Editorial board
IFC
|
| Full: PDF (33 K) |
|
Graphical contents list
3387-3393
|
| Full: PDF (307 K) |
|
Preparation and reactions of iodo sugars Michael De Castro, Cecilia H. Marzabadi 3395-3404
|
| Full: PDF (946 K) |
|
Two isolated intermediates of the Tröger's base: synthesis and mechanism Yu Wan, Rui Yuan, Wei-chao Zhang, Yan-hui Shi, Wei Lin, Wei Yin, Rong-cheng Bo, Jing-jing Shi, Hui Wu 3405-3409
|
| Full: PDF (569 K) |
|
Chemo-promiscuity of alcohol dehydrogenases: reduction of phenylacetaldoxime to the alcohol Bianca Ferreira-Silva, Iván Lavandera, Alexander Kern, Kurt Faber, Wolfgang Kroutil 3410-3414
|
| Full: PDF (188 K) |
|
DFT calculations of CH acidity of substituted triazoles and experimental study of their ability to undergo mercuration Yury S. Halauko, Vadim E. Matulis, Oleg A. Ivashkevich, Yury V. Grigoriev, Pavel N. Gaponik 3415-3420
|
| Full: PDF (265 K) |
|
Novel preparation of ion-supported triphenylphosphines and their synthetic utility Yumi Imura, Naoya Shimojuh, Yuhta Kawano, Hideo Togo 3421-3426
|
| Full: PDF (356 K) |
|
Synthesis of the cyclic nonapeptide of chlorofusin using a convergent [3+3+3]-fragment coupling strategy Yan-Li Wang, Wen-Jian Qian, Wan-Guo Wei, Yue Zhang, Zhu-Jun Yao 3427-3432
|
| Full: PDF (394 K) |
|
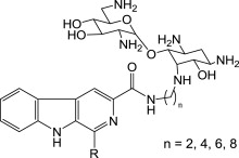
Synthesis of neamine–carboline conjugates for RNA binding and their antibacterial activities Shan Wu, Yunsha Fu, Ribai Yan, Yanfen Wu, Xiaoping Lei, Xin-Shan Ye 3433-3440
|
| Full: PDF (295 K) |
|
Synthesis of 5′-seleno-xylofuranosides Hugo C. Braga, Hélio A. Stefani, Márcio W. Paixão, Francielli W. Santos, Diogo S. Lüdtke 3441-3446
|
| Full: PDF (437 K) |
|
Novel biphasic reaction system of ferric chloride dissolved imidazolium hexafluorophosphate and benzotrifluoride: application to electron transfer reaction of cyclopropyl silyl ethers Hiroyuki Tsuchida, Eietsu Hasegawa 3447-3451
|
| Full: PDF (329 K) |
|
S→N type Smiles rearrangement of the aminoethanethiol moiety attached to heterocyclic compounds Simon J. Mountford, Eva M. Campi, Andrea J. Robinson, Milton T.W. Hearn 3452-3456
|
| Full: PDF (228 K) |
|
Synthesis of novel β-dialkylamino-α,β-unsaturated trifluoromethylketones containing cyclobutene fragment and their reactions with organolithium and Grignard reagents Andrey B. Koldobskii, Nikolai P. Tsvetkov, Ekaterina V. Solodova, Pavel V. Verteletskii, Ivan A. Godovikov, Valery N. Kalinin 3457-3462
|
| Full: PDF (433 K) |
|
First application of hexaaquaaluminium(III) tetrafluoroborate as a mild, recyclable, non-hygroscopic acid catalyst in organic synthesis: a simple and efficient protocol for the multigram scale synthesis of 3,4-dihydropyrimidinones by Biginelli reaction Mladen Litvić, Ivana Večenaj, Zrinka Mikuldaš Ladišić, Marija Lovrić, Vladimir Vinković, Mirela Filipan-Litvić 3463-3471
|
| Full: PDF (411 K) |
|
Synthesis of deuterium-labelled, optically active, ferroelectric liquid crystals A. Marini, V. Domenici, C. Malanga, R. Menicagli, C.A. Veracini 3472-3477
|
| Full: PDF (258 K) |
|
C–N Coupling of nitrogen nucleophiles with aryl and heteroaryl bromides using aminoarenethiolato–copper(I) (pre-)catalyst Elena Sperotto, Gerard P.M. van Klink, Johannes G. de Vries, Gerard van Koten 3478-3484
|
| Full: PDF (1082 K) |
|
Stereospecific synthesis of a dl-gala-aminoquercitol derivative Namudar I. Kurbanoğlu, Murat Çelik, Hamdullah Kilic, Cemalettin Alp, Ertan Şahin, Metin Balci 3485-3489
|
| Full: PDF (431 K) |
|
3,5-Disubstituted 6H-pyrrolo[1,2-c][1,2,3]triazoles from Morita–Baylis–Hillman adducts of propargyl aldehydes Sun Pil Park, Sang-Hyun Ahn, Kee-Jung Lee 3490-3498
|
| Full: PDF (431 K) |
|
Total synthesis of malyngamide M and isomalyngamide M Jie Chen, Zi-Fa Shi, Ling Zhou, An-Le Xie, Xiao-Ping Cao 3499-3507
|
| Full: PDF (606 K) |
|
Highly substituted 2,3,7,8,12,13,17,18-octaethylporphyrins with meso aryl residues Mathias O. Senge, Julia Richter, Ines Bischoff, Aoife Ryan 3508-3524
|
| Full: PDF (854 K) |
|
Structure–reactivity relationships of l-proline derived spirolactams and α-methyl prolinamide organocatalysts in the asymmetric Michael addition reaction of aldehydes to nitroolefins Fintan Kelleher, Sinead Kelly, John Watts, Vickie McKee 3525-3536
|
| Full: PDF (619 K) |
|
Highly modular assembly of cationic helical scaffolds: rapid synthesis of diverse helquats via differential quaternization Lukáš Severa, Louis Adriaenssens, Jan Vávra, David Šaman, Ivana Císařová, Pavel Fiedler, Filip Teplý 3537-3552
|
| Full: PDF (1136 K) |
|
Novel C3-symmetrical triphenylbenzene-based organogelators with different linkers between phenyl ring and alkyl chain Yabing He, Zheng Bian, Chuanqing Kang, Yanqin Cheng, Lianxun Gao 3553-3563
|
| Full: PDF (2105 K) |
|
|
|