Editorial board
IFC
|
| Full: PDF (71 K) |
|
Graphical contents list
2143-2151
|
| Full: PDF (858 K) |
|
Beyond the Ugi reaction: less conventional interactions between isocyanides and iminium species Laurent El Kaim, Laurence Grimaud 2153-2171
|
| Full: PDF (1773 K) |
|
Minimal modification approach to red-shifted absorption and fluorescence in 1,8-naphthalimides Premchendar Nandhikonda, Sangita Paudel, Michael D. Heagy 2173-2177
|
| Full: PDF (202 K) |
|
A one-pot synthesis and 1,3-dipolar cycloaddition of [1,2]dithiolo[4,3-b]indole-3(4H)-thiones Lidia S. Konstantinova, Kirill A. Lysov, Stanislav A. Amelichev, Natalia V. Obruchnikova, Oleg A. Rakitin 2178-2183
|
| Full: PDF (305 K) |
|
Synthesis and anion-binding properties of new disulfonamide-based receptors Oscar Mammoliti, Sara Allasia, Sally Dixon, Jeremy D. Kilburn 2184-2195
|
| Full: PDF (452 K) |
|
An efficient phosphate sensor: tripodal quinoline excimer transduction Avijit Pramanik, Gopal Das 2196-2200
|
| Full: PDF (501 K) |
|
Synthesis of a novel tetrahydroisoquinoline pentacyclic framework Irene Ortín, Juan Francisco González, Elena de la Cuesta, Carmen Avendaño 2201-2211
|
| Full: PDF (472 K) |
|
FRET-based assay of the processing reaction kinetics of stimulus-responsive peptides: influence of amino acid sequence on reaction kinetics Akira Shigenaga, Jun Yamamoto, Hiroko Hirakawa, Keiko Yamaguchi, Akira Otaka 2212-2216
|
| Full: PDF (349 K) |
|
Synthesis of chiral threefold and sixfold functionalized macrocyclic imidazole peptides Áron Pintér, Gebhard Haberhauer 2217-2225
|
| Full: PDF (401 K) |
|
A general approach to medium-sized ring ethers via hydrolytic and oxidative kinetic resolutions: stereoselective syntheses of (−)-cis-lauthisan and (+)-isolaurepan Divya Tripathi, Satyendra Kumar Pandey, Pradeep Kumar 2226-2231
|
| Full: PDF (355 K) |
|
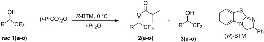
Nonenzymatic kinetic resolution of racemic 2,2,2-trifluoro-1-aryl ethanol via enantioselective acylation Qing Xu, Hui Zhou, Xiaohong Geng, Peiran Chen 2232-2238
|
| Full: PDF (483 K) |
|
An expedient synthesis of ferrocene grafted spirooxindolopyrrolizidines via [3+2]-cycloaddition of azomethine ylides A.R. Suresh Babu, R. Raghunathan, Sundari Baskaran 2239-2243
|
| Full: PDF (358 K) |
|
Efficient synthesis and biological activity of enantiomeric pairs of thiolactomycin and its 3-demethyl derivative Kohei Ohata, Shiro Terashima 2244-2253
|
| Full: PDF (392 K) |
|
A new and efficient synthetic approach to dichlorofluoflavines. Study of the stability of isomeric fluoflavines by HF and B3LYP procedures Antonio Guirado, José I. López-Sánchez, Alfredo Cerezo, Delia Bautista, Jesús Gálvez 2254-2259
|
| Full: PDF (1391 K) |
|
Synthesis of novel chiral imidazolium-based ionic liquids derived from isosorbide and their applications in asymmetric aza Diels–Alder reaction Olivier Nguyen Van Buu, Audrey Aupoix, Giang Vo-Thanh 2260-2265
|
| Full: PDF (294 K) |
|
Influence of ring substitution on the conformation and β-turn mimicry of 4-amino-1,2,4,5-tetrahydro-2-benzazepin-3-one peptide mimetics Rien De Wachter, Luc Brans, Steven Ballet, Isabelle Van den Eynde, Debby Feytens, Attila Keresztes, Geza Toth, Zofia Urbanczyk-Lipkowska, Dirk Tourwé 2266-2278
|
| Full: PDF (610 K) |
|
Ortho-spirocarbonates and ortho-spirothiocarbonates: synthesis, functionalization and coupling Enzo Cadoni, Efisio Perra, Claudia Fattuoni, Giuseppe Bruno, Maria G. Cabiddu, Stefania De Montis, Salvatore Cabiddu 2279-2284
|
| Full: PDF (264 K) |
|
Regioselective synthesis of syn disubstituted dibenzo-30-crown-10 ethers Piotr Piątek, Aleksandra Litwin 2285-2289
|
| Full: PDF (171 K) |
|
Synthesis of new cycloalkenyliden-pyrroles by domino reaction Orazio A. Attanasi, Stefano Berretta, Lucia De Crescentini, Gianfranco Favi, Amalija Golobič, Fabio Mantellini 2290-2297
|
| Full: PDF (353 K) |
|
Synthesis of hydrogenated indazole derivatives starting with α,β-unsaturated ketones and hydrazine derivatives Azadeh Nakhai, Jan Bergman 2298-2306
|
| Full: PDF (838 K) |
|
An NBD-based colorimetric and fluorescent chemosensor for Zn2+ and its use for detection of intracellular zinc ions Zhaochao Xu, Gun-Hee Kim, Su Jung Han, Min Jung Jou, Chongmok Lee, Injae Shin, Juyoung Yoon 2307-2312
|
| Full: PDF (592 K) |
|
Zamamidine C, 3,4-dihydro-6-hydroxy-10,11-epoxymanzamine A, and 3,4-dihydromanzamine J N-oxide, new manzamine alkaloids from sponge Amphimedon sp. Mika Yamada, Yohei Takahashi, Takaaki Kubota, Jane Fromont, Aki Ishiyama, Kazuhiko Otoguro, Haruki Yamada, Satoshi Ōmura, Jun'ichi Kobayashi 2313-2317
|
| Full: PDF (311 K) |
|
Di-, tri-, and tetra-arylterephthalic acids as novel clathrate host compounds Koichi Tanaka, Toshiyasu Akiyoshi, Hidehiro Itoh, Hiroki Takahashi, Zofia Urbanczyk-Lipkowska 2318-2321
|
| Full: PDF (360 K) |
|
Efficient and structurally controlled synthesis of novel polyhydroxylated indolizidine derivatives with an amino group Xiaoliu Li, Zhengang Zhu, Kefang Duan, Hua Chen, Zhiwei Li, Zhe Li, Pingzhu Zhang 2322-2328
|
| Full: PDF (495 K) |
|
A significant substituent effect on the regioselectivity in addition of alkynes to 3-substituted pyridines Shinji Yamada, Aya Toshimitsu, Yasuko Takahashi 2329-2333
|
| Full: PDF (160 K) |
|
Synthesis of oxime ethers under single electron oxidation induced by radical cation tris(aryl)aminium salts: O-alkylation of oximes with n-vinyl lactams Xiaodong Jia, Xiaoe Wang, Caixia Yang, Yuxia Da, Li Yang, Zhongli Liu 2334-2338
|
| Full: PDF (256 K) |
|
Hydrogenation of BF2 complexes with 1,3-dicarbonyl ligands Bogdan Štefane, Slovenko Polanc 2339-2343
|
| Full: PDF (295 K) |
|
General approach to 6-tosyl-2,3,4,5-tetrahydro-1H-1,3-diazepin-2-ones via nucleophile-mediated ring expansion of tetrahydropyrimidines Anastasia A. Fesenko, Marcus L. Tullberg, Anatoly D. Shutalev 2344-2350
|
| Full: PDF (239 K) |
|
Unusual reaction of allylic systems: homo- and cross-cyclizations leading to four-carbon rings Renata Siedlecka 2351-2355
|
| Full: PDF (239 K) |
|
Facial selectivity in addition reactions to the highly strained enone in tricyclo[5.2.1.02,6]deca-2(6),8-dienone and tricyclo[5.2.1.02,6]dec-2(6)-enone Antonius J.H. Klunder, Andries A. Volkers, Binne Zwanenburg 2356-2363
|
| Full: PDF (304 K) |
|
Cyclopropanation and epoxidation of tricyclo[5.2.1.02,6]deca-2(6),8-dien-3-one Andries A. Volkers, Xue S. Mao, Antonius J.H. Klunder, Binne Zwanenburg 2364-2367
|
| Full: PDF (237 K) |
|
Study of the ferrocene–lithium cation interaction by DFT calculations: an in-depth analysis of the existence of a planetary system Jesús Rodríguez-Otero, Enrique M. Cabaleiro-Lago, Ángeles Peña-Gallego, M. Merced Montero-Campillo 2368-2371
|
| Full: PDF (330 K) |
|
Stereoselective synthesis of (Z)-axino- and (Z)-debromoaxinohydantoin Federico Tutino, Helena Posteri, Daniela Borghi, Francesca Quartieri, Nicola Mongelli, Gianluca Papeo 2372-2376
|
| Full: PDF (350 K) |
|
|
|