Editorial board
IFC
|
| Full: PDF (70 K) |
|
Graphical contents list
2769-2773
|
| Full: PDF (542 K) |
|
Hagemann's ester: a timeless building block for natural product synthesis Gian Piero Pollini, Simonetta Benetti, Carmela De Risi, Vinicio Zanirato 2775-2802
|
| Full: PDF (2973 K) |
|
One-pot synthesis of novel poly-substituted phenanthrenes Rodrigue Yougnia, Christophe Rochais, Jana Sopkovà-de Oliveira Santos, Patrick Dallemagne, Sylvain Rault 2803-2808
|
| Full: PDF (785 K) |
|
Convergent synthesis of the tetrasaccharide repeating unit related to the O-antigenic polysaccharide of Escherichia coli 78 Sajal K. Maity, Amarendra Patra, Rina Ghosh 2809-2814
|
| Full: PDF (401 K) |
|
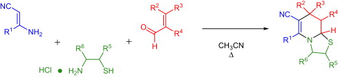
One-step synthesis of thiazolo[3,2-a]pyridines by a multicomponent reaction of β-enaminonitriles, α,β-unsaturated aldehydes, and 2-aminothiol hydrochlorides Mónica Pérez Perrino, Rafael del Villar-Guerra, M. Carmen Sañudo, Luis A. Calvo, Alfonso González-Ortega 2815-2822
|
| Full: PDF (787 K) |
|
Addition of ArSSAr to carbon–carbon multiple bonds using electrochemistry Shunsuke Fujie, Kouichi Matsumoto, Seiji Suga, Toshiki Nokami, Jun-ichi Yoshida 2823-2829
|
| Full: PDF (894 K) |
|
Synthesis of eight-membered iminocyclitols from d-glucose Vrushali H. Jadhav, Omprakash P. Bande, Vedavati G. Puranik, Dilip D. Dhavale 2830-2834
|
| Full: PDF (352 K) |
|
Novel polymeric metal complexes as dye sensitizers for Dye-sensitized solar cells based on poly thiophene containing complexes of 8-hydroxyquinoline with Zn(II),Cu(II) and Eu(III) in the side chain Lifen Xiao, Yuan Liu, Qian Xiu, Lirong Zhang, Lihui Guo, Hailiang Zhang, Chaofan Zhong 2835-2842
|
| Full: PDF (750 K) |
|
Synthesis and reactivity of 3-amino-1H-pyrazolo[4,3-c]pyridin-4(5H)-ones: development of a novel kinase-focussed library Lynette A. Smyth, Thomas P. Matthews, Peter N. Horton, Michael B. Hursthouse, Ian Collins 2843-2854
|
| Full: PDF (939 K) |
|
Laurefurenynes A–F, new Cyclic Ether Acetogenins from a Marine Red Alga, Laurencia sp. Wael M. Abdel-Mageed, Rainer Ebel, Fred A. Valeriote, Marcel Jaspars 2855-2862
|
| Full: PDF (661 K) |
|
The azido-tetrazole and diazo-1,2,3-triazole tautomerism in six-membered heteroaromatic rings and their relationships with aromaticity: Azines and perimidine Ibon Alkorta, Fernando Blanco, José Elguero, Rosa M. Claramunt 2863-2868
|
| Full: PDF (437 K) |
|
Palladium-catalyzed synthesis of 1,3,4-alkatrien-2-yldihydrofurans from 2,3-allenylacetylacetates and propargylic carbonates and their application to synthesize polysubstituted dihydrofurylcyclopentenones Wei Shu, Shengming Ma 2869-2874
|
| Full: PDF (416 K) |
|
A theoretical investigation into chiral phosphoric acid-catalyzed asymmetric Friedel–Crafts reactions of nitroolefins and 4,7-dihydroindoles: reactivity and enantioselectivity Chao Zheng, Yi-Fei Sheng, Yu-Xue Li, Shu-Li You 2875-2880
|
| Full: PDF (700 K) |
|
Chlorination of various substrates in subcritical carbon tetrachloride Kiyoshi Tanemura, Tsuneo Suzuki, Yoko Nishida, Takaaki Horaguchi 2881-2888
|
| Full: PDF (1808 K) |
|
First example of Diels–Alder reaction in the 2,3,4,4a-tetrahydroquinoline series. Synthesis of hydrogenated 5,8-ethanoquinolines Eugeniya V. Nikitina, Victor N. Khrustalev, Dmitry G. Grudinin, Flavien A.A. Toze, Vladimir V. Kouznetsov, Fedor I. Zubkov 2889-2894
|
| Full: PDF (279 K) |
|
Synthesis of C6A-to-C6A and C3A-to-C3A diamide linked γ-cyclodextrin dimers Duc-Truc Pham, Huy Tien Ngo, Stephen F. Lincoln, Bruce L. May, Christopher J. Easton 2895-2898
|
| Full: PDF (183 K) |
|
|
|