalyzed synthesis of N-substituted decahydroacridine-1,8-diones in PEG Mazaahir Kidwai, Divya Bhatnagar 2700-2703
|
| Full: PDF (235 K) |
|
A new and convenient approach to heterotetracyclic benzoxazocines through addition of 1,3-dicarbonyl compounds to quinolinium salts Firouz Matloubi Moghaddam, Zohreh Mirjafary, Hamdollah Saeidian, Salman Taheri, Mohammad Reza Khodabakhshi 2704-2707
|
| Full: PDF (448 K) |
|
Organocatalytic diastereoselective dibromination of alkenes Mingzhao Zhu, Shuangzheng Lin, Gui-Ling Zhao, Junliang Sun, Armando Córdova 2708-2712
|
| Full: PDF (1221 K) |
|
Surprising secondary photochemical reactions observed on conventional photolysis of diazotetrahydrofuranones Valerij A. Nikolaev, Olesja S. Galkina, Jochim Sieler, Ludmila L. Rodina 2713-2716
|
| Full: PDF (575 K) |
|
New aspects of the Hunsdiecker–Barton halodecarboxylation—syntheses of phospha-shikimic acid and derivatives Benoit Carbain, Peter B. Hitchcock, Hansjörg Streicher 2717-2719
|
| Full: PDF (552 K) |
|
Screening of polymeric supports and enzymes for the development of an endo enzyme cleavable linker Ana Chiva, David E. Williams, Alethea B. Tabor, Helen C. Hailes 2720-2723
|
| Full: PDF (321 K) |
|
Cost efficient synthesis of amides from oximes with indium or zinc catalysts C. Liana Allen, Céline Burel, Jonathan M.J. Williams 2724-2726
|
| Full: PDF (305 K) |
|
1,2-Dihydro-2-thioxo-4H-3,1-benzothiazin-4-one: formation from carbon disulfide and isatoic anhydride Philipp A. Ottersbach, Hans-Georg Häcker, Paul W. Elsinghorst, Gregor Schnakenburg, Michael Gütschow 2727-2729
|
| Full: PDF (265 K) |
|
Synthesis of imines from nitrobenzene and TiO2 particles suspended in alcohols via semiconductor photocatalysis type B Omar Rios-Bernÿ, Sergio O. Flores, Iván Córdova, Miguel A. Valenzuela 2730-2733
|
| Full: PDF (505 K) |
|
Rumphellclovane A, a novel clovane-related sesquiterpenoid from the gorgonian coral Rumphella antipathies Hsu-Ming Chung, Yung-Husan Chen, Tsong-Long Hwang, Li-Fan Chuang, Wei-Hsien Wang, Ping-Jyun Sung 2734-2736
|
| Full: PDF (219 K) |
|
Synthesis of trifunctional thioureas bearing 1,5-disubstituted triazole tether by Ru-catalyzed Huisgen cycloaddition Kiyosei Takasu, Takumi Azuma, Yoshiji Takemoto 2737-2740
|
| Full: PDF (494 K) |
|
Design and synthesis of novel spirocyclopropyl cyclohexane-1,3-diones and -1,3,5-triones for their incorporation into potent HPPD inhibitors Renaud Beaudegnies, Alain De Mesmaeker, Aurélie Mallinger, Myriam Baalouch, André Goetz 2741-2744
|
| Full: PDF (454 K) |
|
The combination of TsNBr2/TsNH2 as the nitrogen/halo source for the aminobromination of β-methyl-β-nitrostyrenes catalyzed by Mn(OAc)2 Sanjun Zhi, Guanghui An, Hao Sun, Jianlin Han, Guigen Li, Yi Pan 2745-2747
|
| Full: PDF (274 K) |
|
K2PdCl4 catalyzed efficient multicomponent synthesis of α-aminonitriles in aqueous media Bikash Karmakar, Julie Banerji 2748-2750
|
| Full: PDF (1312 K) |
|
Imidazole derivatives as the organic precursor of ZnO nano particle Arun Kumar Padhy, Bolin Chetia, Sasmita Mishra, Anita Pati, Parameswar Krishnan Iyer 2751-2753
|
| Full: PDF (324 K) |
|
Expedient route to CDE ring system of schintrilactones through tandem ROM–RCM of a norbornene derivative Kiran Matcha, Soumitra Maity, Chanchal K. Malik, Subrata Ghosh 2754-2757
|
| Full: PDF (416 K) |
|
FeCl3/PPh3-catalyzed Sonogashira coupling reaction of aryl iodides with terminal alkynes Dinesh N. Sawant, Pawan J. Tambade, Yogesh S. Wagh, Bhalchandra M. Bhanage 2758-2761
|
| Full: PDF (2463 K) |
|
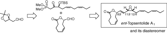
Determination of the absolute configuration of marine oxylipin topsentolide A1 by the synthesis of the enantiomer of the natural product Munetaka Kobayashi, Ken Ishigami, Hidenori Watanabe 2762-2764
|
| Full: PDF (552 K) |
|
Determination of the absolute configuration of nodulisporacid A by the concise synthesis of four stereoisomers via three-component reaction and one-pot construction of the framework Tatsunobu Sumiya, Ken Ishigami, Hidenori Watanabe 2765-2767
|
| Full: PDF (611 K) |
|
The first total synthesis of potent human chymase inhibitor SPF32629B via regioselective bromination and O-acylation strategy Srinivasa Rao Vegi, Shanthaveerappa K. Boovanahalli, Balaram Patro, K. Mukkanti 2768-2770
|
| Full: PDF (384 K) |
|
Synthetic studies on azadirachtin: stereoselective construction of the ABCE ring system Daisuke Nakagawa, Masaaki Miyashita, Keiji Tanino 2771-2773
|
| Full: PDF (516 K) |
|
Synthesis of 4-allylquinazolines from N-(2-cyanoaryl)amides via the In-mediated allylation of nitrile and dehydrative cyclization cascade Sung Hwan Kim, Se Hee Kim, Taek Hyeon Kim, Jae Nyoung Kim 2774-2777
|
| Full: PDF (1010 K) |
|
Announcement
2778-2779
|
| Full: PDF (143 K) |
|
IBC Guide to Authors (2006)
IBC
|
| Full: PDF (37 K) |
|
|
|